Қысқа мерзімді жоспар
|
Ұзақ мерзімді жоспар бөлімі: |
Мектеп: |
|||||||||||||||||||||||||||||||||
|
Күні: |
Мұғалімнің аты-жөні: |
|||||||||||||||||||||||||||||||||
|
Сынып: 8 |
Қатысқандар саны: |
Қатыспағандар саны: |
||||||||||||||||||||||||||||||||
|
Сабақ тақырыбы |
тікбұрышты үшбұрыштың биіктігі |
|||||||||||||||||||||||||||||||||
|
Осы сабақта қол жеткізілетін оқу мақсаттары (оқу бағдарламасына сілтеме) |
8.1.3.4 тікбұрышты үшбұрыштың гипотенузасына түсірілген биіктігінің қасиеттерін дәлелдейді және қолданады; |
|||||||||||||||||||||||||||||||||
|
Сабақ мақсаттары |
Пифагор теоремасын және оған кері теореманы дәлелдеу, бұл теоремаларды есеп шығару барысында қолдану |
|||||||||||||||||||||||||||||||||
|
Бағалау критерийлері |
Егер төмендегі ба5алау критерийлерін орындаса, оқушы оқу мақсатына жетеді
|
|||||||||||||||||||||||||||||||||
|
Тілдік мақсаттар
|
Бөлім бойынша лексика және терминология: - тікбұрышты үшбұрыштың сүйір бұрышының синусы, косинусы, тангенсі және котангенсі; - бұрышқа іргелес жатқан катет; - бұрышқа қарсы жатқан катет; -катеттердің квадраттарының қосындысы; - Египет үшбұрышы; - негізгі тригонометриялық тепе-теңдік; - перпендикуляр, проекция және көлбеу; - катеттердің гипотенузаға проекциялары; - геометриялық орта. |
|||||||||||||||||||||||||||||||||
|
Құндылықтарды дарыту |
Топпен, жұппен жұмыс істей білуге, ұжымдылыққа, шыдамдылыққа, жауапкершілікке, әділдікке, академиялық шынайлықа тәрбиелеу |
|||||||||||||||||||||||||||||||||
|
Пәнаралық байланыстар |
Қазақ тілі, ағылшін тілі |
|||||||||||||||||||||||||||||||||
|
АКТ қолдану дағдылары |
|
|||||||||||||||||||||||||||||||||
|
Бастапқы білім |
Өтілген тақырыпты меңгеру |
|||||||||||||||||||||||||||||||||
|
Сабақ барысы |
||||||||||||||||||||||||||||||||||
|
Сабақтың жоспарланған кезеңдері |
Сабақтағы жоспарланған іс-әрекет
|
Ресурстар |
||||||||||||||||||||||||||||||||
|
Сабақтың басы 2 мин |
|
Презентация |
||||||||||||||||||||||||||||||||
|
Сабақтың ортасы 2 мин
33 мин (барлығы) 5 мин 5 мин 5 мин 15 мин
|
Формуланы қайталайық
Мұғалім келесі дескрипторлар бойынша бағалайды:
Сынып 12:00, 3:00, 6:00 және 9:00 кездесу уақыттарын таңдай отырып жұптарға бөлінеді. Әр іскерлік кездесуде оқушылар тікбұрышты үшбұрыштың гипотенузасына түсірілген биіктігінің қасиеттерін қолданып есептер шығару дағдыларын қалыптастырып, дамытады . Дескриптор бойынша өзін-өзі бағалайды (12:00 және 3:00) және мұғалім бағалайды :
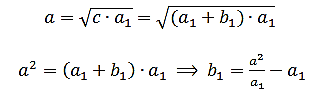
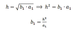
Берілген мәндер бойынша үшбұрыштың белгісіз элементтерін табу:
h-?, егер
Шешуі:
Берілген мәндер бойынша үшбұрыштың белгісіз элементтерін табу:
а-?, егер
Шешуі:
Үшбұрыштың белгісіз элементтерін табу:
|
Презентация
Презентация Қосымша 2 (часы)
Қосымша 3
Погорелов А. В. Геометрия: Учебник для 7–9 кл. общеобразоват. учреждений/ 2–е изд. – М.: Просвещение, 2001. – 224 с:
Полонский В.Б., Рабинович Е.М., Якир М.С. Учимся решать задачи по геометрии. Учеб.–метод. Пособие. – К.: «Магистр – S», 1996. – 256 с.
Полонский В.Б., Рабинович Е.М., Якир М.С. Учимся решать задачи по геометрии. Учеб.–метод. Пособие. – К.: «Магистр – S», 1996. – 256 с.
|
||||||||||||||||||||||||||||||||
|
Сабақтың соңы 3 мин |
Екі жұлдыз бір тілек
Біз жаңадан нені білдік, не үйрендік? Не қызық болды, оңай орындалды? Нені қайталау керек, әлі де нені оқу керектігін ойланыңыз?
8. Үй тапсырмасы 1. АВС тікбұрышты үшбұрыштың гипотенузасы ВС= 20 см. AН биіктігінің ұзындығын табыңыз, егер HC=15 тең болса. 2.Тікбұрышты үшбұрышта тік бұрыштан жүргізілген биіктік гипотенузаны 36 см және 64 см кесінділерге бөледі. Үшбұрыштың қабырғаларын табыңыз |
Презентация Қосымша 1
Презентация
Презентация Қосымша 3 Полонский В.Б., Рабинович Е.М., Якир М.С. Учимся решать задачи по геометрии. Учеб.–метод. Пособие. – К.: «Магистр – S», 1996. – 256 с. |
||||||||||||||||||||||||||||||||
|
Саралау – оқушыларға қалай көбірек қолдау көрсетуді жоспарлайсыз? Қабілеті жоғары оқушыларға қандай міндет қоюды жоспарлап отырсыз? |
Бағалау – оқушылардың материалды меңгеру деңгейін қалай тексеруді жоспарлайсыз? |
Денсаулық және қауіпсіздік техникасының сақталуы |
||||||||||||||||||||||||||||||||
|
Оқушылар сабақ бойы топпен және жеке жұмыс жасайды. Қабілеті жоғары оқушылар басқа оқушыларға көмектеседі.
|
Өзін-өзі бағалау түрі қолданылады. Сабақта оқушылардың материалды меңгеру деңгейін тексеру үшін фронтальды жұмыс жасайды. |
Сабақ басында оқушылар қауіпсіздік техникасымен таныстырылады. |
||||||||||||||||||||||||||||||||
|
Сабақ бойынша рефлексия Сабақ мақсаттары/оқу мақсаттары дұрыс қойылған ба? Оқушылардың барлығы ОМ қол жеткізді ме? Жеткізбесе, неліктен? Сабақта саралау дұрыс жүргізілді ме? Сабақтың уақыттық кезеңдері сақталды ма? Сабақ жоспарынан қандай ауытқулар болды, неліктен? |
|
|||||||||||||||||||||||||||||||||
|
|
||||||||||||||||||||||||||||||||||
жүктеу мүмкіндігіне ие боласыз
Бұл материал сайт қолданушысы жариялаған. Материалдың ішінде жазылған барлық ақпаратқа жауапкершілікті жариялаған қолданушы жауап береді. Ұстаз тілегі тек ақпаратты таратуға қолдау көрсетеді. Егер материал сіздің авторлық құқығыңызды бұзған болса немесе басқа да себептермен сайттан өшіру керек деп ойласаңыз осында жазыңыз
Тікбұрышты үшбұрыштың гипотенузасына түсірілген биіктігі
Тікбұрышты үшбұрыштың гипотенузасына түсірілген биіктігі
Қысқа мерзімді жоспар
|
Ұзақ мерзімді жоспар бөлімі: |
Мектеп: |
|||||||||||||||||||||||||||||||||
|
Күні: |
Мұғалімнің аты-жөні: |
|||||||||||||||||||||||||||||||||
|
Сынып: 8 |
Қатысқандар саны: |
Қатыспағандар саны: |
||||||||||||||||||||||||||||||||
|
Сабақ тақырыбы |
тікбұрышты үшбұрыштың биіктігі |
|||||||||||||||||||||||||||||||||
|
Осы сабақта қол жеткізілетін оқу мақсаттары (оқу бағдарламасына сілтеме) |
8.1.3.4 тікбұрышты үшбұрыштың гипотенузасына түсірілген биіктігінің қасиеттерін дәлелдейді және қолданады; |
|||||||||||||||||||||||||||||||||
|
Сабақ мақсаттары |
Пифагор теоремасын және оған кері теореманы дәлелдеу, бұл теоремаларды есеп шығару барысында қолдану |
|||||||||||||||||||||||||||||||||
|
Бағалау критерийлері |
Егер төмендегі ба5алау критерийлерін орындаса, оқушы оқу мақсатына жетеді
|
|||||||||||||||||||||||||||||||||
|
Тілдік мақсаттар
|
Бөлім бойынша лексика және терминология: - тікбұрышты үшбұрыштың сүйір бұрышының синусы, косинусы, тангенсі және котангенсі; - бұрышқа іргелес жатқан катет; - бұрышқа қарсы жатқан катет; -катеттердің квадраттарының қосындысы; - Египет үшбұрышы; - негізгі тригонометриялық тепе-теңдік; - перпендикуляр, проекция және көлбеу; - катеттердің гипотенузаға проекциялары; - геометриялық орта. |
|||||||||||||||||||||||||||||||||
|
Құндылықтарды дарыту |
Топпен, жұппен жұмыс істей білуге, ұжымдылыққа, шыдамдылыққа, жауапкершілікке, әділдікке, академиялық шынайлықа тәрбиелеу |
|||||||||||||||||||||||||||||||||
|
Пәнаралық байланыстар |
Қазақ тілі, ағылшін тілі |
|||||||||||||||||||||||||||||||||
|
АКТ қолдану дағдылары |
|
|||||||||||||||||||||||||||||||||
|
Бастапқы білім |
Өтілген тақырыпты меңгеру |
|||||||||||||||||||||||||||||||||
|
Сабақ барысы |
||||||||||||||||||||||||||||||||||
|
Сабақтың жоспарланған кезеңдері |
Сабақтағы жоспарланған іс-әрекет
|
Ресурстар |
||||||||||||||||||||||||||||||||
|
Сабақтың басы 2 мин |
|
Презентация |
||||||||||||||||||||||||||||||||
|
Сабақтың ортасы 2 мин
33 мин (барлығы) 5 мин 5 мин 5 мин 15 мин
|
Формуланы қайталайық
Мұғалім келесі дескрипторлар бойынша бағалайды:
Сынып 12:00, 3:00, 6:00 және 9:00 кездесу уақыттарын таңдай отырып жұптарға бөлінеді. Әр іскерлік кездесуде оқушылар тікбұрышты үшбұрыштың гипотенузасына түсірілген биіктігінің қасиеттерін қолданып есептер шығару дағдыларын қалыптастырып, дамытады . Дескриптор бойынша өзін-өзі бағалайды (12:00 және 3:00) және мұғалім бағалайды :
Берілген мәндер бойынша үшбұрыштың белгісіз элементтерін табу:
h-?, егер
Шешуі:
Берілген мәндер бойынша үшбұрыштың белгісіз элементтерін табу:
а-?, егер
Шешуі:
Үшбұрыштың белгісіз элементтерін табу:
|
Презентация
Презентация Қосымша 2 (часы)
Қосымша 3
Погорелов А. В. Геометрия: Учебник для 7–9 кл. общеобразоват. учреждений/ 2–е изд. – М.: Просвещение, 2001. – 224 с:
Полонский В.Б., Рабинович Е.М., Якир М.С. Учимся решать задачи по геометрии. Учеб.–метод. Пособие. – К.: «Магистр – S», 1996. – 256 с.
Полонский В.Б., Рабинович Е.М., Якир М.С. Учимся решать задачи по геометрии. Учеб.–метод. Пособие. – К.: «Магистр – S», 1996. – 256 с.
|
||||||||||||||||||||||||||||||||
|
Сабақтың соңы 3 мин |
Екі жұлдыз бір тілек
Біз жаңадан нені білдік, не үйрендік? Не қызық болды, оңай орындалды? Нені қайталау керек, әлі де нені оқу керектігін ойланыңыз?
8. Үй тапсырмасы 1. АВС тікбұрышты үшбұрыштың гипотенузасы ВС= 20 см. AН биіктігінің ұзындығын табыңыз, егер HC=15 тең болса. 2.Тікбұрышты үшбұрышта тік бұрыштан жүргізілген биіктік гипотенузаны 36 см және 64 см кесінділерге бөледі. Үшбұрыштың қабырғаларын табыңыз |
Презентация Қосымша 1
Презентация
Презентация Қосымша 3 Полонский В.Б., Рабинович Е.М., Якир М.С. Учимся решать задачи по геометрии. Учеб.–метод. Пособие. – К.: «Магистр – S», 1996. – 256 с. |
||||||||||||||||||||||||||||||||
|
Саралау – оқушыларға қалай көбірек қолдау көрсетуді жоспарлайсыз? Қабілеті жоғары оқушыларға қандай міндет қоюды жоспарлап отырсыз? |
Бағалау – оқушылардың материалды меңгеру деңгейін қалай тексеруді жоспарлайсыз? |
Денсаулық және қауіпсіздік техникасының сақталуы |
||||||||||||||||||||||||||||||||
|
Оқушылар сабақ бойы топпен және жеке жұмыс жасайды. Қабілеті жоғары оқушылар басқа оқушыларға көмектеседі.
|
Өзін-өзі бағалау түрі қолданылады. Сабақта оқушылардың материалды меңгеру деңгейін тексеру үшін фронтальды жұмыс жасайды. |
Сабақ басында оқушылар қауіпсіздік техникасымен таныстырылады. |
||||||||||||||||||||||||||||||||
|
Сабақ бойынша рефлексия Сабақ мақсаттары/оқу мақсаттары дұрыс қойылған ба? Оқушылардың барлығы ОМ қол жеткізді ме? Жеткізбесе, неліктен? Сабақта саралау дұрыс жүргізілді ме? Сабақтың уақыттық кезеңдері сақталды ма? Сабақ жоспарынан қандай ауытқулар болды, неліктен? |
|
|||||||||||||||||||||||||||||||||
|
|
||||||||||||||||||||||||||||||||||
шағым қалдыра аласыз

-?, 























