8 сынып
|
Мектеп: Ақтөбе облыстық мамандандырылған физика-математика мектеп-интернаты |
||||||||
|
Термодинамика негіздері |
||||||||
|
Мұғалімнің аты-жөні: Бозшин Б.Ж. Тәжірибе алушы: Жантөре А.Б. |
Сынып: 8 |
Күні: 19.11.18 |
||||||
|
Оқушы саны: 14 |
Қатыспағандар саны: 0 |
|
||||||
|
Сабақ тақырыбы: |
Жылу қозғалтқыштарының ПӘК-і. |
|||||||
|
Осы сабақта қол жеткізілетін оқу мақсаттары (оқу бағдарламасына сілтеме) |
8.3.2.19 – жылу қозғалтқыштарының пайдалы әрекет коэффициентін анықтау; 8.3.2.21 – жылу қозғалтқыштарын жақсарту жолдарын ұсыну |
|||||||
|
Сабақ мақсаты |
|
|||||||
|
Бағалау критерийлері |
|
|||||||
|
Тілдік мақсат
|
Пәнге тән лексика мен терминология:
|
|||||||
|
Құндылықтарды дарыту |
Бұл сабақ оқушылардың белсенділігін арттыруға, сыни ойлау дағдысын дамытуға және коммуникативтік дағдысын жетілдіруге бағытталған. |
|||||||
|
Пәнаралық байланыстар |
Математика: сызықтық және кері тәуелділік, геометрия: график астындағы аудан арқылы термодинамикадығы жұмысты анықтау, процестерді сипаттау |
|||||||
|
Бастапқы білім
|
Алдыңғы сабақта оқушылар термодинамиканың бірінші және екінші заңымен танысты және жылу қозғалтқыштары туралы мәлімет алды. |
|||||||
|
Сабақ барысы |
||||||||
|
Сабақтың жоспарланған кезеңдері |
Сабақтағы жоспарланған іс-әрекет
|
Ресурстар |
||||||
|
Сабақтың басы 2 мин 1 мин 10 мин |
1.Ұйымдастыру - оқушылармен сәлемдесу; - оқушыларды түгендеу; - Сыныптың тазалығын тексеру; 2. Топқа бөлу Оқушылар стикерді таңдау арқылы 3 топқа бөлінеді. 3. Өткен тақырыпты қайталау Өткен тақырыпты қайталау мақсатына оқушыларға қайталау сұрақтары қойылады.
|
«миға шабуыл» әдісі «пазлды құрастыр» әдісі |
||||||
|
10 мин 6 мин
9 мин |
4.Жаңа тақырыпты түсіндіру Барлық жылу қозғалтқыштарының
жұмыстық денесі қыздырғыштан алған Жылу машинасының пайдалы әрекет коэффиценті (ПӘК-і) деп оның жасаған пайдалы жұмысының жылытқыштан алған жылу мөлшеріне қатынасын айтады: ŋ
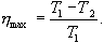
Француз ғалымы С.Карно жылу машиналарының ПӘК-ін абсолют температуралар арқылы табудың оңтайлы жолын ұсынды. Егер қыздырғыштың абсолют температурасы T1, ал суытқыштың температурасы T2 болса, онда машинаның ең үлкен (максимум) ПӘК-і мына формуламен анықталады: К
Сабақты бекіту үшін оқушыларға топ бойынша жұмыс беріледі. Топтарға пазл қиындылары беріледі, оқушылар бірінші пазлды құрастырып кейін берілген есепті шығарады. I - топ №1 есеп. Идеал жылу машинасында қыздырғыштың абсолют температурасы салқындатқыш температурасынан 2 есе көп болса, онда оның ПӘК-і? Жауабы: 50% №2 есеп. Изотермиялық процесс кезінде газға 80 кДж жылу бергенде, газдың жасаған жұмысы қандай? Жауабы: 80 кДж №3 есеп. Идеал жылу қозғалтқыштың салқындатқышының температурасы 27ºC, ал қыздырғышының температурасы одан 90ºC-қа артық.Осы қозғалтқыштың ПӘК-і қандай? Жауабы: 23% II – топ №1
есеп. Идеал жылу машинасының
қыздырғышының температурасы 423 К, ал салқындатқышының
температурасы 293 К болса, қыздырғыштан
Жауабы: 31 МДж №2
есеп. 2* Жауабы: 1,2 кДж №3 есеп. Жылу машинасының қыздырғышының температурасы 400 к, ал тоңазытқышының температурасы 280 К болса, ПӘК – і неге тең? Жауабы: 30 % III – топ №1 есеп. Идеал жылу машинасында қыздырғыштың абсолют температурасы салқындатқыш температурасынан 3 есе көп. Егер қыздырғыш 40 кДж жылу мөлшерін берсе, газдың жұмысын тап? Жауабы: 27кДЖ №2 есеп. Адиабаталық процесс кезінде 350 Дж жұмыс атқарылса, газдың ішкі энергиясы қалай және қаншаға өзгереді? Жаубы: -250 Дж №3 есеп. Жұмыстық дене қыздырғыштан алған әрбір килоджоуль энергияның арқасында 200 Дж жұмыс атқарады. Суытқыштың температурасы 250 К. Жылу машинасының ПӘК-і және қыздырғыштың температурасы Жауабы: 312,5 Әр топ пазл әдісі бойынша шығарған есептерін тақтаға шығып түсіндіреді. |
|||||||
|
1 мин
1 мин |
6. Рефлексия Оқушылар стикерге мына сұрақтарға жауа жазады: - нені білдім, нені үйрендім - нені толық түсінбедім - немен жұмысты жалғастыру қажет.
§ 16 оқу. |
|
||||||
|
Саралау – оқушыларға қалай көбірек қолдау көрсетуді жоспарлайсыз? Қабілеті жоғары оқушыларға қандай міндет қоюды жоспарлап отырсыз? |
Бағалау – оқушылардың материалды меңгеру деңгейін қалай тексеруді жоспарлайсыз? |
Денсаулық және қауіпсіздік
техникасының сақталуы |
||||||
|
Қабілетті оқушылар тест тапсырмаларын талдауға қатысады, олар орташа қабілетті оқушыларға есептің шығару жолын түсіндіреді. |
Оқушылар тест тапсырмаларды орындай отырып өзара бағалау және кестені толтыруда өздік бағалау жүргізеді |
Денсаулық сақтау |
||||||
|
Сабақ бойынша рефлексия Сабақ мақсаттары/оқу мақсаттары дұрыс қойылған ба? Оқушылардың барлығы ОМ қол жеткізді ме? Жеткізбесе, неліктен? Сабақта саралау дұрыс жүргізілді ме? Сабақтың уақыттық кезеңдері сақталды ма? Сабақ жоспарынан қандай ауытқулар болды, неліктен? |
Бұл бөлімді сабақ туралы өз пікіріңізді білдіру үшін пайдаланыңыз. Өз сабағыңыз туралы сол жақ бағанда берілген сұрақтарға жауап беріңіз. |
|||||||
|
|
||||||||
|
Жалпы баға Сабақтың жақсы өткен екі аспектісі (оқыту туралы да, оқу туралы да ойланыңыз)? 1: 2: Сабақты жақсартуға не ықпал ете алады (оқыту туралы да, оқу туралы да ойланыңыз)? 1: 2: Сабақ барысында сынып туралы немесе жекелеген оқушылардың жетістік/қиындықтары туралы нені білдім, келесі сабақтарда неге көңіл бөлу қажет? |
||||||||
жүктеу мүмкіндігіне ие боласыз
Бұл материал сайт қолданушысы жариялаған. Материалдың ішінде жазылған барлық ақпаратқа жауапкершілікті жариялаған қолданушы жауап береді. Ұстаз тілегі тек ақпаратты таратуға қолдау көрсетеді. Егер материал сіздің авторлық құқығыңызды бұзған болса немесе басқа да себептермен сайттан өшіру керек деп ойласаңыз осында жазыңыз
Пайдалы әсер коэффициенті
Пайдалы әсер коэффициенті
8 сынып
|
Мектеп: Ақтөбе облыстық мамандандырылған физика-математика мектеп-интернаты |
||||||||
|
Термодинамика негіздері |
||||||||
|
Мұғалімнің аты-жөні: Бозшин Б.Ж. Тәжірибе алушы: Жантөре А.Б. |
Сынып: 8 |
Күні: 19.11.18 |
||||||
|
Оқушы саны: 14 |
Қатыспағандар саны: 0 |
|
||||||
|
Сабақ тақырыбы: |
Жылу қозғалтқыштарының ПӘК-і. |
|||||||
|
Осы сабақта қол жеткізілетін оқу мақсаттары (оқу бағдарламасына сілтеме) |
8.3.2.19 – жылу қозғалтқыштарының пайдалы әрекет коэффициентін анықтау; 8.3.2.21 – жылу қозғалтқыштарын жақсарту жолдарын ұсыну |
|||||||
|
Сабақ мақсаты |
|
|||||||
|
Бағалау критерийлері |
|
|||||||
|
Тілдік мақсат
|
Пәнге тән лексика мен терминология:
|
|||||||
|
Құндылықтарды дарыту |
Бұл сабақ оқушылардың белсенділігін арттыруға, сыни ойлау дағдысын дамытуға және коммуникативтік дағдысын жетілдіруге бағытталған. |
|||||||
|
Пәнаралық байланыстар |
Математика: сызықтық және кері тәуелділік, геометрия: график астындағы аудан арқылы термодинамикадығы жұмысты анықтау, процестерді сипаттау |
|||||||
|
Бастапқы білім
|
Алдыңғы сабақта оқушылар термодинамиканың бірінші және екінші заңымен танысты және жылу қозғалтқыштары туралы мәлімет алды. |
|||||||
|
Сабақ барысы |
||||||||
|
Сабақтың жоспарланған кезеңдері |
Сабақтағы жоспарланған іс-әрекет
|
Ресурстар |
||||||
|
Сабақтың басы 2 мин 1 мин 10 мин |
1.Ұйымдастыру - оқушылармен сәлемдесу; - оқушыларды түгендеу; - Сыныптың тазалығын тексеру; 2. Топқа бөлу Оқушылар стикерді таңдау арқылы 3 топқа бөлінеді. 3. Өткен тақырыпты қайталау Өткен тақырыпты қайталау мақсатына оқушыларға қайталау сұрақтары қойылады.
|
«миға шабуыл» әдісі «пазлды құрастыр» әдісі |
||||||
|
10 мин 6 мин
9 мин |
4.Жаңа тақырыпты түсіндіру Барлық жылу қозғалтқыштарының
жұмыстық денесі қыздырғыштан алған Жылу машинасының пайдалы әрекет коэффиценті (ПӘК-і) деп оның жасаған пайдалы жұмысының жылытқыштан алған жылу мөлшеріне қатынасын айтады: ŋ
Француз ғалымы С.Карно жылу машиналарының ПӘК-ін абсолют температуралар арқылы табудың оңтайлы жолын ұсынды. Егер қыздырғыштың абсолют температурасы T1, ал суытқыштың температурасы T2 болса, онда машинаның ең үлкен (максимум) ПӘК-і мына формуламен анықталады: К
Сабақты бекіту үшін оқушыларға топ бойынша жұмыс беріледі. Топтарға пазл қиындылары беріледі, оқушылар бірінші пазлды құрастырып кейін берілген есепті шығарады. I - топ №1 есеп. Идеал жылу машинасында қыздырғыштың абсолют температурасы салқындатқыш температурасынан 2 есе көп болса, онда оның ПӘК-і? Жауабы: 50% №2 есеп. Изотермиялық процесс кезінде газға 80 кДж жылу бергенде, газдың жасаған жұмысы қандай? Жауабы: 80 кДж №3 есеп. Идеал жылу қозғалтқыштың салқындатқышының температурасы 27ºC, ал қыздырғышының температурасы одан 90ºC-қа артық.Осы қозғалтқыштың ПӘК-і қандай? Жауабы: 23% II – топ №1
есеп. Идеал жылу машинасының
қыздырғышының температурасы 423 К, ал салқындатқышының
температурасы 293 К болса, қыздырғыштан
Жауабы: 31 МДж №2
есеп. 2* Жауабы: 1,2 кДж №3 есеп. Жылу машинасының қыздырғышының температурасы 400 к, ал тоңазытқышының температурасы 280 К болса, ПӘК – і неге тең? Жауабы: 30 % III – топ №1 есеп. Идеал жылу машинасында қыздырғыштың абсолют температурасы салқындатқыш температурасынан 3 есе көп. Егер қыздырғыш 40 кДж жылу мөлшерін берсе, газдың жұмысын тап? Жауабы: 27кДЖ №2 есеп. Адиабаталық процесс кезінде 350 Дж жұмыс атқарылса, газдың ішкі энергиясы қалай және қаншаға өзгереді? Жаубы: -250 Дж №3 есеп. Жұмыстық дене қыздырғыштан алған әрбір килоджоуль энергияның арқасында 200 Дж жұмыс атқарады. Суытқыштың температурасы 250 К. Жылу машинасының ПӘК-і және қыздырғыштың температурасы Жауабы: 312,5 Әр топ пазл әдісі бойынша шығарған есептерін тақтаға шығып түсіндіреді. |
|||||||
|
1 мин
1 мин |
6. Рефлексия Оқушылар стикерге мына сұрақтарға жауа жазады: - нені білдім, нені үйрендім - нені толық түсінбедім - немен жұмысты жалғастыру қажет.
§ 16 оқу. |
|
||||||
|
Саралау – оқушыларға қалай көбірек қолдау көрсетуді жоспарлайсыз? Қабілеті жоғары оқушыларға қандай міндет қоюды жоспарлап отырсыз? |
Бағалау – оқушылардың материалды меңгеру деңгейін қалай тексеруді жоспарлайсыз? |
Денсаулық және қауіпсіздік
техникасының сақталуы |
||||||
|
Қабілетті оқушылар тест тапсырмаларын талдауға қатысады, олар орташа қабілетті оқушыларға есептің шығару жолын түсіндіреді. |
Оқушылар тест тапсырмаларды орындай отырып өзара бағалау және кестені толтыруда өздік бағалау жүргізеді |
Денсаулық сақтау |
||||||
|
Сабақ бойынша рефлексия Сабақ мақсаттары/оқу мақсаттары дұрыс қойылған ба? Оқушылардың барлығы ОМ қол жеткізді ме? Жеткізбесе, неліктен? Сабақта саралау дұрыс жүргізілді ме? Сабақтың уақыттық кезеңдері сақталды ма? Сабақ жоспарынан қандай ауытқулар болды, неліктен? |
Бұл бөлімді сабақ туралы өз пікіріңізді білдіру үшін пайдаланыңыз. Өз сабағыңыз туралы сол жақ бағанда берілген сұрақтарға жауап беріңіз. |
|||||||
|
|
||||||||
|
Жалпы баға Сабақтың жақсы өткен екі аспектісі (оқыту туралы да, оқу туралы да ойланыңыз)? 1: 2: Сабақты жақсартуға не ықпал ете алады (оқыту туралы да, оқу туралы да ойланыңыз)? 1: 2: Сабақ барысында сынып туралы немесе жекелеген оқушылардың жетістік/қиындықтары туралы нені білдім, келесі сабақтарда неге көңіл бөлу қажет? |
||||||||
шағым қалдыра аласыз














