“Бекітемін” ____________ __________________
|
Күні: 04.05.2018 ж Сыныбы:7“Б” |
Мектеп: № 264 Мұғалімнің аты-жөні:Көпен Мария Қатысқан оқушы саны: Қатыспаған оқушы саны: |
||||||||||||||||
|
Сабақтың тақырыбы |
38.Пайдалы әрекет коэффиценті. |
||||||||||||||||
|
Оқу мақсаттары |
Оқушыларда толық және пайдалы жұмыстың ұғымдарын қалыптастыру, пайдалы әсер коэффициенті (ПӘК) формуласын түсіндіру. Пайдалы әрекет коэффицентінің формуласын түрлендіру. |
||||||||||||||||
|
Күтілетін нәтиже |
Барлық оқушылар: Мәтінмен жұмыс істей алады. Оқулықтағы тапсырмалармен жұмыс істей алады. Көптеген оқушылар: Формулаларды түрлендіре алады, қосымша ресурстармен жұмыс істей алады. Кейбір оқушылар: Қорытындылай алады, салыстыра алады. Дискриптор: 1. ПӘК тің ережесің және формуласын біледі. 2. Формуланы пайдалана алады. 3. Формуланы түрлендіре алады. |
||||||||||||||||
|
Бағалау критерийлері |
Смалик арқылы. Мадақтау арқылы. |
||||||||||||||||
|
Тілдік мақсаттар |
Пәнге қатысты терминдердін мәнін түсіндіру, ғылыми тілді меңгерту.
Пайыз
|
||||||||||||||||
|
Құндылықтарға баулу |
Тілдердің біртұтастығын дамыту.
|
||||||||||||||||
|
Пәнаралық байланыс |
Математика, ағылшын. |
||||||||||||||||
|
|
Тақырып бойынша алдынғы білім
|
Механиканың алтын ережесі, жай механизмдер, иіндіктің тепе-теңдік шартын, күш моментің біледі. |
|||||||||||||||
|
|
Ресурстар |
интерактивті тақта, слайд. |
|||||||||||||||
|
|
Әдіс тәсілдер |
Сұрақ жауап , деңгейлік тапсырмалар. |
|||||||||||||||
|
|
|
Сабақ барысы |
|||||||||||||||
|
|
Сабақ басы 5 мин
Үй тапсырмасы |
1.Оқушылармен амандасу. 2.Түгендеу. 3.Сыныптың сабаққа дайындығын қадағалау.
Серпілген сауал әдісі арқылы оқушылардың алдынғы сабақтан не түйгендерін тексеру.
Сұрақтары: Күш моменті деген не? (Айналатын денеге түсірілген күштің күш иініне көбейтіндісі) Дененің механикалық энергиясы деп қандай энергияны айтады? (Кинетикалық және потенциалдық энергиялардың қосындысы) Иіндік дегеніміз не? (қозғалмайтын тіреудің немесе біліктің (осьтің) төңірегінде айнала алатын кез келген дене) Жұмыстың формуласы қандай? (A=FS) Механиканың алтын ережесі қалай тұжырымдалады? (күштен қанша есе ұтсақ, орын ауыстырудан сонша есе ұтыламыз) Потенциалдық энергияның формуласы қандай? (Ep=mgh, Ep=kl2/2) Кинетикалық энергияның формуласы қандай? (Ek=mυ2/2) Жұмыстың СИ жүйесіндегі бірлігі не? (Дж) |
|||||||||||||||
|
|
Сабақ ортасы 25 мин
Жаңа білім
Жаңа тақырыпты меңгерту тапсырмалары.
|
Сұрақ жауап арқылы тақырыпты ашу
Әр түрлі механизмдерді қолданғанда, біз барлық жағдайда, қойылған мақсатқа керектіден артық жұмыс жасаймыз. Осыған сәйкес жұмысты толық жұмыс Aт және пайдалы жұмыстарға Aп бөледі. Мысалы, мақсатымыз массасы m жүкті h биікке көтеру болса, онда пайдалы жұмыс жүкке әсер етуші ауырлық күшін жеңуге ғана бағытталады. Жүкті бірқалыпты көтергенде, яғни, жұмсалған күш жүктің ауырлық күшіне тең болғанда, бұл жұмыс былай табылады. Aп = Fтh = mgh. Егер біз жүк көтеру үшін шығыр немесе басқа механизм қолдансақ, онда бізге жүктің ауырлық күшінен басқа механизм бөліктерінің ауырлық күші мен оларға әсер етуші үйкеліс күшін жеңуге тура келер еді. Мысалы, қозғалмалы шығырды пайдаланғанда, біз қосымша, шығыр мен арқанды көтеретін және шығырдың өсіне әсер ететін кедергіні жеңетін жұмыс жасаймыз. Сонымен қатар, күштен ұтсақ, барлық уақытта,жолдан ұтыламыз (бұл туралы төменде толық айтылады). Бұл жұмысқа әсер етеді және біздің жұмсаған жұмыстың пайдалы жұмыстан артық болуына әкеледі. Ат Aп. Пайдалы жұмыс, адамның механизмді қолданып жасайтын толық жұмысының қайсыбір бөлігін құрайды. Толық жұмсалған жұмыстың қанша бөлігін пайдалы жұмыс құрайтынын көрсететін физикалық шама, механизмнің пайдалы әсер коэффициенті деп аталады.
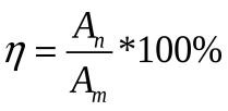
Пайдалы әсер коэффициенті қысқаша ПӘК деп белгіленеді. Механизмнің ПӘК-ін табу үшін пайдалы жұмысты, оны пайдалануға жұмсалған толық жұмысқа бөлу керек. Көп жағдайда пайдалы әсер коэффициентін пайызбен өрнектейді және ол грек әрпімен η (“эта” деп оқылады) белгіленеді.
Жұмыс пен қуат арасындағы тура
пропорцияналдық байланысты ескеріп, ПӘК-ті пайдалы қуаттың толық
қуатқа қатынасы арқылы өрнектеуге болады: Бұл формуланың алымы Ап барлық уақытта бөлімінен Ат кіші болғандықтан ПӘК 1-ден кем болады (немесе 100%-аз). Механизмдерді жасағанда, оның ПӘК көбейтуге тырысады. Бұл үшін механизмнің массасын, оның өстеріндегі кедергіні кемітеді. Кедергі өте аз және пайдаланылатын механизмдердің массалары, олардың көтеретін жүктерінің масаларымен салыстырғанда ескермеуге болатындай аз болса, ПӘК 1-ден шамалы ғана кіші болады. Бұл кезде жұмсалған жұмысты пайдалы жұмысқа тең деп санауға болады. Aт ≈ Aп «Деңгейлік есептер» Массасы 24,58 кг құмы бар шелекті жылжымайтын блоктың көмегімен 250 Н күш жұмсап, 10 м биіктікке көтерген. Қондырғының ПӘК-і қандай?
Көлбеу жазықтықтың бойымен массасы 20кг жүкті бірқалыпты тартады. Егер көлбеу жазықтың ұзындығы 2м, биіктігі 10см болса, көлбеу жазықтықтың ПӘК-ін анықтаңдар. Рычагтың көменімен массасы 150кг жүкті 1м биіктікке көтереді. Рычагтың ұзын ұшына түсірілген күш 2кдж жұмыс атқарады.Рычагтың ПӘК-ін табыңдар |
|||||||||||||||
|
|
Соңы 5 мин
Кері байланыс |
1.Сабақтың қорытындысын айту. 2.Белсенді оқушыларды айту. 3.Белсенді түрде сабаққа қатыспайтын оқушыларға ұсыныстар жасау.
Сабақ соңында оқушылар рефлекция парағын толтырады. -нені білдім, нені үйрендім. -нені толық түсінбедім.\ -немен жұмысты жалғастыру қажет. |
|||||||||||||||
жүктеу мүмкіндігіне ие боласыз
Бұл материал сайт қолданушысы жариялаған. Материалдың ішінде жазылған барлық ақпаратқа жауапкершілікті жариялаған қолданушы жауап береді. Ұстаз тілегі тек ақпаратты таратуға қолдау көрсетеді. Егер материал сіздің авторлық құқығыңызды бұзған болса немесе басқа да себептермен сайттан өшіру керек деп ойласаңыз осында жазыңыз
Пайдалы әрекет коэффиценті.
“Бекітемін” ____________ __________________
|
Күні: 04.05.2018 ж Сыныбы:7“Б” |
Мектеп: № 264 Мұғалімнің аты-жөні:Көпен Мария Қатысқан оқушы саны: Қатыспаған оқушы саны: |
||||||||||||||||
|
Сабақтың тақырыбы |
38.Пайдалы әрекет коэффиценті. |
||||||||||||||||
|
Оқу мақсаттары |
Оқушыларда толық және пайдалы жұмыстың ұғымдарын қалыптастыру, пайдалы әсер коэффициенті (ПӘК) формуласын түсіндіру. Пайдалы әрекет коэффицентінің формуласын түрлендіру. |
||||||||||||||||
|
Күтілетін нәтиже |
Барлық оқушылар: Мәтінмен жұмыс істей алады. Оқулықтағы тапсырмалармен жұмыс істей алады. Көптеген оқушылар: Формулаларды түрлендіре алады, қосымша ресурстармен жұмыс істей алады. Кейбір оқушылар: Қорытындылай алады, салыстыра алады. Дискриптор: 1. ПӘК тің ережесің және формуласын біледі. 2. Формуланы пайдалана алады. 3. Формуланы түрлендіре алады. |
||||||||||||||||
|
Бағалау критерийлері |
Смалик арқылы. Мадақтау арқылы. |
||||||||||||||||
|
Тілдік мақсаттар |
Пәнге қатысты терминдердін мәнін түсіндіру, ғылыми тілді меңгерту.
Пайыз
|
||||||||||||||||
|
Құндылықтарға баулу |
Тілдердің біртұтастығын дамыту.
|
||||||||||||||||
|
Пәнаралық байланыс |
Математика, ағылшын. |
||||||||||||||||
|
|
Тақырып бойынша алдынғы білім
|
Механиканың алтын ережесі, жай механизмдер, иіндіктің тепе-теңдік шартын, күш моментің біледі. |
|||||||||||||||
|
|
Ресурстар |
интерактивті тақта, слайд. |
|||||||||||||||
|
|
Әдіс тәсілдер |
Сұрақ жауап , деңгейлік тапсырмалар. |
|||||||||||||||
|
|
|
Сабақ барысы |
|||||||||||||||
|
|
Сабақ басы 5 мин
Үй тапсырмасы |
1.Оқушылармен амандасу. 2.Түгендеу. 3.Сыныптың сабаққа дайындығын қадағалау.
Серпілген сауал әдісі арқылы оқушылардың алдынғы сабақтан не түйгендерін тексеру.
Сұрақтары: Күш моменті деген не? (Айналатын денеге түсірілген күштің күш иініне көбейтіндісі) Дененің механикалық энергиясы деп қандай энергияны айтады? (Кинетикалық және потенциалдық энергиялардың қосындысы) Иіндік дегеніміз не? (қозғалмайтын тіреудің немесе біліктің (осьтің) төңірегінде айнала алатын кез келген дене) Жұмыстың формуласы қандай? (A=FS) Механиканың алтын ережесі қалай тұжырымдалады? (күштен қанша есе ұтсақ, орын ауыстырудан сонша есе ұтыламыз) Потенциалдық энергияның формуласы қандай? (Ep=mgh, Ep=kl2/2) Кинетикалық энергияның формуласы қандай? (Ek=mυ2/2) Жұмыстың СИ жүйесіндегі бірлігі не? (Дж) |
|||||||||||||||
|
|
Сабақ ортасы 25 мин
Жаңа білім
Жаңа тақырыпты меңгерту тапсырмалары.
|
Сұрақ жауап арқылы тақырыпты ашу
Әр түрлі механизмдерді қолданғанда, біз барлық жағдайда, қойылған мақсатқа керектіден артық жұмыс жасаймыз. Осыған сәйкес жұмысты толық жұмыс Aт және пайдалы жұмыстарға Aп бөледі. Мысалы, мақсатымыз массасы m жүкті h биікке көтеру болса, онда пайдалы жұмыс жүкке әсер етуші ауырлық күшін жеңуге ғана бағытталады. Жүкті бірқалыпты көтергенде, яғни, жұмсалған күш жүктің ауырлық күшіне тең болғанда, бұл жұмыс былай табылады. Aп = Fтh = mgh. Егер біз жүк көтеру үшін шығыр немесе басқа механизм қолдансақ, онда бізге жүктің ауырлық күшінен басқа механизм бөліктерінің ауырлық күші мен оларға әсер етуші үйкеліс күшін жеңуге тура келер еді. Мысалы, қозғалмалы шығырды пайдаланғанда, біз қосымша, шығыр мен арқанды көтеретін және шығырдың өсіне әсер ететін кедергіні жеңетін жұмыс жасаймыз. Сонымен қатар, күштен ұтсақ, барлық уақытта,жолдан ұтыламыз (бұл туралы төменде толық айтылады). Бұл жұмысқа әсер етеді және біздің жұмсаған жұмыстың пайдалы жұмыстан артық болуына әкеледі. Ат Aп. Пайдалы жұмыс, адамның механизмді қолданып жасайтын толық жұмысының қайсыбір бөлігін құрайды. Толық жұмсалған жұмыстың қанша бөлігін пайдалы жұмыс құрайтынын көрсететін физикалық шама, механизмнің пайдалы әсер коэффициенті деп аталады.
Пайдалы әсер коэффициенті қысқаша ПӘК деп белгіленеді. Механизмнің ПӘК-ін табу үшін пайдалы жұмысты, оны пайдалануға жұмсалған толық жұмысқа бөлу керек. Көп жағдайда пайдалы әсер коэффициентін пайызбен өрнектейді және ол грек әрпімен η (“эта” деп оқылады) белгіленеді.
Жұмыс пен қуат арасындағы тура
пропорцияналдық байланысты ескеріп, ПӘК-ті пайдалы қуаттың толық
қуатқа қатынасы арқылы өрнектеуге болады: Бұл формуланың алымы Ап барлық уақытта бөлімінен Ат кіші болғандықтан ПӘК 1-ден кем болады (немесе 100%-аз). Механизмдерді жасағанда, оның ПӘК көбейтуге тырысады. Бұл үшін механизмнің массасын, оның өстеріндегі кедергіні кемітеді. Кедергі өте аз және пайдаланылатын механизмдердің массалары, олардың көтеретін жүктерінің масаларымен салыстырғанда ескермеуге болатындай аз болса, ПӘК 1-ден шамалы ғана кіші болады. Бұл кезде жұмсалған жұмысты пайдалы жұмысқа тең деп санауға болады. Aт ≈ Aп «Деңгейлік есептер» Массасы 24,58 кг құмы бар шелекті жылжымайтын блоктың көмегімен 250 Н күш жұмсап, 10 м биіктікке көтерген. Қондырғының ПӘК-і қандай?
Көлбеу жазықтықтың бойымен массасы 20кг жүкті бірқалыпты тартады. Егер көлбеу жазықтың ұзындығы 2м, биіктігі 10см болса, көлбеу жазықтықтың ПӘК-ін анықтаңдар. Рычагтың көменімен массасы 150кг жүкті 1м биіктікке көтереді. Рычагтың ұзын ұшына түсірілген күш 2кдж жұмыс атқарады.Рычагтың ПӘК-ін табыңдар |
|||||||||||||||
|
|
Соңы 5 мин
Кері байланыс |
1.Сабақтың қорытындысын айту. 2.Белсенді оқушыларды айту. 3.Белсенді түрде сабаққа қатыспайтын оқушыларға ұсыныстар жасау.
Сабақ соңында оқушылар рефлекция парағын толтырады. -нені білдім, нені үйрендім. -нені толық түсінбедім.\ -немен жұмысты жалғастыру қажет. |
|||||||||||||||
шағым қалдыра аласыз













