Пайдалы әсер коэффициенті

Тақырып бойынша 11 материал табылды

Пайдалы әсер коэффициенті

Материал туралы қысқаша түсінік
мұғалімдерге
Материалдың қысқаша нұсқасы

8 сынып

Мектеп: Ақтөбе облыстық мамандандырылған физика-математика мектеп-интернаты

Термодинамика негіздері

Мұғалімнің аты-жөні: Бозшин Б.Ж.

Тәжірибе алушы: Жантөре А.Б.

Сынып: 8

Күні: 19.11.18

Оқушы саны: 14

Қатыспағандар саны: 0


Сабақ тақырыбы:

Жылу қозғалтқыштарының ПӘК-і.

Осы сабақта қол жеткізілетін оқу мақсаттары (оқу бағдарламасына сілтеме)

8.3.2.19 – жылу қозғалтқыштарының пайдалы әрекет коэффициентін анықтау;

8.3.2.21 – жылу қозғалтқыштарын жақсарту жолдарын ұсыну

Сабақ мақсаты

  • жылу қозғалтқыштарының пайдалы әрекет коэффициентін анықтау

  • жылу қозғалтқыштарын жақсарту жолдарын ұсыну

Бағалау критерийлері

  • Жылу қозғалтқышының жұмыс істеу принципін біледі

  • ПӘК формуласын біледі және есептер шығаруда қолданады

  • Термодинамиканың екінші заңының жылу двигателіне қатысты қалай қолданылатыны туралы дұрыс сипаттама береді

  • жылу қозғалтқыштарының жақсарту жолдарын ұсыну

Тілдік мақсат


Пәнге тән лексика мен терминология:

  • Термодинамикалық жүйе-thermodynamic system

  • Поршень - piston;

  • Поршеньқозғалысы- movement of the piston(rises),(descends)

  • Ішкі энергияның өзгерісі - изменение внутренней энергии-change in internal energyповышается increases,энергия уменьшается- energy decreases

  • Жылу қозғалтқыштары -тепловые двигатели- heat Engines

  • Пайдалы әрекет коэффициенті - коэффициент полезного действия- efficiency (coefficient of performance)

Құндылықтарды дарыту

Бұл сабақ оқушылардың белсенділігін арттыруға, сыни ойлау дағдысын дамытуға және коммуникативтік дағдысын жетілдіруге бағытталған.

Пәнаралық байланыстар

Математика: сызықтық және кері тәуелділік, геометрия: график астындағы аудан арқылы термодинамикадығы жұмысты анықтау, процестерді сипаттау

Бастапқы білім


Алдыңғы сабақта оқушылар термодинамиканың бірінші және екінші заңымен танысты және жылу қозғалтқыштары туралы мәлімет алды.

Сабақ барысы

Сабақтың жоспарланған кезеңдері

Сабақтағы жоспарланған іс-әрекет


Ресурстар

Сабақтың басы

2 мин




1 мин

10 мин







1.Ұйымдастыру

- оқушылармен сәлемдесу;

- оқушыларды түгендеу;

- Сыныптың тазалығын тексеру;

2. Топқа бөлу

Оқушылар стикерді таңдау арқылы 3 топқа бөлінеді.

3. Өткен тақырыпты қайталау

Өткен тақырыпты қайталау мақсатына оқушыларға қайталау сұрақтары қойылады.

  1. Газ немесе бу трубинасының құрылысы: (ротор)

  2. Термодинамиканың І заңы қалай тұжырымдалады?

  3. Изотермиялық процесс үшін термодинамиканың бірінші заңы?

  4. Термодинамиканың екінші заңы қалай тұжырымдалады?

  5. Бу немесе газ трубиналары дегеніміз не?

  6. Изохоралық процесс үшін термодинамиканың бірінші заңы?

  7. Изобаралық процесс үшін термодиинамиканың бірінші заңы?

  8. Төрт тактілі іштен жанатын қозғалтқыштың жұмыс жасау процесі?

  9. Газ бен бу ұлғайғандағы жұмыстың формуласы?

  10. Жылу қозғалтқыштары дегеніміз не?


«миға шабуыл» әдісі
























«пазлды құрастыр» әдісі

10 мин


























6 мин








































9 мин

4.Жаңа тақырыпты түсіндіру

Барлық жылу қозғалтқыштарының жұмыстық денесі қыздырғыштан алған жылу мөлшерінің бәрін пайдалы жұмысқа жұмсай алмайды. Оның белгілі бір бөлігі босқа шығындалып, суытқышқа беріледі. Сондықтан газдың ұлғайған кездегі істейтін жұмысы A = Q 1 - Q 2 . Қозғалтқыштардың жанған отынның ішкі энергиясын механикалық энергияға айналдыру тиімділігін сипаттау үшін жылу машинасының пайдалы әрекет коэффиценті деген ұғым енгізілді.


Жылу машинасының пайдалы әрекет коэффиценті (ПӘК-і) деп оның жасаған пайдалы жұмысының жылытқыштан алған жылу мөлшеріне қатынасын айтады:


ŋ


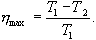
Француз ғалымы С.Карно жылу машиналарының ПӘК-ін абсолют температуралар арқылы табудың оңтайлы жолын ұсынды. Егер қыздырғыштың абсолют температурасы T1, ал суытқыштың температурасы T2 болса, онда машинаның ең үлкен (максимум) ПӘК-і мына формуламен анықталады:

К арно циклi.




5. Сабақты бекіту.

Сабақты бекіту үшін оқушыларға топ бойынша жұмыс беріледі.

Топтарға пазл қиындылары беріледі, оқушылар бірінші пазлды құрастырып кейін берілген есепті шығарады.

I - топ

1 есеп. Идеал жылу машинасында қыздырғыштың абсолют температурасы салқындатқыш температурасынан 2 есе көп болса, онда оның ПӘК-і?

Жауабы: 50%

2 есеп. Изотермиялық процесс кезінде газға 80 кДж жылу бергенде, газдың жасаған жұмысы қандай?

Жауабы: 80 кДж

3 есеп. Идеал жылу қозғалтқыштың салқындатқышының температурасы 27ºC, ал қыздырғышының температурасы одан 90ºC-қа артық.Осы қозғалтқыштың ПӘК-і қандай?

Жауабы: 23%

II – топ

1 есеп. Идеал жылу машинасының қыздырғышының температурасы 423 К, ал салқындатқышының температурасы 293 К болса, қыздырғыштан кДж жылу алған машинаның атқаратын жұмысы

Жауабы: 31 МДж

2 есеп. 2* Па қысымдағы газ көлемі 1,4 л-ден 2 литрге дейін изобаралық ұлғайғандағы жұмысы қандай?

Жауабы: 1,2 кДж

3 есеп. Жылу машинасының қыздырғышының температурасы 400 к, ал тоңазытқышының температурасы 280 К болса, ПӘК – і неге тең?

Жауабы: 30 %

III – топ

1 есеп. Идеал жылу машинасында қыздырғыштың абсолют температурасы салқындатқыш температурасынан 3 есе көп. Егер қыздырғыш 40 кДж жылу мөлшерін берсе, газдың жұмысын тап?

Жауабы: 27кДЖ

2 есеп. Адиабаталық процесс кезінде 350 Дж жұмыс атқарылса, газдың ішкі энергиясы қалай және қаншаға өзгереді?

Жаубы: -250 Дж

3 есеп. Жұмыстық дене қыздырғыштан алған әрбір килоджоуль энергияның арқасында 200 Дж жұмыс атқарады. Суытқыштың температурасы 250 К. Жылу машинасының ПӘК-і және қыздырғыштың температурасы

Жауабы: 312,5

Әр топ пазл әдісі бойынша шығарған есептерін тақтаға шығып түсіндіреді.

1 мин




1 мин

6. Рефлексия

Оқушылар стикерге мына сұрақтарға жауа жазады:

- нені білдім, нені үйрендім

- нені толық түсінбедім

- немен жұмысты жалғастыру қажет.


7. Үйге тапсырма:

§ 16 оқу.



Саралау – оқушыларға қалай көбірек қолдау көрсетуді жоспарлайсыз? Қабілеті жоғары оқушыларға қандай міндет қоюды жоспарлап отырсыз?

Бағалау – оқушылардың материалды меңгеру деңгейін қалай тексеруді жоспарлайсыз?

Денсаулық және қауіпсіздік техникасының сақталуы


Қабілетті оқушылар тест тапсырмаларын талдауға қатысады, олар орташа қабілетті оқушыларға есептің шығару жолын түсіндіреді.

Оқушылар тест тапсырмаларды орындай отырып өзара бағалау және кестені толтыруда өздік бағалау жүргізеді


Денсаулық сақтау

Сабақ бойынша рефлексия


Сабақ мақсаттары/оқу мақсаттары дұрыс қойылған ба? Оқушылардың барлығы ОМ қол жеткізді ме?

Жеткізбесе, неліктен?

Сабақта саралау дұрыс жүргізілді ме?

Сабақтың уақыттық кезеңдері сақталды ма?

Сабақ жоспарынан қандай ауытқулар болды, неліктен?

Бұл бөлімді сабақ туралы өз пікіріңізді білдіру үшін пайдаланыңыз. Өз сабағыңыз туралы сол жақ бағанда берілген сұрақтарға жауап беріңіз.


Жалпы баға

Сабақтың жақсы өткен екі аспектісі (оқыту туралы да, оқу туралы да ойланыңыз)?

1:

2:

Сабақты жақсартуға не ықпал ете алады (оқыту туралы да, оқу туралы да ойланыңыз)?

1:

2:

Сабақ барысында сынып туралы немесе жекелеген оқушылардың жетістік/қиындықтары туралы нені білдім, келесі сабақтарда неге көңіл бөлу қажет?




Жүктеу
bolisu
Бөлісу
ЖИ арқылы жасау
Файл форматы:
docx
15.11.2020
1349
Жүктеу
ЖИ арқылы жасау
Бұл материалды қолданушы жариялаған. Ustaz Tilegi ақпаратты жеткізуші ғана болып табылады. Жарияланған материалдың мазмұны мен авторлық құқық толықтай автордың жауапкершілігінде. Егер материал авторлық құқықты бұзады немесе сайттан алынуы тиіс деп есептесеңіз,
шағым қалдыра аласыз
Қазақстандағы ең үлкен материалдар базасынан іздеу
Сіз үшін 400 000 ұстаздардың еңбегі мен тәжірибесін біріктіріп, ең үлкен материалдар базасын жасадық. Төменде керек материалды іздеп, жүктеп алып сабағыңызға қолдана аласыз
Материал жариялап, аттестацияға 100% жарамды сертификатты тегін алыңыз!
Ustaz tilegi журналы министірліктің тізіміне енген. Qr коды мен тіркеу номері беріледі. Материал жариялаған соң сертификат тегін бірден беріледі.
Оқу-ағарту министірлігінің ресми жауабы
Сайтқа 5 материал жариялап, тегін АЛҒЫС ХАТ алыңыз!
Қазақстан Республикасының білім беру жүйесін дамытуға қосқан жеке үлесі үшін және де Республика деңгейінде «Ustaz tilegi» Республикалық ғылыми – әдістемелік журналының желілік басылымына өз авторлық материалыңызбен бөлісіп, белсенді болғаныңыз үшін алғыс білдіреміз!
Сайтқа 25 материал жариялап, тегін ҚҰРМЕТ ГРОМАТАСЫН алыңыз!
Тәуелсіз Қазақстанның білім беру жүйесін дамытуға және білім беру сапасын арттыру мақсатында Республика деңгейінде «Ustaz tilegi» Республикалық ғылыми – әдістемелік журналының желілік басылымына өз авторлық жұмысын жариялағаны үшін марапатталасыз!
Министірлікпен келісілген курстар тізімі