ЖАМБЫЛ ОБЛЫСЫ ӘКІМДІГІНІҢ БІЛІМ БАСҚАРМАСЫНЫҢ ОҚУ-ӘДІСТЕМЕЛІК КАБИНЕТІ
Физика пәніне арналған жиынтық бағалау тапсырмаларының жинағы
11 сынып
(жаратылыстану-математика бағыты мен қоғамдық-гуманитарлық бағыт)
1

Тараз, 2021 ж.
ӘОЖ 53
КБЖ 22.3 Ф49
Жамбыл облысы әкімдігінің білім басқармасы оқу-әдістемелік кабинетінің Әдістемелік кеңесінің шешімімен баспаға ҧсынылды. (хаттама №5, 24.12.2021 жыл)
Пікір жазғандар:
Е. Ерубаев-М.Х. Дулати атындағы ТарӚУ Ақпараттық технология факультеті «Техникалық физика» кафедрасының оқытушысы; қауымдастырылған профессоры;
Н.Сҥйкимбаева- М.Х. Дулати атындағы ТарӚУ Ақпараттық технология факультеті
«Техникалық физика» кафедрасының оқытушысы;
Авторлары: З.Ш. Есенбаева, Л.Б. Жорыкбаева, Д.Д. Парменкулова, Н.А. Татибеков.
Ф49 ФИЗИКА. «ЖИЫНТЫҚ БАҒАЛАУ ТАПСЫРМАЛАРЫНЫҢ ЖИНАҒЫ» жалпы білім
беретін мектептің 11-сынып мҧғалімдеріне арналған. Тараз қ., 2021 ж. -102 бет
ISBN 978-601-8940-35-03
Әдістемелік жинақ, мҧғалімге 11-сынып білім алушының «Физика» пәні бойынша жиынтық бағалауды жоспарлау, ҧйымдастыру және ӛткізуге кӛмек қҧралы ретінде қҧрастырылған. Әдістемелік жинақ «Физика» пәні бойынша ҧзақ мерзімді оқу бағдарламасы негізінде дайындалған.
Бӛлім/ортақ тақырып бойынша жиынтық бағалаудың тапсырмалары мҧғалімге білім алушылардың тоқсан бойынша жоспарланған оқу мақсаттарына жету деңгейін анықтауға мҥмкіндік береді.
Әдістемелік жинақта бӛлім/ортақ тақырып бойынша жиынтық бағалауды ӛткізуге арналған бағалау критерийлері мен дескрипторлары бар тапсырмалар ҧсынылған. Сондай-ақ жинақта білім алушылардың оқу жетістіктерінің мҥмкін деңгейлері сипатталған. Дескрипторлары мен баллдары бар тапсырмалар ҧсыныс тҥрінде берілген.
Әдістемелік жинақ негізгі орта білім беру мектебі мҧғалімдеріне, мектеп әкімшілігіне, білім беру бӛлімінің әдіскерлеріне, критериалды бағалау бойынша мектеп, ӛңірлік ҥйлестірушілеріне және басқа да мҥдделі тҧлғаларға арналған.
Әдістемелік жинақты дайындау барысында ресми интернет-сайттағы қол жетімді ресурстар (суреттер, фотосуреттер, мәтіндер, аудио және бейнематериалдар) қолданылды.
ӘОЖ 53
КБЖ 22.3
Ф49
ISBN 978-601-8940-35-03
© Жамбыл облысы білім басқармасының
оқу - әдістемелік кабинеті
2

© З.Ш. Есенбаева, Л.Б. Жорыкбаева, Д.Д. Парменкулова, Н.А. Татибеков.
МАЗМҰНЫ
КІРІСПЕ 5
ЖАРАТЫЛЫСТАНУ-МАТЕМАТИКАЛЫҚ БАҒЫТ
І ТОҚСАН БОЙЫНША ЖИЫНТЫҚ БАҒАЛАУҒА АРНАЛҒАН ТАПСЫРМАЛАР
«Механикалық тербелістер» бӛлімі бойынша жиынтық бағалау 6
«Электромагниттік тербелістер» бӛлімі бойынша жиынтық бағалау 9
«Айнымалы ток» бӛлімі бойынша жиынтық бағалау 12
ІІ ТОҚСАН БОЙЫНША ЖИЫНТЫҚ БАҒАЛАУҒА АРНАЛҒАН ТАПСЫРМАЛАР
«Толқындық қозғалыс» бӛлімі бойынша жиынтық бағалау 15
«Электромагниттік толқындар» бӛлімі бойынша жиынтық бағалау 19
«Толқындық оптика» бӛлімі бойынша жиынтық бағалау 22
ІІІ ТОҚСАН БОЙЫНША ЖИЫНТЫҚ БАҒАЛАУҒА АРНАЛҒАН ТАПСЫРМАЛАР
«Геометриялық оптика» бӛлімі бойынша жиынтық бағалау 25
«Салыстырмалы теорияның элементтері» бӛлімі бойынша жиынтық бағалау 28
«Атомдық және кванттық физика» бӛлімі бойынша жиынтық бағалау 30
ІV ТОҚСАН БОЙЫНША ЖИЫНТЫҚ БАҒАЛАУҒА АРНАЛҒАН ТАПСЫРМАЛАР
«Нанотехнология және наноматериалдар» бӛлімі бойынша жиынтық бағалау 33
«Космология» бӛлімі бойынша жиынтық бағалау 35
ТОҚСАН БОЙЫНША ЖИЫНТЫҚ БАҒАЛАУҒА ТАПСЫРМАЛАРЫ
-
тоқсан бойынша жиынтық бағалауға арналған тапсырмалар. 38
-
тоқсан бойынша жиынтық бағалауға арналған тапсырмалар. 43
-
тоқсан бойынша жиынтық бағалауға арналған тапсырмалар. 48
-
тоқсан бойынша жиынтық бағалауға арналған тапсырмалар. 54
МАЗМҰНЫ
ҚОҒАМДЫҚ-ГУМАНИТАРЛЫҚ БАҒЫТ
І ТОҚСАН БОЙЫНША ЖИЫНТЫҚ БАҒАЛАУҒА АРНАЛҒАН ТАПСЫРМАЛАР
«Механикалық тербелістер» және «Электромагниттік тербелістер» бӛлімдері бойынша жиынтық бағалау 60
«Айнымалы ток» бӛлімі бойынша жиынтық бағалау 63
ІІ ТОҚСАН БОЙЫНША ЖИЫНТЫҚ БАҒАЛАУҒА АРНАЛҒАН ТАПСЫРМАЛАР
«Электромагниттік толқындар» бӛлімі бойынша жиынтық бағалау 66
«Толқындық оптика» бӛлімі бойынша жиынтық бағалау 69
«Геометриялық оптика» бӛлімі бойынша жиынтық бағалау 72
ІІІ ТОҚСАН БОЙЫНША ЖИЫНТЫҚ БАҒАЛАУҒА АРНАЛҒАН ТАПСЫРМАЛАР
«Атомдық және кванттық физика» бӛлімі бойынша жиынтық бағалау 75
«Атом ядросының физикасы» және «Нанотехнология және наноматериалдар» бӛлімдері бойынша жиынтық бағалау 77
ІV ТОҚСАН БОЙЫНША ЖИЫНТЫҚ БАҒАЛАУҒА АРНАЛҒАН ТАПСЫРМАЛАР
«Космология» бӛлімі бойынша жиынтық бағалау 80
ТОҚСАН БОЙЫНША ЖИЫНТЫҚ БАҒАЛАУҒА ТАПСЫРМАЛАРЫ
-
тоқсан бойынша жиынтық бағалауға арналған тапсырмалар. 83
-
тоқсан бойынша жиынтық бағалауға арналған тапсырмалар. 88
-
тоқсан бойынша жиынтық бағалауға арналған тапсырмалар. 93
-
тоқсан бойынша жиынтық бағалауға арналған тапсырмалар. 97
Қорытынды 101
Пайдаланылған әдебиеттер 102
Кіріспе
Ҧсынылып отырған материал жоғарғы сынып оқушыларының танымдық қажеттіліктерін қанағаттандыруға мҥмкіндік жасаумен қатар, әлемнің қазіргі кӛрінісі туралы тҥсініктерінің кеңеюіне септігін тигізеді.
Қазіргі кезде мектептерді дамыту бағыттарының бірі – бейіндеп оқыту. Осыған орай жаратылыстану-математикалық бағыты бойынша 11 сыныпқа арналған бӛлім бойынша және тоқсандық бойынша жиынтық бағалау оқушылардың қызығушылығынан, кәсіптік мҥддесінен туындайтын арнайы мақсаттарын ескере отырып дайындалған. Оқушылардың білімдік қҧзыреттілігін қалыптастыру пәнді теориялық меңгерту, эксперименттік зерттеу және практикалық қолданысқа ҧштастыру болып табылады.
Физика пәнін меңгертудегі сабақтан тыс оқыту формаларының ролін кӛрсете отырып, оқыту формаларының міндетін айқындап, бағдарламасын жасау және жҥйелеу мақсатында бірнеше жҧмыс жоспарлары жинақталды. Оқушылар ҥшін қысқа уақытқа берілген эксперименттік тапсырмалар мен денелердің әсерлесуі кезіндегі шамалардың ӛзгерісін, қолданысын, табиғаттағы әсерлерді бақылау мақсатындағы жҧмыстар оқу бағдарламасының тақырыптарына лайықталып жасалды. Тапсырмаларды орындау кезінде оқушылардың ӛлшеу, есептеу, бірліктер жҥйесіне, тҥрлендіре білуіне ҥйрету ескерілді.
Жаңа реформадағы білім беру жҥйесіне сәйкес, кәсіби қҧзыреттілікті қалыптастыру мақсатында, белсенді оқыту; жаратылыстану-математикалық бағытында оқытылатын сынып оқушыларына физика пәнінен тереңірек білім бере отырып, кәсіби қолданысқа қажетті есептер мен тапсырмалар енгізілді.
Бҧл оқу әдістемелік жинақта 11-сынып білім алушының «Физика» пәні бойынша жиынтық бағалауды жоспарлау, ҧйымдастыру және ӛткізуге кӛмек қҧралы ретінде қҧрастырылған. Тапсырмалары әр бӛлімнің оқу мақсаттарына сәйкестендіріліп, оқушылардың жасерекшеліктерін ескеріліп, 20-25 минутта ӛз беттерінше орындауға есептеліп жасалынған және кӛп жауапты, толық жауапты, қысқа жауапты тапсырмалардан қҧралған. Бӛлімнің ортақ тақырып бойынша жиынтық бағалаудың тапсырмалары мҧғалімге білім алушылардың тоқсан бойынша жоспарланған оқу мақсаттарына жету деңгейін анықтауға мҥмкіндік береді. Әдістемелік ҧсыныстарда бӛлім/ортақ тақырып бойынша жиынтық бағалауды ӛткізуге арналған бағалау критерийлері мен дескрипторлары бар тапсырмалар енгізілген. Сондай-ақ, жинақта білім алушылардың оқу жетістіктерінің мҥмкін деңгейлері (рубрикалар) сипатталған. Дескрипторлары мен балдары бар тапсырмалар ҧсыныс тҥрінде берілген. Әдістемелік ҧсыныстарды дайындау барысында ресми интернет- сайттағы қолжетімді ресурстар (суреттер, фотосуреттер, мәтіндер, аудио және бейнематериалдар) қолданылды.
І-ТОҚСАН
(жаратылыстану-математикалық бағыт)
«Механикалық тербелістер» бөлімі бойынша жиынтық бағалау
-
Оқу мақсаттары
11.4.1.1 – эксперименттік, аналитикалық және графиктік тәсілмен гармоникалық тербелісті (х(t), v(t), a(t)) зерттеу;
Бағалау критерийі
Білім алушы
-
графиктік тәсілмен гармоникалық тербелістің (х(t), v(t), a(t)) зерттеп, тербеліс амплитудасын, периодын, жиілігін, бҧрыштық жиілігін, максимал ҥдеуін анықтайды;
-
берілген тербеліс теңдеуін пайдалана отырып, тербеліс амплитудасын, периодын, жиілігін, бҧрыштық жиілігін анықтайды, жылдамдықтың уақытқа қатысты тәуелділік теңдеуін жазады және графигін сызады;
Ойлау дағдыларының деңгейлері
Білу және тҥсіну, Қолдану Жоғарғы деңгей дағдылары
Орындау уақыты
25 минут
-
Тапсырмалар
-
Суретте дене тербелісінің x(t) тәуелділік графигі кӛрсетілген.
Графикті пайдалана отырып, келесі шамаларды анықтаңыз:
(а) тербеліс амплитудасын [1]
-
тербеліс периодын [1]
-
тербеліс жиілігін [2]
-
бҧрыштық жиілігін [2]
-
х(t) тәуелді теңдеуін [1]
-
максималь ҥдеуін [2]
-
Дене тербелісінің x=2sin(π/4*t+π/2) тәуелділік теңдеуі берілген. Берілген теңдеуді пайдалана отырып, келесі шамаларды анықтаңыз:
(а) тербеліс амплитудасын [1]
(b) тербелістің бҧрыштық жиілігін [1]
(с) тербеліс жиілігін [1]
(d) тербеліс периодын [2]
(е) ?(?) тәуелділік теңдеуін жазыңыз [2]
(f) ?(?) тәуелділік графигін салыңыз [2]

Жалпы балл: 18
-
Бағалау критерийі
Тапсырма
№
Дескриптор
Балл
Білім алушы
Графиктік тәсілмен гармоникалық тербелістің (х(t),v(t),a(t) зерттеп, тербеліс амплитудасын, периодын, жиілігін, бҧрыштық жиілігін, максималь ҥдеуін анықтайды:
1
Графикті пайдалана отырып, тербеліс
амплитудасын жазады;
1
Графикті пайдалана отырып, тербеліс
периодын жазады;
1
Дененің тербеліс жиілігін формула қолдана отырып, анықтап жазады;
1
1
Бҧрыштық жиілігін формула қолдана отырып, анықтап жазады;
1
1
x(t) тәуелділік теңдеуін алынған мәліметтерді
пайдалана отырып, жазады;
1
Дене қозғалысының максимал ҥдеуін
формуланы қолдана отырып, анықтап жазады;
1
1
Берілген тербеліс теңдеуін пайдалана отырып, тербеліс амплитудасын, периодын, жиілігін, бҧрыштық жиілігін, жылдамдықтың уақытқа қатысты тәуелділік теңдеуін жазады және графигін сызады;
2
Тербеліс амплитудасын берілген теңдеуді
қолдана отырып, анықтайды;
1
Тербелістің бҧрыштық жиілігін берілген
теңдеуді қолдана отырып, анықтайды;
1
Тербеліс жиілігін анықтайды;
1
Тербеліс периодының формуласын
қолданады;
Есептеу жҧмыстарын дҧрыс орындайды;
1
1
Максимал жылдамдықты анықтайды/
?(?)=?’(t) екенін біледі жылдамдық теңдеуін жазады/ туындыны дұрыс есептейді
1
1
?(?) жиілігін ӛзгертпей косинус салады;
амплитудасын дҧрыс белгілейді;
1
1
Жалпы балл
18
«Электромагниттік тербелістер» бөлімі бойынша жиынтық бағалау
|
Оқу мақсаттары |
кҥшінің уақытқа тәуелді графиктерін зерттеу; 11.4.2.1 – еркін және еріксіз тербелістердің пайда болуы шарттарын сипаттау; |
|
Бағалау критерийі |
Білім алушы |
|
|
|
|
Ойлау дағдыларының деңгейлері |
Білу және тҥсіну, Қолдану Жоғарғы деңгей дағдылары |
|
Орындау уақыты |
25 минут |
Тапсырмалар
-
Механикалық тербелістер мен электромагниттік тербелістерді сәйкестендіре отырып, берілген кестені толықтырыңыз
|
Механикалық тербеліс |
Электромагниттік тербеліс |
||
|
Физикалық шама атауы |
Белгіленуі немесе формуласы |
Физикалық шама атауы |
Белгіленуі немесе формуласы |
|
Масса |
|
|
L |
|
|
µ |
Кедергі |
|
|
Жылдамдық |
|
Ток кҥші |
|
|
Потенциялдық энергия |
|
|
q2/2C |
|
|
mυ2/2 |
Катушканың магнит ӛрісінің энергиясы |
|
|
|
ω0=√k/m |
Тербелмелі контурдың меншікті тербеліс жиілігі |
|
-
Компьютерлік моделдеу арқылы алынған зарядтың уақытқа тәуелді графигі берілген.
Графикті пайдалана отырып, келесі шамаларды анықтаңыз.
(а) зарядтың максимал шамасын [1]
(b) егер Т=20 мс болса, тербеліс жиілігін [1]
(с) тербелістің бҧрыштық жиілігін [2]
(d) зарядтың уақытқа тәуелділік теңдеуін q(t) жазыңыз [1]
(е) ток кҥшінің уақытқа тәуелділік теңдеуін I(t) жазыңыз. [2]
-
(а) Еркін электромагниттік тербеліс дегеніміз не? [1]
.............................................................................................................................................................
.............................................................................................................................................................
.............................................................................................................................................................
.............................................................................................................................................................
(b) (і) еріксіз электромагниттік тербеліс дегеніміз не? [1]
.............................................................................................................................................................
.............................................................................................................................................................
.............................................................................................................................................................
.............................................................................................................................................................
(іі) еріксіз электромагниттік тербелісті тудыратын жҥйелерді атаңыз: [1]
.............................................................................................................................................................
.............................................................................................................................................................
(с) Жиілігі 1МГц жоғары жиілікті тудыратын генераторларды қайда қолданады? [1]
.............................................................................................................................................................
.............................................................................................................................................................
Жалпы балл: 17
|
Бағалау критерийі |
Тапсырма № |
Дескриптор |
Балл |
|
Білім алушы |
|||
|
механикалық тербелістер мен электромагниттік тербелістерді сәйкестендіреді; |
1 |
механикалық тербелістер мен электромагниттік тербелістерді сәйкестендіре отырып, берілген кестені дҧрыс толықтырады; (егер екеуі қате болса, 5 балл; тӛртеуі қате болса, 4 балл; алтауы қате болса, 3 балл ) |
6 |
|
компьютерлік моделдеу арқылы алынған заряд пен ток кҥшінің уақытқа тәуелді графиктерін зерттейді; |
2 |
Зарядтың уақытқа тәуелді графикті пайдалана отырып, зарядтың максималшамасын анықтайды; |
1 |
|
Тербеліс жиілігін анықтайды; |
1 |
||
|
Тербелістің бҧрыштық жиілігін формула қолдана отырып анықтайды; |
1 1 |
||
|
Алынған мәліметтерді пайдалана отырып, зарядтың уақытқа тәуелділік теңдеуін q(t) жазады; |
1 |
||
|
Ток кҥшінің амплитудасын анықтайды/ток кҥшінің теңдеуі заряд теңдеуінің туындысы екенін біледі; Ток кҥшінің уақытқа тәуелділік теңдеуін I(t) жазады;/ туындыны дҧрыс есептейді; |
1 1 |
||
|
еркін және еріксіз тербелістерді ажырата отырып, электромагниттік тербелістерді тудыратын жҥйелерді және жоғары жиілікті генераторды қайда қолданатынын біледі |
3 |
Еркін электромагниттік тербелісанықтамасын жазады; |
1 |
|
Еріксіз электромагниттік тербеліс анықтамасын жазады; |
1 |
||
|
Еріксіз электромагниттік тербелісті тудыратын жҥйелердің аттарын дҧрыс жазады; |
1 |
||
|
Жиілігі 1 МГц жоғары жиілікті тудыратын генераторларды қайда қолданатынын дҧрыс жазады; |
1 |
||
|
Жалпы балл |
17 |
||
«Айнымалы ток» бөлімі бойынша жиынтық бағалау
-
Оқу мақсаттары
-
– синусоидалы айнымалы ток немесе кернеуді гармоникалық функция тҥрінде кӛрсете алу;
-
– айнымалы ток тізбегінде тек активті жҥктеме кезінде (резистор) фаза ығысуын сипаттау;
11.4.3.9 – резонанс шартын тҥсіндіру және оның қолданылуына мысал келтіру;
11.4.3.13 – трансформатор орамасындағы орам санын эксперимент арқылы анықтау;
Бағалау критерийі
Білім алушы
-
Берілген графикті қолдана отырып, қажетті физикалық шамаларды анықтайды және айнымалы ток немесе кернеуді гармоникалық функция тҥрінде кӛрсете алады;
-
айнымалы ток тізбегіндегі актив кедергінің ролін, ток кҥші мен кернеудің теңдеулерін және тек активті жҥктеме кезінде (резистор) фаза ығысуын сипаттайды;
-
резонанс шартын тҥсіндіру және кернеу резонансының қолданылуына мысал келтіреді;
-
трансформатордың сҧлбасын пайдалана отырып, тҥрін ажыратады, бірінші және екінші ретті орамдағы кернеулерді және трансформатор формуласын қолдана отырып, орам санын анықтайды;
Ойлау дағдыларының деңгейлері
Білу және тҥсіну, Қолдану Жоғарғы деңгей дағдылары
Орындау уақыты
20 минут
-
Тапсырмалар
-
Суретте осциллограф арқылы алынған айнымалы кернеудің уақытқа тәуелділікграфигі бейнеленген.
Осциллографтың бір бӛлігі уақытқа қатысты 20 мс, ал кернеуі 1.5 В
(а) толық бір тербеліске кеткен уақытты анықтаңыз. [1]
(b) тербелістің бҧрыштық жиілігін анықтаңыз. [1]
(с) айнымалы кернеудің максимал шамасын анықтаңыз. [1]
(d) айнымалы кернеудің-уақытқа тәуелді теңдеуін жазыңыз. [1]
-
(а) Актив кедергі дегеніміз не? [1]
...............................................................................................................................................................
...............................................................................................................................................................
(b) Актив кедергісі 20 Ом болатын және кернеуі u=308cos314t заңдылығы бойынша ӛзгеретін тізбектің ток кҥшінің теңдеуін жазыңыз.
i = [2]
(с) Актив кедергідегі кернеу мен ток кҥшінің тербеліс фазалар айырымы: [1]
А) π/2-ге артта қалады В) π/2-ге озады
С) 0
Д) π/4-ке артта қалады
-
(а) Электр тізбегіндегі резонансқа анықтама беріңіз. [1]
...............................................................................................................................................................
...............................................................................................................................................................
(b) Резонанстың байқалу шартын сипаттаңыз. [1]
...............................................................................................................................................................
...............................................................................................................................................................
(с) Кернеулер резонансының қолдану аясын бір мысал жазыңыз. [1]
...............................................................................................................................................................
...............................................................................................................................................................
-
Оқушының зерттеу жҧмысында қолданылған трансформатордың сҧлбасы тӛменде берілген.

(а) берілген сҧлбаны пайдаланып, трансформатордың тҥрін ажыратыңыз. [1]
.............................................................................................................................................................
(b) Оқушы зерттеу жҧмысына пайдаланылған трансформатор мәндерін қолдана отырып, тӛмендегі шамаларды анықтаңыз.
(і) екінші ретті орамдағы кернеудің мәнін [1]
(іі) бірінші ретті орамдағы кернеу мәнін [2]
(ііі) егер трансформатордың бірінші ретті орам саны 400-ге тең болса, екінші ретті орам саны қанша болатындығын анықтаңыз. [1]
Жалпы балл: 16
-
Бағалау критерийі
Тапсырма
№
Дескриптор
Балл
Білім алушы
Берілген графикті қолдана отырып, қажетті физикалық шамаларды анықтайды және айнымалы ток немесекернеуді гармоникалық функция тҥрінде кӛрсете алады;
1
Толық бір тербеліске кеткен уақытты графикті
пайдалана отырып анықтайды;
1
Тербелістің бҧрыштық жиілігін формуланы
қолдана отырып, анықтайды;
1
Айнымалы кернеудің максимал шамасын
графикті пайдалана отырып, анықтайды;
1
Айнымалы кернеудің уақытқа тәуелді теңдеуін алынған мәліметтерге сҥйене отырып, дҧрыс жазады;
1
Айнымалы ток тізбегіндегі актив кедергінің ролін, ток кҥші мен кернеудің теңдеулерін және тек активті жҥктеме кезінде (резистор) фаза ығысуын сипаттайды;
2
Айнымалы ток тізбегіндегі актив кедергінің
ролін дҧрыс сипаттап жазады;
1
Ток кҥшінің максимал мәнін есептейді, ток
кҥші теңдеуін жазады;
1
Актив кедергідегі кернеу мен ток кҥшінің тербеліс фазаларының айырымын дҧрыс
анықтайды;
1
Электр тізбегіндегі резонанс анықтамасын
жазады;
1
Кернеулер резонансының қолдану аясына бір
нақты мысал келтіреді;
1
Айнымалы токтың
резонансын білу, резонанс шартын тҥсіндіру және кернеу резонансының қолданылуына мысал келтіреді;
3
Электр тізбегіндегі резонанс анықтамасын
жазады;
1
Резонанстың байқалу шартын жазады;
1
Кернеулер резонансының қолдану аясын бір
нақты мысал келтіреді;
1
Трансформатордың
сҧлбасын пайдалана отырып, тҥрін ажыратады, бірінші және екінші ретті орамдағы кернеулерді және трансформатор формуласын қолдана отырып, орам санын анықтайды;
4
берілген сҧлбаны пайдаланып,
трансформатордың тҥрін ажыратады;
1
зерттеу жҧмысына пайдаланылған
тансформатордың мәндерін қолдана отырып, (і) (іі) бірінші және екінші ретті орамның кернеулерін анықтайды;
(ііі) берілген мәліметті қолдана отырып, екінші ретті орам санын анықтайды.
1
1
1
1
Жалпы балл
16
ІІ-ТОҚСАН
«Толқындық қозғалыс» бөлімі бойынша жиынтық бағалау
|
Оқу мақсаттары |
|
|
Бағалау критерийі |
Білім алушы |
|
|
|
|
Ойлау дағдыларының деңгейлері |
Білу және тҥсіну, Қолдану |
|
Орындау уақыты |
30 минут |
Тапсырмалар
-
Тӛмендегі суретте микротолқынның толқын ҧзындығын анықтау ҥшін қолданылатын қҧрылғы сҧлбасы бейнеленген.

Таратушы кӛзден шыққан микротолқын TP бағытында металл пластинаға қарай перпендикуляр қозғалады. Тҧрғын толқын ТР аралығында пайда болады.
(і) неліктен бҧл аралықта тҧрғын толқын пайда болатындығын тҥсіндіріп жазыңыз. [2]
.............................................................................................................................................................
.............................................................................................................................................................
(іі) микротолқынды қабылдайтын D детекторды Т мен Р аралығында ақырындап қозғаса, сигнал біресе кҥшейеді, біресе әлсірейді. Екі жақын жатқан әлсіз сигналдардың арасы 1.4 см. Микротолқынның келесі шамаларын анықтаңыз:
1) толқын ҧзындығы = ................ cм [1]
2) жиілік = .............. Гц [2]
-
(а) Келесі физикалық қҧбылысқа анықтама беріңіз.
Дифракция ......................................................................................................................................
.............................................................................................................................................................
[1]
(b) Су бетіндегі толқынның дифракция суретін аяқтаңыз. [2]

(с) Гюйгенс принципіне сҥйене отырып, дифракция қҧбылысын сипаттаңыз. [2]
.............................................................................................................................................................
.............................................................................................................................................................
.............................................................................................................................................................
.............................................................................................................................................................
-
(а) Аспап ішегінің қозғалысы кезіндегі тҧрғын толқынның пайда болуын тҥсіндіріп, жазыңыз. [2]
.............................................................................................................................................................
.............................................................................................................................................................
.............................................................................................................................................................
(b) Суретте скрипканың ішегінің қозғалысы нәтижесінде пайда болған тҧрғын толқын графигі бейнеленген.

(і) жоғарыда кӛрсетілген суреттегі қандай әріп шоғырды кӛрсетеді? [1]
(іі) берілген суретті пайдалана отырып, тҧрғын толқын ҧзындығын анықтаңыз. [2]
(ііі) кӛрсетілген нҥктелердің фаза айырымын жазыңыз: [2] X және Y .................................................................................................
X және Z .................................................................................................
-
Суретте толқындық машина арқылы су бетінде екі кӛзден алынған интерференция бейнеленген.

(і) суретті қолдана отырып, толқын жылдамдығы бірдей екендігін дәлелдеуге болады? [1]
.............................................................................................................................................................
.............................................................................................................................................................
(іі) суретте S1 кӛзен шыққан толқын S2 кӛзінен шыққан толқыннан жарты толқын ҧзындығына қалған нҥктелерді тҥзу арқылы қосып, Х әріпімен белгілеңіз. [2]
Жалпы балл: 20
-
Бағалау критерийі
Тапсырма
№
Дескриптор
Балл
Білім алушы
Ауада пайда болған
1
Тҧрғын толқынның пайда болуын негізгі
1
тҧрғын дыбыс
терминдерді қолдана отырып дҧрыс жазады;
1
толқындар ының
Микротолқынның ҧзындығын дҧрыс
1
сҧлбасын пайдалана отырып, неліктен тҧрғын толқын пайда
анықтайды; Микротолқынның жиілігін формуланы қолдана отырып, дҧрыс анықтайды;
1
1
болатынды ғын, оның
толқын ҧзындығы
мен жиілігін
сипаттайды;
дифракция
2
Дифракция анықтамасын дҧрыс жазады;
1
қҧбылысын Гюйгенс принципіне сҥйене отырып сипаттайды, суретін сызады;
Су бетіндегі толқынның дифракциясын дҧрыс аяқтап салады;
1
1
Гюйгенс принципіне сҥйене отырып,
дифракция қҧбылысын дҧрыс сипаттайды;
1
1
аспап ішегінің
3
Аспап ішегінің қозғалысы кезіндегі тҧрғын
1
қозғалысы кезіндегі тҧрғын толқынның пайда болуын тҥсіндіреді, графикалық әдісті қолдана отырып,
толқынның пайда болуын терминдерді
қолдана отырып, жазады;
1
Берілген графикті пайдалана отырып, тҥйін
мен шоғырды анықтайды;
1
Берілген графикті пайдалана отырып, толқын
ҧзындығын анықтайды;
1
1
тҥйіндер мен
Кӛрсетілген нҥктелер арасындағы фаза
1
шоғырларды
айырымын дҧрыс жазады;
1
анықтайды және
тҧрғын толқынның
ҧзындығы мен
фазаларын анықтай
алады;
Аспап ішегінің
4
суретті қолдана отырып, толқын жылдамдығы
1
қозғалысы кезіндегі тҧрғын толқынның пайда болуын
тҥсіндіреді,
бірдей екендігін дҧрыс дәлелдейді;
Бір-бірінен жарты толқын ҧзындығына қалған нҥктелерді тҥзу арқылы қосып, Х әріпімен
дҧрыс белгілейді;
1
1
графикалық әдісті
қолдана отырып,
тҥйіндер мен
шоғырларды
анықтай алады;
Жалпы балл
20
«Электромагниттік толқындар» бөлімі бойынша жиынтық бағалау
|
Оқу мақсаттары |
|
|
Бағалау критерийі |
Білім алушы |
|
|
|
|
Ойлау дағдыларының деңгейлері |
Білу және түсіну, Қолдану |
|
Орындау уақыты |
20 минут |
Тапсырмалар
-
(а) Жоғары жиілікті электромагниттік тербелісті қалай модуляциялауға болады? (і) ...............................................................................................
(іі) .............................................................................................. [2]
(b) детекторды қолдану мақсатын сипаттап жазыңыз. [2]
.............................................................................................................................................................
.............................................................................................................................................................
.............................................................................................................................................................
.............................................................................................................................................................
.............................................................................................................................................................
-
Суретте жоғары жиіліктегі тербелістердің модуляциялануы бейнеленілген.

(а) жоғарыда көрсетілген әр суреттің атауын жазыңыз. [2]
(b) амплитудалық (АМ) және жиіліктік (FM) модуляцияның айырмашылықтары қандай екендігін сипаттап жазыңыз. [2]
.............................................................................................................................................................
.............................................................................................................................................................
.............................................................................................................................................................
.............................................................................................................................................................
.............................................................................................................................................................
-
сандық форматтағы сигналды берудің артықшылықтары мен кемшіліктерін атап жазыңыз. (і) артықшылығы ..............................................................................................................................
.............................................................................................................................................................
(іі) кемшілігі .....................................................................................................................................
.............................................................................................................................................................
[2]
-
Теледидар құралдарын жетілдірудің жолдарын ұсыныңыз. [2]
.............................................................................................................................................................
.............................................................................................................................................................
.............................................................................................................................................................
.............................................................................................................................................................
.............................................................................................................................................................
Жалпы балл: 12
|
Бағалау критерийі |
Тапсырма № |
Дескриптор |
Балл |
|
Білім алушы |
|||
|
жоғары жиілікті электромагниттік тербелісті қалай модуляциялауға болатындығын және детекторды не ҥшін қолданатынын сипаттайды; |
1 |
Жоғары жиілікті электромагниттік тербелісті қалай модуляциялауға болатындығының екі мысалын жазады; |
1 1 |
|
детекторды қолдану мақсатын сипаттап жазады; |
1 1 |
||
|
суретті пайдалана отырып, амплитудалық (АМ) және жиіліктік (FM) модуляцияны ажыратады және модуляцияға дейінгі және кейінгі графиктерді ажыратып, атауын жазады; |
2 |
4 дҧрыс жауапқа 2 ҧпай 2-3 дҧрыс жауапқа 1 ҧпай 0-1 дҧрыс жауапқа 0 ҧпай |
1 1 |
|
амплитудалық (АМ) және жиіліктік (FM) модуляцияның айырмашылықтары қандай екендігін сипаттап жазады; |
1 1 |
||
|
сандық форматтағы сигналды берудің артықшылықтары мен кемшіліктерін анықтай отырып, жазады; |
3 |
сандық форматтағы сигналды берудің артықшылықтары мен кемшіліктерін жазады; |
1 1 |
|
байланыс қҧралдарын кемшілігін атай отырып, жетілдірудің жолдарын ҧсынады; |
4 |
Теледидар қҧралдарын жетілдірудің жолдарын ҧсынады; |
1 1 |
|
Жалпы балл |
12 |
||
«Толқындық оптика» бөлімі бойынша жиынтық бағалау
-
Оқу мақсаттары
-
– механикалық және жарық толқындарының интерференциялық кӛріністеріне салыстырмалы талдау жҥргізу;
-
– жҧқа пленкаға тҥскен және шағылған жарықтардан пайда болған интерференциялық максимумдар мен минимумдарды бақылау шарттарын анықтау;
-
– жарықтың толқын ҧзындығын дифракциялық тордың кӛмегімен эксперимент арқылы анықтау;
-
– жарықтың қасиеттерін талдай отырып, эксперимент арқылы жарықтың электромагниттік табиғатын дәлелдеу;
Бағалау критерийі
Білім алушы
-
Механикалық толқын мен жарық толқындарының интерференциясын салыстырады;
-
Жарық ҥшін шағылудың интерференциялық минимумы пайда болатындай минимал қалыңдығын анықтайды;
-
Берілген эксперимент нәтижелерін пайдалана отырып, дифракциялық тордың периодын және тҥскен монохроматты сәуленің толқын ҧзындығын анықтайды;
-
Жарықтың қасиеттерін атай отырып, оның электромагнитті толқын екендігін дәлелдейді;
Ойлау дағдыларының деңгейлері
Білу және тҥсіну, Қолдану
Орындау уақыты
25 минут
-
Тапсырмалар
-
Механикалық толқын мен жарық толқындарының интерференциясын салыстырыңыз.
а) Механикалық толқын интерференциясының шарттары және қолдануы [2]
................................................................................................................................................................
................................................................................................................................................................
................................................................................................................................................................
b) Жарық толқынының интерференциясының шарттары және қолдануы [2]
...............................................................................................................................................................
................................................................................................................................................................
................................................................................................................................................................
-
Сыну кӛрсеткіші 1.2 болатын қабықшаға нормаль бағытпен тҥсетін толқын ҧзындығы 550 нм жарық ҥшін шағылудың интерференциялық минимумы пайда болатындай минимал қалыңдығын анықтаңыз. [3]
-
Оқушы зерттеу жҧмысы кезінде бір миллиметрде 120 сызықшасы бар дифракциялық торға монохроматты жарық тҥсірген.

Бірінші ретті екі спектр арасы 76 см. Дифракциялық тордан экранға дейінгі арақашықтық 165 см.
(а) дифракциялық тордың периодын анықтаңыз. [2]
(b) дифракциялық торға келіп тҥскен монохроматты жарықтың толқын ҧзындығын анықтаңыз. [3]
-
(а) Жарықтың қасиеттерін атаңыз. [3]
(і) ..........................................................
(іі) .........................................................
(ііі) ........................................................
(іv) ........................................................
(v) .........................................................
(vi) ........................................................
(b) жарықтың қандай негізгі ҥш қасиеті арқылы оның электромагнитті толқын екенін дәлелдеуге болады? [3]
................................................................................................................................................................
................................................................................................................................................................
................................................................................................................................................................
Жалпы балл: 18
-
Бағалау критерийі
Тапсырма
№
Дескриптор
Балл
Білім алушы
Механикалық толқын мен жарық толқындарының интерференциясын салыстырады;
1
механикалық толқын мен жарық толқындарының интерференциясын салыстырады;
1
1
1
1
Жарық ҥшін шағылудың интерференциялық минимумы пайда болатындай минимал қалыңдығын
анықтайды;
2
Жарық ҥшін шағылудың интерференциялық минимумы пайда болатындай минимал қалыңдығын формула қолдана отырып, анықтайды;
1
1
1
Берілген эксперимент нәтижелерін пайдалана отырып, дифракциялық тордың периодын және тҥскен монохроматты сәуленің толқын ҧзындығын
анықтайды;
3
Берілген эксперимент нәтижелерін пайдалана отырып, дифракциялық тордың периодын және тҥскен монохроматты сәуленің толқын ҧзындығын формуланы және берілген суретті пайдаланып анықтайды;
1
1
1
1
1
Жарықтың қасиеттерін атай отырып, оның электромагнитті толқын екендігін дәлелдейді;
4
Жарықтың қасиеттерін атай отырып, оның электромагнитті толқын екендігін дәлелдейді;
1
1
1
1
1
1
Жалпы балл
18
ІІІ-ТОҚСАН
«Геометриялық оптика» бөлімі бойынша жиынтық бағалау
|
Оқу мақсаттары |
|
|
Бағалау критерийі |
Білім алушы |
|
|
|
|
Ойлау дағдыларының деңгейлері |
Білу және тҥсіну, Қолдану Жоғарғы деңгей дағдылары |
|
Орындау уақыты |
25 минут |
Тапсырмалар
-
Оқушы шынының сыну кӛрсеткішін анықтау ҥшін зерттеу жҧмысын жасаған. Зерттеу жҧмысының сҧлбасында шыны пластинаның орыны,
тҥскен және сынған сәулелер бейнеленген.
(а) Транспортирді қолдана отырып, сәуленің тҥсу және сыну бҧрыштарын ӛлшеңіз. [2]
(b) алынған мәліметтерді пайдалана отырып, берілген шынының сыну кӛрсеткішін анықтаңыз. [2]
(с) шыныдан ауаға ӛткен сәулені салып кӛрсетіңіз. [1]
-
Суретте линзалар жҥйесі бейнеленілген

(а)
суреттегі мәліметтерді және шартты белгілерді қолдана отырып,
екінші линзадан шыққан кескінді салып кӛрсетіңіз. Масштабты
сақтаңыз. Дене биіктігі 25 см. [3]
-
Екі жағы дӛңес линзаның қисықтық радиустары 50 см тең. Линзаның сыну кӛрсеткіші 1.5. Есептеңіз:
(і) линзаның фокустық арақашықтығын [2]
(іі) линзаның оптикалық кҥшін [2]
-
Суретте микроскоптың ішкі қҧрлысы мен АВ денесі берілген.
АВ денесін микроскоп арқылы қарағандағы ҧлғайған кескінін сәулелер жҥрісін салу арқылы алыңыз. [3]
Жалпы балл: 15
|
Бағалау критерийі |
Тапсырма № |
Дескриптор |
Балл |
|
Білім алушы |
|||
|
Транспортирді қолдана отырып, тҥскенсәуле мен сынған сәуле бҧрышын анықтайды, берілген шынының сыну кӛрсеткішін анықтайды және шыныданауаға ӛткен сәуле жҥрісін аяқтайды; |
1 |
Транспортирді қолдана отырып,тҥскен сәуле мен сынған сәуле бҧрышын анықтайды; Берілген шынының сыну кӛрсеткішін анықтайды; Шыныдан ауаға ӛткен сәуле жҥрісін аяқтайды; |
1 1 1 1 1 |
|
Мәліметтерді және шартты белгілерді қолдана отырып, екінші линзадан шыққан кескінді салып кӛрсетеді; |
2 |
Масштабты сақтайды; 1-ші кескінді дҧрыс салады; 2-ші кескінді дҧрыс салады; |
1 1 1 |
|
әртҥрлі радиустағы |
3 |
линза жасаушылар формуласын қолданады |
1 |
|
екі сфералық беттен тҧратын жҧқа линзаның формуласын есептер |
|
линзаның фокустық арақашықтығын анықтайды; линзаның оптикалық кҥшінің формуласы ҥшін линзаның оптикалық кҥшін анықтайды; |
1 1 1 |
|
шығаруда |
|
|
|
|
қолданады; |
|
|
|
|
микроскоп арқылы |
4 |
|
1 |
|
қарағандағы дененің ҧлғайған кескінін |
|
1 |
|
|
сәулелер жҥрісін салу арқылы алады; |
|
1 |
|
|
Жалпы балл |
15 |
||
«Салыстырмалы теорияның элементтері» бөлімі бойынша жиынтық бағалау
-
Оқу мақсаттары
-
– Эйнштейн постулаттары мен Лоренц тҥрлендірулерін есептер шығаруда қолдана отырып, релятивистік эффектіні тҥсіндіру;
-
– зарядталған бӛлшектердің ҥдеткіштерінің жҧмыс істеу принципін, оларда орын алатын релятивистік эффектіні ескере отырып тҥсіндіру;
Бағалау критерийі
Білім алушы
-
релятивистік эффект салдарынан массаның ӛсу ҥшін поезд қандай жылдамдықпен қозғалуы қажет екендігін анықтайды;
-
шапшаң қозғалатын бӛлшектің ӛмір сҥру уақытының ҧзақтығы неше есе артатындығын анықтайды;
-
зарядталған бӛлшектердің ҥдеткіштерінің жҧмыс істеу принципіне сҥйене отырып сипаттайды және қозғалыстағы зарядталған бӛлшектің радиусы неліктен ӛзгеретіндігін тҥсіндіреді;
Ойлау дағдыларының деңгейлері
Білу және тҥсіну Қолдану
Орындау уақыты
20 минут
-
Тапсырмалар
-
Поезд массасы 3000 т. Массасы релятивистік эффект салдарынан 1 г-ға ӛсу ҥшін поезд қандай жылдамдықпен қозғалуы қажет екендігін анықтаңыз. [3]
-
Лабораториялық санақ жҥйесінде 0.99 с жылдамдықпен қозғалатын тҧрақты емес бӛлшектің ӛмір сҥру уақытының ҧзақтығы неше есе артады? [2]
-
(а) Зарядталған бӛлшектердің ҥдеткіштердегі қозғалысын сипаттаңыз. [4]
................................................................................................................................................................
................................................................................................................................................................
................................................................................................................................................................
................................................................................................................................................................
................................................................................................................................................................
(b) неліктен қозғалыстағы зарядталған бӛлшектің радиусы ӛзгереді? [3]
................................................................................................................................................................
................................................................................................................................................................
................................................................................................................................................................
................................................................................................................................................................
................................................................................................................................................................
Жалпы балл: 12
|
Бағалау критерийі |
Тапсырма № |
Дескриптор |
Балл |
|
Білім алушы |
|||
|
релятивистік эффект салдарынан массаның ӛсу ҥшін поезд қандай жылдамдықпен қозғалуы қажет екендігін анықтайды; |
1 |
релятивистік эффект салдарынан массаның ӛсу ҥшін қажетті формуланы дҧрыс жазады; формуланы тҥрлендіреді; дҧрыс есептейді; |
1 1 1 |
|
шапшаң қозғалатын бӛлшектің ӛмір сҥру уақытының ҧзақтығы неше есе артатындығын анықтайды; |
2 |
шапшаң қозғалатын бӛлшектің ӛмір сҥру уақытының ҧзақтығын анықтайтын формуланы дҧрыс жазады; берілген формуланы қолдана отырып, дҧрыс есептеу жҥргізеді; |
1 1 |
|
зарядталған |
3 |
Зарядталған бӛлшектердің ҥдеткіштердегі |
1 |
|
бӛлшектердің |
|
қозғалысын сипаттайды; |
1 |
|
ҥдеткіштерінің |
|
|
1 |
|
жҧмыс істеу |
|
|
1 |
|
принципіне сҥйене |
|
қозғалыстағы зарядталған бӛлшектің радиусы |
1 |
|
отырып сипаттайды |
|
неліктен ӛзгеретіндігін дҧрыс сипаттайды; |
1 |
|
және қозғалыстағы |
|
|
1 |
|
зарядталған |
|
|
|
|
бӛлшектің радиусы |
|
|
|
|
неліктен |
|
|
|
|
ӛзгеретіндігін |
|
|
|
|
тҥсіндіреді; |
|
|
|
|
Жалпы балл |
12 |
||
«Атомдық және кванттық физика» бөлімі бойынша жиынтық бағалау
-
Оқу мақсаттары
-
– фотоэффектінің табиғатын тҥсіндіру және оны қолдануға мысалдар келтіру;
-
– фотоэффектінің заңдары мен Эйнштейн теңдеуін есеп шығаруда қолдану;
11.8.1.8 – фотосинтез және фотография ҥдерісін мысалға келтіре отырып, жарықтың химиялық әсерін сипаттау
-
– Бор постулаттарына сҥйеніп атомның орнықты кҥйінің шартын тҥсіндіру;
-
– сутегі атомының энергетикалық қҧрылымына сҥйене отырып, сызықтық спектрдің табиғатын тҥсіндіру;
-
– де Бройль толқын ҧзындығының формуласын есептер шығаруда қолдану;
-
– де Бройль болжамын тҥсіндіру;
Бағалау критерийі
Білім алушы
-
Ішкі және сыртқы фотоэффект қҧбылыстарын бір-бірінен ажырата отырып, фотоэффект қҧбылысының қолдану аясына мысалдар келтіреді;
-
фотоэффектінің қызыл шекарасының толқын ҧзындығын анықтайды;
-
жарықтың химиялық әсерін сипаттайды;
-
Бор постулаттарына сҥйеніп атомның орнықты кҥйінің шартын ескере отырып, орбитада орналасқан сутек атомының энергиясы әртҥрлі қанша квант шығара алатындығын анықтайды және сутек атомындағы электрон бір энергетикалық деңгейден екінші энергетикалық деңгейге ауысқанда, атомның энергиясы қалай ӛзгеретіндігін біледі;
-
сутегі атомының энергетикалық қҧрылымына сҥйене отырып, оның шығару спектрінде қанша сызықты кӛруге болатындығын анықтайды;
-
де Бройль толқын ҧзындығының формуласын есептер шығаруда қолданады;
-
де Бройль болжамын дәлелдейтін тәжірибені сипаттап жазады;
Ойлау дағдыларының деңгейлері
Қолдану
Жоғары деңгей дағдылары
Орындау уақыты
25 минут
-
Тапсырмалар
-
(а) Ішкі және сыртқы фотоэффект дегеніміз не? [2] Ішкі фотоэффект ..................................................................................................................................
................................................................................................................................................................
Сыртқы фотоэффект ............................................................................................................................
................................................................................................................................................................
(b) Фотоэффект қҧбылысының қолдану аясына екі мысал келтіріңіз. [2]
................................................................................................................................................................
................................................................................................................................................................
-
Электрондардың кҥмістен шығу жҧмысы 7,85*10-19 Дж. Кҥміс ҥшін фотоэффектінің қызыл шекарасының толқын ҧзындығын анықтаңыз. [2]
-
Жарықтың химиялық әсерін сипаттап жазыңыз. [1]
................................................................................................................................................................
................................................................................................................................................................
-
(а) Электрон ҥшінші орбитада болса, сутек атомы энергиясы әртҥрлі қанша квант шығара алады? Энергетикалық деңгейлер диаграмманы алып кӛрсетіңіз. [2]
(b) Сутек атомындағы электрон бірінші энергетикалық деңгейден екіншіге ауысқанда, атомның энергиясы қалай ӛзгереді? [1]
................................................................................................................................................................
................................................................................................................................................................
-
Сутегі атомының қозбаған кҥйінде электрон 12 эВ энергия алады. Сутек атомының негізгі кҥйінің энергиясы -13.6 эВ. Осы электрон тӛменгі энергетикалық кҥйге ӛткенде, сутек атомының шығару спектрінде қанша сызықты кӛруге болады? [2]
-
Сутегі атомының бірінші Бор орбитасында электронның де Бройль толқын ҧзындығын анықтаңыз. Бірінші Бор орбитасының радиусы 5.3*10-11 м, электрон массасы 9,1*10-31 кг, электрон заряды 1,6*10-19 Кл, h=6,63*10-34 Дж*с; [3]
-
(а) Атақты француз ғалымы Луи де Бройль жарықтың әрі толқындық әрі корпускулалық екі жақтылық қасиетін одан ары дамытты. Осыған орай де Бройльдің болжамын жазыңыз. [1]
................................................................................................................................................................
................................................................................................................................................................
(b) Де Бройль болжамын дәлелдейтін тәжірибені сипаттап жазыңыз. [2]
................................................................................................................................................................
................................................................................................................................................................
................................................................................................................................................................
................................................................................................................................................................
Жалпы балл: 18
-
Бағалау критерийі
Тапсырма
№
Дескриптор
Балл
Білім алушы
Ішкі және сыртқы фотоэффект қҧбылыстарын бір-бірінен ажырата отырып, фотоэффект қҧбылысының қолдану аясына мысалдар келтіреді;
1
шкі және сыртқы фотоэффект қҧбылыстарын бір-бірінен дҧрыс ажыратып жазады; фотоэффект қҧбылысының қолдану аясына дҧрыс екі мысал келтіреді;
1
1
1
1
фотоэффектінің қызыл шекарасының толқын ҧзындығын анықтайды;
2
кҥміс ҥшін фотоэффектінің қызыл шекарасының толқын ҧзындығын формуланы қолдана отырып, дҧрыс
анықтайды;
1
1
жарықтың химиялық әсерін сипаттайды;
3
жарықтың химиялық әсерін дҧрыс сипаттап жазады;
1
Бор постулаттарына
сҥйеніп атомның орнықты кҥйінің шартын ескере отырып, орбитада орналасқан сутек атомының энергиясы әртҥрлі қанша квант шығара алатындығын анықтайды және сутек атомындағы электрон бір энергетикалық деңгейден екінші энергетикалық деңгейге ауысқанда, атомның энергиясы қалай ӛзгеретіндігін біледі;
4
Электрон ҥшінші орбитада болса, сутек атомы энергиясы әртҥрлі қанша квант шығара алатындығын дҧрыс анықтап суретін салады;
Сутек атомындағы электрон бірінші энергетикалық деңгейден екіншіге ауысқанда, атомның энергиясы қалай ӛзгеретіндігін дҧрыс жазады;
1
1
1
сутегі атомының
энергетикалық қҧрылымына сҥйене отырып, оның шығару спектрінде қанша сызықты кӛруге болатындығын анықтайды;
5
электрон тӛменгі энергетикалық кҥйге ӛткенде, сутек атомының шығару спектрінде қанша сызықты кӛруге болатындығын дҧрыс анықтайды;
1
1
де Бройль толқын
ҧзындығының формуласын есептер шығаруда қолданады;
6
Сутегі атомының бірінші Бор орбитасында электронның де Бройль толқын ҧзындығын формуланы қолдана отырып, дҧрыс анықтайды;
1
1
1
де Бройль болжамын дәлелдейтін тәжірибені
сипаттап жазады;
7
де Бройльдің болжамын жазады; де Бройль болжамын дәлелдейтін тәжірибені сипаттап жазады;
1
1
1
Жалпы балл
18
ІV-ТОҚСАН
«Нанотехнология және наноматериалдар» бөлімі бойынша жиынтық бағалау
|
Оқу мақсаттары |
|
|
Бағалау критерийі |
Білім алушы |
|
|
|
|
Ойлау дағдыларының деңгейлері |
Қолдану |
|
Орындау уақыты |
20 минут |
Тапсырмалар
-
(а) Наноматериалдардың физикалық қасиеттерін ашып жазыңыз. [2]
................................................................................................................................................................
................................................................................................................................................................
................................................................................................................................................................
................................................................................................................................................................
(b) наноматериалдарды алудың екі тәсілін сипаттап жазыңыз. [2]
................................................................................................................................................................
................................................................................................................................................................
................................................................................................................................................................
................................................................................................................................................................
-
(а) Нанотехнология дегеніміз [2]
................................................................................................................................................................
................................................................................................................................................................
................................................................................................................................................................
................................................................................................................................................................
(b) Нанотехнологияның қолданыс аясын сипаттап жазыңыз.
Машина жасау ӛнеркәсібінде [2]
................................................................................................................................................................
................................................................................................................................................................
................................................................................................................................................................
................................................................................................................................................................
Жалпы балл: 8
-
Бағалау критерийі
Тапсырма
№
Дескриптор
Балл
Білім алушы
наноматериалдардың физикалық қасиеттерін ашып жаза отырып, оларды алудың жолдарының екі тәсілін сипаттап жазады;
1
наноматериалдардың физикалық қасиеттерін
ашып жазады;
наноматериалдарды алудың екі тәсілін сипаттап жазады;
1
1
1
1
нанотехнология дегеніміз не екендігін сипаттай отырып, машина жасау ӛнеркәсібінде қалай қолданылатындығын
сипаттап жазады;
2
нанотехнологияның ережесін жазады; нанотехнологияның қолданыс аясының бірі машина жасау ӛнеркәсібіндегі ролін жазады;
1
1
1
1
Жалпы балл
8
«Космология» бөлімі бойынша жиынтық бағалау
|
Оқу мақсаттары |
11.10.1.10 – Хаббл заңын қолданып, Әлемнің жасын бағалай алу; |
|
Бағалау критерийі |
Білім алушы |
|
|
|
|
Ойлау дағдыларының деңгейлері |
Қолдану |
|
Орындау уақыты |
25 минут |
Тапсырмалар
-
Альтаир жҧлдызының кӛрінерлік жҧлдыздық шамасы 0,77m. Ол 16,8 жарық жылына тең қашықтықта орналасқан. Альтаир жҧлдызының абсолюттік жҧлдыздық шамасын анықтаңыз.
[3]
-
Радиусы 7*105 км болатын Кҥн бетінің температураны анықтаңыз. Кҥннің жарқырауы 3,84*1026 Вт, δ=5,67*10-8 Вт/м2К4. [4]
-
Суретте Герцшпрунг-Рассел диаграммасы бейнеленген.

(а) тӛменде кӛрсетілген бес тҧжырымнан дҧрысын(тарын) анықтап дӛңгелектеп белгілеңіз.
-
жҧлдыздардың кӛпшілігі қызыл ергежейлілер болып келеді.
-
негізгі тізбектегі К спектріндегі жҧлдыздардың класының «ӛмірлік циклі», В спектріндегі жҧлдыздардың класының «ӛмірлік циклінен» қысқарақ болады.
-
асқын алып жҧлдыздардың орташа тығыздығы ӛте жоғары болады.
-
Денеб жҧлдызының беттік температурасы 8550 К және ол М спектрдегі жҧлдыздар класына жатады.
-
Эридан-40 жҧлдызы ақ ергежейлілерге жатады, себебі оның массасы Кҥн массасының 0.5 қҧрайды. [2]
(b) (а) тапсырмасында берілген бес тҧжырымның қателерін анықтап, неліктен қате екендігін тҥсіндіріп жазыңыз. [3]
................................................................................................................................................................
................................................................................................................................................................
................................................................................................................................................................
................................................................................................................................................................
................................................................................................................................................................
................................................................................................................................................................
4. (а) алыстау жылдамдығы 1,5*104 км/с болатын галактиканың бізден қандай арақашықта орналасқандығын анықтаңыз. (75 км/сМпк) [2]
(b) осы галактиканың жасын анықтаңыз. [2]
Жалпы балл: 16
|
Бағалау критерийі |
Тапсырма № |
Дескриптор |
Балл |
|
Білім алушы |
|||
|
кӛрінерлік және абсолют жҧлдыздық шаманы анықтау ҥшін формулаларды қолданады және есптеуді жҥргізеді; |
1 |
Жарық жылын қажетті шамаға дҧрыс айналдырады; Формуласы дҧрыс; Есептеуі дҧрыс; |
1 1 1 |
|
Кҥннің беттік температурасын анықтау ҥшін Стефан-Больцман заңын қолданады; |
2 |
Кҥн беті ауданының формуласын жазды 1 м2 ауданнан бӛлінетін қуат формуласын жазады; Стефан-Больцман заңын қолданады; температурасын дҧрыс анықтайды; |
1 1 1 1 |
|
Герцшпрунг-Рассель диаграммасын қолдана отырып, тҧжырымдамалардың дҧрысы мен қатесін анықтайды; |
3 |
Диаграммаға қатысты берілген тҧжырымды ішінен дҧрысын анықтайды; |
1 1 |
|
Қате тҧжырымды неліктен қате екендігіне сипаттама жазады; |
1 1 1 |
||
|
Хаббл заңын қолдана отырып, берілген галактиканың арақашықтығын және жасын анықтайды; |
4 |
Формула жазады; Есептейді; Формула жазады; Есептейді |
1 1 1 1 |
|
Жалпы балл |
16 |
||
1-ТОҚСАННЫҢ ЖИЫНТЫҚ БАҒАЛАУ СПЕЦИФИКАЦИЯСЫ
-
- тоқсанның жиынтық бағалауына шолу
Ұзақтығы – 40 минут
Балл саны – 30 балл
Тапсырма тҥрлері:
КТБ – кӛп таңдауы бар тапсырмалар;
ҚЖ – қысқа жауапты қажет ететін тапсырмалар;
ТЖ – толық жауапты қажет ететін тапсырмалар.
Жиынтық бағалаудың құрылымы
Берілген нҧсқа кӛп таңдауы бар тапсырмаларды, қысқа және толық жауапты сҧрақтарды қамтитын 10 тапсырмадан тҧрады.
Кӛп таңдауы бар тапсырмаларға оқушылар ҧсынылған жауап нҧсқаларынан дҧрыс жауабын таңдау арқылы жауап береді.
Қысқа жауапты қажет ететін сҧрақтарға оқушылар есептелген мәні, сӛздер немесе қысқа сӛйлемдер тҥрінде жауап береді.
Толық жауапты қажет ететін сҧрақтарда оқушыдан максималды балл жинау ҥшін тапсырманың шешімін табудың әр қадамын анық кӛрсетуі талап етіледі. Оқушының математикалық тәсілдерді таңдай алу және қолдана алу қабілеті бағаланады. Тапсырма бірнеше қҧрылымдық бӛліктерден/сҧрақтардан тҧруы мҥмкін.

Тапсырма үлгілері және балл қою кестесі
«Физика» пәнінен 1-тоқсанға арналған жиынтық бағалаудың тапсырмалары
-
Суретте бӛлшектің тербелісінің орын ауыстыруының-уақытқа тәуелділік графигі бейнеленген

Графикті пайдалана отырып келесі шамаларды анықтаңыз:
(а) тербеліс амплитудасын [1]
(b) тербеліс периодын [1]
(с) тербеліс жиілігін [1]
(d) бҧрыштық жиілігін [1]
-
Электрмагниттік тербелістердің периоды мен меншікті жиілігі қандай шамаларға тәуелді: А) заряд, ток кҥші
В) кернеу, шарғы индукдивтілігі
С) ток кҥші, конденсатор сыйымдылығы
D) конденсатор сыйымдылығы, шарғы индуктивтілігі
Е) заряд, ток кҥші, кернеу [1]
-
Механикалық тербелістер мен электромагниттік тербелістерді сәйкестендіре отырып, берілген кестені толықтырыңыз.
|
Механикалық тербеліс |
Электромагниттік тербеліс |
||
|
Физикалық шама атауы |
Белгіленуі немесе формуласы |
Физикалық шама атауы |
Белгіленуі немесе формуласы |
|
Ығысу |
|
|
q |
|
|
υ=х’ |
Ток кҥші |
|
|
Масса |
|
|
L |
|
|
k |
Сыйымдықққа кері шама |
|
|
Кҥш |
|
|
u=ei=Li’ |
[2]
-
Тербелмелі контур конденсаторының сыйымдылығы 0,4 мкФ, меншікті тербеліс жиілігі 50 кГц,заряд тербелісінің амплитудасы 8 мкКл.
а) зарядтың, кернеудің, ток кҥшінің уақытқа тәуелділік q=q(t) теңдеуін жазыңдар; [1]
b) кернеудің тербеліс амплитудасын, ток кҥшінің тербеліс амплитудасын және шарғының ин- дуктивтілігін анықтаңдар; [1]
с) шамалардың тәуелділік графиктерін тҧрғызыңдар; [1]
-
Тізбектегі ток кҥші мына заң бойынша ӛзгереді: i=8,5sin (314t + 0,661).
-
ток кҥшінің амплитудалық мәнін анықтаңыз; [1]
-
бастапқы фазасын анықтаңыз; [1]
-
жиілігін анықтаңыз; [1]
-
Кернеудің синус заңы бойынша ӛзгерісі берілген: u(t)=30√2sin(314t+π/4).
а) уақыт 0.0025 с болған кездегі u(t) мәнін анықтаңыз; [2]
-
Индуктивтілігі L = 0,02 Гн шарғы жиілігі n = 50 Гц айнымалы кернеу кӛзіне қосылған. Кер- неудің әсерлік мәні U = 100 B.
а) ток кҥшінің лездік мәнінің уақытқа тәуелділігін және ток пен кернеу арасындағы фазалық ығысуды анықтаңыз; [2]
-
Тӛмендегі суреттегі сҧлбада активті кедергі R=2 Ом, шарғының индуктивтілігі L=50 мГн, конденсатордың сыйымдылығы С=25 мкФ берілген.
-
тізбектің толық кедергісін анықтаңыз; [2]
-
50 Гц айнымалы ток жиілігінде ток пен кернеу арасындағы фазалық ығысуды анықтаңыз;
[2]
-
Тӛмендегі суретте айнымалы ток тізбегінің кедергілері R=3 Ом, XL=6 Ом, XC=2 Ом резистордан, шарғыдан және конденсатордан тҧратын бӛлігі кӛрсетілген.

а) кедергілер ҥшбҧрышын тҧрғызыңыз; [1]
-
тізбектің толық кедергісін анықтаңыз; [2]
-
қуат коэффициентін анықтаңыз; [2]
-
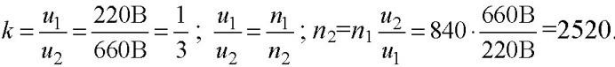
Бірінші реттік орамасы 840 орамнан тҧратын суретте кӛрсетілген трансформатор кернеуді 220 В-тан 660 В-қа дейін арттырады.

а) трансформация коэффициентін анықтаңыз; [2]
-
екінші реттік орамасы қанша орамнан тҧратындығын анықтаңыз; [2]
Жалпы балл: 30
1-тоқсан бойынша балл қою кестесі
|
№ |
Жауабы |
Балл |
Қосымша ақпарат |
|||||
|
1 |
А=0,1 м Т=4,0*10-2 с ν=0,25*102 Гц ω=1,57*102 рад/с |
4 |
|
|||||
|
2 |
D |
1 |
|
|||||
|
3 |
|
Механикалық тербеліс |
Электромагниттік тербеліс |
|
2 |
|
||
|
Физикалық шама атауы |
Белгіленуі немесе формуласы |
Физикалық шама атауы |
Белгіленуі немесе формуласы |
|||||
|
Ығысу |
х |
Заряд |
q |
|||||
|
Жылдамдық |
υ=х’ |
Ток кҥші |
i=q′ |
|||||
|
Масса |
|
|
L |
|||||
|
Қатаңдық коэффициенті |
k |
Сыйымдықққа кері шама |
1/C |
|||||
|
Кҥш |
F=ma |
Кернеу |
u=ei=Li’ |
|||||
|
4 |
q(t)=8*10-6 cos105πt Um=20 В Im=2,5 A L=25 мкГн Шамалардың тәуелділік графиктерін тҧрғызады |
3 |
|
|||||
|
5 |
Im=8,5 A φ0=0,661 рад/с ν=50 Гц |
3 |
|
|||||
|
6 |
|
2 |
|
|||||
|
7 |
φ=π/2 |
2 |
|
|||||
|
8 |
Z≈111 Ом φ=arctg(111/2)≈89° |
4 |
|
|||||
|
9 |
Кедергілер ҥшбҧрышын тҧрғызады.
Z=5 Ом cosφ=0,6 |
5 |
|
|||||
|
10 |
|
4 |
|
|||||
|
Жалпы балл |
30 |
|
||||||
-
ТОҚСАННЫҢ ЖИЫНТЫҚ БАҒАЛАУ СПЕЦИФИКАЦИЯСЫ
-
- тоқсанның жиынтық бағалауына шолу
Ұзақтығы – 40 минут
Балл саны – 30 балл
Тапсырма тҥрлері:
КТБ – кӛп таңдауы бар тапсырмалар;
ҚЖ – қысқа жауапты қажет ететін тапсырмалар;
ТЖ – толық жауапты қажет ететін тапсырмалар.
Жиынтық бағалаудың құрылымы
Берілген нҧсқа кӛп таңдауы бар тапсырмаларды, қысқа және толық жауапты сҧрақтарды қамтитын 9 тапсырмадан тҧрады.
Кӛп таңдауы бар тапсырмаларға оқушылар ҧсынылған жауап нҧсқаларынан дҧрыс жауабын таңдау арқылы жауап береді.
Қысқа жауапты қажет ететін сҧрақтарға оқушылар есептелген мәні, сӛздер немесе қысқа сӛйлемдер тҥрінде жауап береді.
Толық жауапты қажет ететін сҧрақтарда оқушыдан максималды балл жинау ҥшін тапсырманың шешімін табудың әр қадамын анық кӛрсетуі талап етіледі. Оқушының математикалық тәсілдерді таңдай алу және қолдана алу қабілеті бағаланады. Тапсырма бірнеше қҧрылымдық бӛліктерден/сҧрақтардан тҧруы мҥмкін.

Тапсырма үлгілері және балл қою кестесі
«Физика» пәнінен 2-тоқсанға арналған жиынтық бағалаудың тапсырмалары
-
Тҧрғын толқынның екінші және тӛртінші тҥйіндерінің арақашықтығы 60 см. Толқын кӛзінің тербеліс периоды 2 с.
а) механикалық толқынның ҧзындығы мен таралу жылдамдығын анықтаңыз; [2]
b) толқын кӛзінің тербеліс амплитудасы 5 см болса, қума және тҧрғын толқын графигін салыңыз; [1]
-
Екі интерференцияланатын толқындардың фазалар айырымы 5π . Осы толқындардың таралу жолдарының айырымы 1,25 мкм.
-
толқын ҧзындығын анықтаңыз; [2]
-
фазалар айырымы арқылы байқалатын қҧбылысты сипаттаңыз; [1]
-
Гюйгенс принципін анықтаңыз: [1]
А) бірінші ретті толқындардың орағытып ӛтетін шептері қорытқы толқынның шебі болып саналады В) кеңістіктің ауытқу жеткен барлық нҥктелері екінші ретті толқын кӛздері болып табылады
С) екінші ретті толқындарды қабаттастыру кезінде интерференция орындалады
D) екінші ретті толқындардың орағытып ӛтетін шептері қорытқы толқынның шебі болып саналады Е) кеңістіктің ауытқу жеткен барлық нҥктелері бірінші ретті толқын кӛздері болып табылады
-
Суретте жоғары жиіліктегі тербелістердің модуляциялануы бейнеленілген.
а) амплитудалық (АМ) және жиіліктік (FM) модуляцияны ажыратыңыз; [1]
b) амплитудалық (АМ) және жиіліктік (FM) модуляцияның айырмашылықтары қандай екендігін сипаттап жазыңыз; [2]
-
Сандық форматтағы сигналдың екі артықшылығын жазыңыз. [2]
-
Суретте ADSL технологиясы кӛмегімен интернет, теледидар және телефон қызметтерін ҧсынудың принциптік сҧлбасы кӛрсетілген.

-
ADSL технологиясы кӛмегімен сигнал таратуды маңыздылығын бағалаңыз; [2]
-
Кеңжолақты интернетті тарату технологияларын анықтамаларымен сәйкестендіріңіз; [2]
-
оптикалық талшықтық коммуникациялық желінің екі артықшылығын толық бағалап жазыңыз; [2]
|
1 |
NGN (Next Generation Network) |
A |
кодтық модуляциясы бар бірнеше мәрте қол- жетімділік |
|
2 |
ADSL (Asymmetric Digital Subscriber Line) |
B |
ҥйге қосылған оптоталшықты кабель |
|
3 |
CDMA (Code Division Multiple Access) |
C |
асимметриялы сандық абоненттік желі |
|
4 |
EVDO (Evolution Data Optimized) |
D |
келешек ҧрпақтың байланыс желісі |
|
5 |
FTTH (Fiber to the Home) |
E |
жақсартылған, оптимизацияланған ақпарат тасымалдау |
-
Суретте кҥн сәулесі призмаға келіп тҥскені бейнеленген.
а) суретте кӛрсетілген бос орынға спектр тҥрлерін жазыңыз; [1]
b) В және С нҥктелеріне сәйкес келетін жиілік пен толқын ҧзындығын салыстырыңыз; [1]
-
Тәжірибе жҥзінде судың сыну кӛрсеткіші кӛрінетін спектрдің шеткі қызыл сәулелері ҥшін 1,329, ал шеткі кҥлгін сәулелері ҥшін 1,344 екені анықталды.
-
қызыл және кҥлгін сәулелердің суда таралу жылдамдығын анықтаңыз; [2]
-
қайсысының жылдамдығы артық және қаншаға? [2]
-
Суретте кӛрсетілгендей ҧзындығы 1 мм-ге 1000 штрихы бар дифракциялық тор толқын ҧзындығы 420 нм болатын монохроматикалық жарықтың параллель сәулесімен жарықтандырылады. Жарық торға перпендикуляр тҥседі. Дифракциялық торға жақын, оның артында жҧқа жинайтын линза орналасқан. Тордың артында линзаның фокустық ҧзындығына тең қашықтықта, дифракциялық сурет байқалатын экран торға параллель орналасқан.

Тӛменде берілген тҧжырымдардың «АҚИҚАТ» немесе «ЖАЛҒАН» екендігін анықтаңыз.
-
Бақыланатын дифракциялық максимумдардың ең жоғары реттілігі 2-ге тең. [2]
-
Егер сіз қҧлаған жарықтың толқын ҧзындығын арттырсаңыз, онда бақыланатын дифракциялық максимумдардың максималды реттілігі артады. [1]
-
Егер сіз жарықтың толқын ҧзындығын кемітсеңіз, экранда нӛл мен бірінші дифракциялық максимумдар арасындағы қашықтық азаяды. [1]
-
Егер сіз линзаны ҥлкен фокустық ҧзындықпен басқасына ауыстырсаңыз және экранды линзадан экранға дейінгі қашықтық объективтің фокустық ҧзындығына тең болатындай етіп орналастырсаңыз, онда нӛлдік және бірінші дифракциялық максимумдар арасындағы экрандағы қашықтық азаяды. [1]
-
Егер сіз дифракциялық торды периоды ҥлкен болатын тормен ауыстырсаңыз, онда бірінші дифракциялық максимум байқалатын бҧрыш артады. [1]
Жалпы балл: 30
2-тоқсан бойынша балл қою кестесі
-
№
Жауабы
Балл
Қосымша
ақпарат
1
λ=0,4 м υ=0,2 м/с
Қума және тҧрғын толқын графигін салады
3
2

Фазалар айырымы тҧрақты болуы /бір толқын кӛзінен таралу қажет
3
3
В
1
4
1) AM; 2) FM
АМ – радиотаратқыш тарататын электромагниттік тербеліс амплитудасын сол тербеліс жиілігінен тӛмен жиіліктегі тербеліс заңына сәйкес ӛзгерту.
FM – генератор жиілігінің модульдеуші (модуляциялаушы) кернеу әсерінен ӛзгеруі.
3
5
-
Сандық сигналды кез келген қашықтықтан қабылдауға болады;
-
Сандық таратылым кӛптеген арналарды қамтамасыз етуі мҥмкін;
2
Кез келген екі дҧрыс мысалды
қабылдауға болады
6
Әрбір қолданушының арнайы тҥрлендіргіші бар, ол сиг- налды декодтауға және теледидар экранында әртҥрлі бағ- дарламаларды кӛруге мҥмкіндік береді.
1D, 2C, 3A, 4E, 5B
Ӛзекше жарықты тасымалдауға арналған. Оптикалық қабық ӛзекшені қоршап тҧрады. Ол ӛзекшеде жарықтың толық шағылуын қамтамасыз етеді. Оптикалық қабықтың сыртында қосымша қорғағыш қабықша болады. Ол бір немесе бірнеше қабаттан тҧратын полимерден жасалынады және талшықты сыртқы зиянды әрекеттерден қорғайды. Басқа электр байланысы желілерінен ақпарат беру жылдамдығының жоғарлығымен (100 км-ден асатын қашықтыққа 107 — 109 бит/с)
Немесе аз шығындалуына байланысты алыс қашыктыққа ақпаратты ретрансляторсыз жеткізу мҥмкіндігі, бір немесе кӛп тасымалдаушы толқындарда модуляциялаудың кең жолақты, талшық диаметрінің жіңішкелігімен, пайдалануға икемді және арзан
6
Кез келген дҧрыс толық жауап 1 баллмен бағалануы керек
7
В қызыл С кҥлгін
Қызыл тҥстің толқын ҧзындығы кҥлгінге қарағанда ҧзынырақ, жиіліктері керсінше
2
Оқушы мҥмкін С нҥктесінде қызылдан кейінгі барлық тҥстерді жазуы мҥмкін. Дҧрыс деп
қабылдауға болады
8

4
9
1-А, 2-Ж, 3-А, 4-Ж, 5-Ж
6
Жалпы балл
30
-
-
ТОҚСАННЫҢ ЖИЫНТЫҚ БАҒАЛАУ СПЕЦИФИКАЦИЯСЫ
-
- тоқсанның жиынтық бағалауына шолу
Ұзақтығы – 40 минут
Балл саны – 30 балл
Тапсырма тҥрлері:
КТБ – кӛп таңдауы бар тапсырмалар;
ҚЖ – қысқа жауапты қажет ететін тапсырмалар;
ТЖ – толық жауапты қажет ететін тапсырмалар.
Жиынтық бағалаудың құрылымы
Берілген нҧсқа кӛп таңдауы бар тапсырмаларды, қысқа және толық жауапты сҧрақтарды қамтитын 10 тапсырмадан тҧрады.
Кӛп таңдауы бар тапсырмаларға оқушылар ҧсынылған жауап нҧсқаларынан дҧрыс жауабын таңдау арқылы жауап береді.
Қысқа жауапты қажет ететін сҧрақтарға оқушылар есептелген мәні, сӛздер немесе қысқа сӛйлемдер тҥрінде жауап береді.
Толық жауапты қажет ететін сҧрақтарда оқушыдан максималды балл жинау ҥшін тапсырманың шешімін табудың әр қадамын анық кӛрсетуі талап етіледі. Оқушының математикалық тәсілдерді таңдай алу және қолдана алу қабілеті бағаланады. Тапсырма бірнеше қҧрылымдық бӛліктерден/сҧрақтардан тҧруы мҥмкін.

Тапсырма үлгілері және балл қою кестесі
«Физика» пәнінен 3-тоқсанға арналған жиынтық бағалаудың тапсырмалары
-
Сфералық айна кӛмегімен кескін алу.
а)
сфералық айна алдында тҧрған май шамның кескінін алыңыз; [1]
b) алынған кескінді сипаттаңыз; [1]
-
Гюйгенс принципін тҧжырымдаңыз. [1]
-
Екі жағы дӛңес линзаның қисықтық радиустары 50 см тең. Линзаның сыну кӛрсеткіші 1.5. Есептеңіз:
-
линзаның оптикалық кҥшін; [2]
-
линзаның фокустық арақашықтығын; [1]
-
Ҥдеткіш радиоактивті ядроға 0,4с жылдамдық берді. Ҥдеткіштен шыққан кезде ядро ӛзінің қозғалыс бағытында β-бӛлшекті ҥдеткішке қатысты 0,75с жылдамдықпен лақтырды.
а) бӛлшектің ядроға қатысты жылдамдығын анықтаңыз. [2]
-
Тӛменде толық емес электромагниттік толқындар шкаласы бейнеленген.
|
Радиотолқын |
|
Инфрақызыл сәуле |
|
Ультракҥлгін сәуле |
|
Гамма сәуле |
а) белгісіз электромагниттік сәулеленудің атауын жазыңыз; [1]
b) суреттегі рентген тҥтікшесіне қарап, рентган сәулелерінің пайда болуын тҥсіндіріңіз; [1]

с) Тежегіш сәулелену спектрінде толқын ҧзындығы 0,015 нм сәулелер пайда болатын минимал кернеуді анықтаңдар. [2]
-
а) Тӛмендегі суретте фотоэлемент қҧрылғысының сызбасы берілген. Суретке қарап фотоэлементтің жҧмыс істеу принципін тҥсіндіріңіз; [1]

b) Фотоэлектрондардың максимал жылдамдығы u=3000 км/с болу ҥшін вольфрам пластинаның бетін қандай жиіліктегі жарықпен сәулелендіру керек? [2]
с) Эйнштейн фотоэффект қҧбылысын қалай тҥсіндірді? [1]
-
а) тӛмендегі бос орынды толтырыңыз. [1]
Ньютонның жарық табиғаты туралы ҧсынған теориясы деп аталады. Гюйгенс жарық табиғаты туралы ҧсынған теориясы деп аталады.
b) Гюйгенстің теориясын дәлелдейтін жарық қасиеттеріне екі мысал келтіріңіз. [1]


с) Ньютонның жарық туралы теориясының дҧрыстығын қандай қҧбылыс дәлелдейді және оны
кім ашқан? [2]
-
Радиоактивті заттың активтілігі 8 кҥн ішінде тӛрт есе кеміген.
-
берілген заттың жартылай ыдырау периодын анықтаңыз; [2]
-
егер заттың ыдырауға тҥскенге дейінгі массасы 4 г болса, ыдырап кеткен массасын анықтаңыз; [2]
-
27Al13 алюминийдің изотопын α-бӛлшектермен атқылағанда тҥзілетін 30P15 фосфордың радиоактивті изотопы позитрон бӛліп шығарып ыдырайды.
-
екі реакцияның теңдеулерін жазыңыз; [3]
-
фосфор ыдырағанда қандай ядро тҥзіледі? [1]
-
Суретте ядролық реактордың сҧлбасы берілген.

-
ядролық реактордың қҧрылысын сипаттаңыз; [1]
-
ядролық реактордың жҧмыс істеу принципін сипаттаңыз; [1]
Жалпы балл: 30
3-тоқсан бойынша балл қою кестесі
|
№ |
Жауабы |
Балл |
Қосымша ақпарат |
|
1 |
Шын, ҥлкейтілген, тӛңкерілген |
2 |
|
|
2 |
Ортаның ауытқу жеткен кез келген нҥктесі екінші ретті толқындардың кӛзі болып табылады. Екінші ретті толқын- дардың орағытып ӛтетін шептері қорытқы толқынның шебі болып табылады. |
1 |
|
|
3 |
D=2 дпрт, F=0,5 м |
3 |
|
|
4 |
|
2 |
|
|
5 |
Микротолқын, кӛрінетін жарық, рентген сәулесі Жылдам электрондар кенеттен тежелгенде пайда болатын толқын ҧзындығы ӛте қысқа электромагниттік сәулелер рентген сәулелері болып табылады. U=80 кВ |
4 |
|
|
6 |
Ауасы сорып шығарылған шыны баллонның ішкі беті К (катод) ӛте сезімтал, баллон ішіне жарық тҥсуіне арналған шағын мӛлдір бӛлігі бар қабатпен қапталған. Баллон центрінде А (анод) металл сақина орналасқан. Электродтардан фотоэлементті электр тізбегіне қосуға арналған ӛткізгіштер жасалған. Жарыққа сезімтал қабат ретінде шығу жҧмысы аз сілтілік металдардан жасалған тозаңдалған қабаттар қолданылады.
Фотоэффектінің теориялық негіздемесін 1905 жылы А.Эйнштейн берген болатын. Ол жарық Планк тҧжырымдағандай кванттармен сәулеленіп қана қоймай, сонымен қатар ҥлестермен де таралады және жҧтылады, яғни энергиясы E=һν фотондар деп аталатын бӛлшектер ағынынан тҧрады деп болжады. |
4 |
|
|
7 |
Корпускулярлық; Толқындық Дифракция, интерференция және т.б. Фотоэффект/ Г.Герц 1887 ж. |
4 |
|
|
8 |
m=m0*2 -t/T |
4 |
|
|
9 |
|
4 |
|
-
Кремний
10
Реактор, бу турбинасы, генератор, конденсатор, сорғыш және т.б.
Ядролық реактор – ауыр ядролардың бӛлінуі басқарылатын тізбекті ядролық реакция жҥзеге асырылатын қондырғы.
2
Жалпы балл
30
-
ТОҚСАННЫҢ ЖИЫНТЫҚ БАҒАЛАУ СПЕЦИФИКАЦИЯСЫ
-
- тоқсанның жиынтық бағалауына шолу
Ұзақтығы – 40 минут
Балл саны – 30 балл
Тапсырма тҥрлері:
КТБ – кӛп таңдауы бар тапсырмалар;
ҚЖ – қысқа жауапты қажет ететін тапсырмалар;
ТЖ – толық жауапты қажет ететін тапсырмалар.
Жиынтық бағалаудың құрылымы
Берілген нҧсқа кӛп таңдауы бар тапсырмаларды, қысқа және толық жауапты сҧрақтарды қамтитын 10 тапсырмадан тҧрады.
Кӛп таңдауы бар тапсырмаларға оқушылар ҧсынылған жауап нҧсқаларынан дҧрыс жауабын таңдау арқылы жауап береді.
Қысқа жауапты қажет ететін сҧрақтарға оқушылар есептелген мәні, сӛздер немесе қысқа сӛйлемдер тҥрінде жауап береді.
Толық жауапты қажет ететін сҧрақтарда оқушыдан максималды балл жинау ҥшін тапсырманың шешімін табудың әр қадамын анық кӛрсетуі талап етіледі. Оқушының математикалық тәсілдерді таңдай алу және қолдана алу қабілеті бағаланады. Тапсырма бірнеше қҧрылымдық бӛліктерден/сҧрақтардан тҧруы мҥмкін.

Тапсырма үлгілері және балл қою кестесі
«Физика» пәнінен 4-тоқсанға арналған жиынтық бағалаудың тапсырмалары
-
Нанотехнологиялардың қолданыс аясын сипаттап жазыңыз.
-
нанотехнология техникада:
-
нанотехнология медицинада:
[1]
[1]
-
а) физикалық шамаларды сипатталарымен сәйкестендіріңіз. [2]
-
1
Жҧлдыздың жарқырауы
A
жерден 10 пк қашықтықтағы жҧлдыздың кӛрінерлік
жҧлдыздық шамасы
2
Абсолют жҧлдыздық шама
B
аспан шырақтарының жасайтын жарықтарының
ӛлшемі
3
Жҧлдыздық шама
C
бірлік уақыт ішінде жҧлдыз бетінен шығарылатын
энергия
4
Кӛрінерлік жҧлдыздық
шама
D
ҧғымын алғаш рет б.з.б. II ғасырда Гиппарх енгізген
b) абсолют жҧлдыздық шама мен кӛрінетін жҧлдыздық шаманың айырмашылығын жазыңыз;
[2]
-
Кӛрінерлік жҧлдыздық шамасы m=2 болатын жҧлдыз 250 пк қашықтықта орналасқан. Осы жҧлдыздың абсолютті жҧлдызды шамасын анықтаңыз. [2]
-
Кҥннің абсолют шамасы M=+4,8m . Оның кӛрінерлік жҧлдыздық шамасын табыңдар. Кҥнге дейінгі қашықтықты 150 млн км деп есептеңдер. [2]
-
Кҥн сәулесінің спектрін анықтау барысында оның энергетикалық жарқырауының спектрлік максимумына сәйкес келетін толқын ҧзындығы 500 нм. (=5.67*10-8 Вт/м2K4 , b=2.9*103 м*К) Кҥнді абсолют қара дене деп есептеп, Абсолют температурасын анықтаңыз. [2]
-
Жоғарыда берілген (4) тапсырманың мәліметтерін қолдана отырып, абсолют қара дененің энергетикалық жарқырауын анықтаңыз. [2]
-
Суретте Герцшпрунг-Рассел диаграммасы бейнеленген.

а) тӛменде кӛрсетілген бес тҧжырымнан дҧрысын(тарын) анықтап дӛңгелектеп белгілеңіз:
-
Ақ ергежейлердің массасы Кҥннің массасынан едәуір асып тҥседі;
-
Алыптардың жарықтығы Кҥннің жарықтығынан он мың есе кӛп;
-
Антарес жҧлдызы негізгі тізбектегі Жҧлдыздарға жатады, ӛйткені оның радиусы кҥн радиусынан 900 есе кӛп;
-
Кҥн O спектрлік класына жатады;
-
негізгі тізбекте жҧлдыздардың шамамен 90% -ы орналасқан; [1]
b) (а) тапсырмасында берілген бес тҧжырымның қателерін анықтап, неліктен қате екендігін тҥсіндіріп жазыңыз. [3]
-
Бақылаушыдан алыстап бара жатқан галактиканың сәулелену спектріндегі қызыл ығысу 0,003.
-
галактиканың біздің Галактикамыздан алыстау жылдамдығын анықтаңыз; [2]
-
оған дейінгі қашықтықты анықтаңыз; [2]
-
a) Ҥлкен жарылыстың жалпылама теориясы бойынша Әлемнің эволюциясын тӛрт негізгі кезеңдерін жазыңыз: [1]
1)
2)
3)
4)
b) Әлемнің заманауи модельдерінің авторларын атаңыз; [1]
с) бҧл модельдердің мәні неде? [1]
-
Оқушы мыстың тығыздығын анықтау барысында тӛмендегідей мәліметтерді алған: масса m=500±0.1 g
ҧзындығы l=100.0±0.1 cm ені w=20.0±0.1 cm қалыңдығы t=0.30±0.01 mm
Тӛмендегі формуланы қолдана отырып ρ= ?/???
а) алюминий тығыздығын анықтаңыз; [1]
-
ӛлшеудің салыстырмалы қателігін анықтаңыз; [2]
-
ӛлшеудің абсолют қателігін анықтаңыз; [2]
Жалпы балл: 30
4-тоқсан бойынша балл қою кестесі
-
№
Жауабы
Балл
Қосымша
ақпарат
1
Сканерлейтін туннелді микроскоп/ нанатҥтікшелер газды сақтауға қауіпсіз материал/ӛрт сӛндірушілерге арналған ыңғайлы киімдер тігуде және тағы басқа Нанобӛлшектер дәрілерді жасушаларға жеткізуге арналған мінсіз әдіс. Жаңа технологиялардың арқасында нанобӛлшектер әртҥрлі ауруларды емдеуге арналған ең кӛп тараған дәрілердің бірі. Инфрақызыл лазерінің жарығы тері арқылы ӛтіп, электрондардың резонансты тербелістерін тудыру арқылы наносфераларды қыздырады. Жоғары температура ісік жасушаларын ӛлтіреді, ал айналасындағы сау жасушалар
зақымданбайды.
2
Кез келген дҧрыс жауапы бағалауға болады
2
1-C, 2-A, 3-D, 4-B
10 парсек стандарт қашықтықтағы аспан шырағының жҧлдыздық шамасын абсолют жҧлдыздық шама деп атайды. Абсолют жҧлдыздық шама (кӛрінерлік жҧлдыздық шамадан ӛзгешелігі) шырақтардың физикалық қасиеттерін,
жарқырауын сипаттайды. Абсолют жҧлдыздық шама (М) кӛрінерлік жҧлдыздық шамамен (m) белгіленеді
4
3

2
4

2
5

2
6

2
7
2 және 5
1) Диаграммада бҧл жҧлдыздардың жарықтығы тӛмен екендігі кӛрсетілген, ал масса жарықтылықпен байланысты. Яғни, масса неғҧрлым кӛп болса, соғҧрлым жарық болады;
-
Мҧндай радиустағы жҧлдызды аса алыптарға жатқызу керек;
-
Кҥн – G класына жататын орташа ӛлшемді жҧлдыз;
4
8

4
9
1) Адронды; 2) Лептон; 3) Фотонды; 4) Жҧлдызды
1917 ж. А.Эйнштейн, 1717 ж. Виллем де Ситтер, 1922 ж. А.Фридман
Эйнштейн әлемдік кеңістік біртекті және изотропты, материя орта есеппен біркелкі таралған, материялардың гравитациялық тартылуы әмбебап ғарыштық тебілумен
3
толықтырылады деп болжады.
Ситтер кеңею процесі ӛте ҥлкен қашықтықта ғана байқалады деп тҧжырымдады.
Фридман қазіргі кезде қабылданған Әлемнің пайда болуы мен эволюциясының космологиялық мәселесінің шешімін ҧсынды.
10
a) 0,8 г/см3 b)
c)5
Жалпы балл
30
-
![]()
І-ТОҚСАН
(қоғамдық-гуманитарлық бағыт)
«Механикалық тербелістер» және «Электромагниттік тербелістер» бөлімдері бойынша жиынтық бағалау
-
Оқу мақсаттары
11.4.1.1 – эксперименттік, аналитикалық және графиктік тәсілмен гармоникалық тербелісті (х(t), v(t), a(t)) зерттеу;
11.4.2.2 – механикалық тербелістермен электромагниттік тербелістерді сәйкестендіру;
Бағалау критерийі
Білім алушы
-
гармоникалық тербелістерді сипаттайды;
-
тербеліс графигін оқиды және ҥдеудің орын ауыстыруға тәуелділік графигін тҧрғызады;
-
тербелісті сипаттайтын шамаларды анықтайды;
Ойлау дағдыларының деңгейлері
Қолдану
Орындау уақыты
25 минут
-
Тапсырмалар
-
1-суретте тербелістегі дененің орын ауыстыруының уақытқа тәуелділік графигі берілген.

Анықтаңыз: [3]
-
Тербеліс периодын,
-
Амплитуданы,
-
Циклдік жиілікті
тербеліс периоды = с
амплитуда = м
циклдік жиілік= рад/с
-
1-суреттегі графикте: [2]
-
дененің жылдамдығы максималды болатын орынды V әрпімен белгілеңіз;
-
дененің ҥдеуі максималды болатын орынды А әрпімен белгілеңіз.
-
Жҥктен және серіппеден тҧратын жҥйе жиілігі 8 Гц-ке тең тербеліс жасайды. Тербеліс амплитудасы 40 мм-ге тең.
-
Тербелмелі жҥйенің циклдік жиілігін анықтаңыз
циклдік жиілігі = [2]
-
Тербелмелі жҥйенің максимал жылдамдығын анықтаңыз
максимал жылдамдығы= [2]
-
Тербелмелі контур дегеніміз не? Тербелмелі контурдың меншікті жиілігі 0 неге тең? [2]
-
Тербелмелі контурда бір тҧрақты және бір айнымалы шаманы ата [2]
-
Идеалды тербелмелі контурда еркін электромагниттік тербеліс жасалады. Кестеде зарядтың уақытқа тәуелді ӛзгерісі кӛрсетілген.
-
-
t/*10-6 c
0
1
2
3
4
5
6
7
8
9
q/*10-9 Кл
2
1,5
0
-1,5
-2
-1,5
0
1,5
2
1,5
-
Зарядтың максимал мәнін, тербеліс периодың және жиілігін тап. [3]
Жалпы балл: 16
-
Бағалау критерийі
Тапсырма
№
Дескриптор
Балл
Білім алушы
Тербеліс графигін оқиды және ҥдеудің орын ауыстыруға тәуелділік графигін тҧрғызады
1
Графиктен тербеліс периодын анықтайды
1
Графиктен амплитуданы анықтайды
1
Циклдік жиілікті есептейді
1
2
Графикте дененің жылдамдығы максималды
болатын нҥктені белгілейді
1
Дененің ҥдеуі максималды болатын нҥктені
белгілейді
1
3 (а)
Формуланы жазады
1
Есептейді
1
3 (b)
Формуланы жазады
1
Есептейді
1
Еркін тербелістердің пайда болуын сипаттайды
4
Тербелмелі контурды тҥсіндіреді
1
Меншікті жиілікті анықтау формуласын біледі
1
5
Бір тҧрақты шаманы атайды
1
Бір айнымалы шаманы атайды
1
Гармоникалық тербеліс теңдеуін қолданады
6
Зарядтың амплитудалық мәнін тербелістің периодын жиілігін анықтайды
1
1
1
Жалпы балл
16
«Айнамалы ток» бөлімі бойынша жиынтық бағалау
-
Оқу мақсаттары
11.4.3.2 – физикалық шамаларды (период, жиілік, кернеу, ток кҥші мен электр қозғаушы кҥші максималды және әсерлік мәндері ) қолданып, айнымалы токты сипаттау;
11.4.3.5 – электр энергиясын тасымалдау ҥшін жоғары кернеудегі айнымалы токтың экономикалық артықшылықтарын тҥсіндіру;
-
– резонанс шартын тҥсіндіру және оның қолданылуына мысал келтіру;
-
– резонанстық жиілікті есептеу;
Бағалау критерийі
Білім алушы
-
Электр энергиясын тасымалдау процесін трансформатор қанша есе энергия шығынын азайтатындығын тҥсіндіре отырып есептейді;
-
Гармоникалық тербеліс графигі арқылы амплитудалық, әсерлік мәндерді анықтайды;
-
Резонанс қҧбылысын тҥсіндіреді;
Ойлау дағдыларының деңгейлері
Қолдану
Орындау уақыты
30 минут
-
Тапсырмалар
-
(а) Электр станцияларының қасында қандай трансформатор қолданылады? [1]
(b) орам сандарының қатынасы ?1/?2 = 0,05 трансформатор қанша есе энергия шығынын азайтады? [3]
-
2-суретте 50 Гц жиіліктен тербелетін айнымалы кернеудің уақытқа тәуелділік графигі берілген.

2-сурет
Анықтаңыз: [4]
-
Графиктегі ?1 уақытты,
-
Кернеудің максималды мәнін,
-
Кернеудің әсерлік мәнін,
-
Кернеудің орташа мәнін.
-
Айнымалы ток кӛзі кедергісі 2,4 Ом болатын резисторға тізбектей жалғанған. 2-суреттегі мәліметтерді пайдаланып резистордың тҧтынатын қуатын есептеңіз. [2]
-
Кернеудің амплитудалық мәні тҧрақты, ал гармоникалық тербелістер жиілігін ӛзгертіп отыруға болатын айнымалы ток генераторына ҥш белгісіз А, В және С элементтерін қосу арқылы ток кҥшінің жиілікке тәуелділік графиктері алынды (3-сурет).

-
Графиктегі әріптердің тізбекке қосылған элементтермен сәйкестігін анықтаңыз:
-
Актив кедергі
-
Конденсатор
-
Катушка
-
Актив кедергіден, конденсатордан және катушкадан тҧратын контур.
-
-
-
-
А
В
С
-
-
-
-
Резонанстық тізбектер не ҥшін қолданылады?
-
Резонанстық жиілікті есептеу формуласын жазыңыз.
[5]
Жалпы балл: 15
-
Бағалау критерийі
Тапсырма
№
Дескриптор
Балл
Білім алушы
Электр энергиясын тасымалдау процесін сипаттайды
1
Электр станцияларының қасында қандай
трансформатор қолданылатындығын жазады
1
Орам сандарының қатынасын ескере отырып,
трансформатор қанша есе энергия шығынын азайтатындығын дҧрыс есептейді
1
1
1
Гармоникалық тербеліс графигі арқылы амплитудалық, әсерлік мәндерді анықтайды
2
Графиктен мәліметтерді анықтай отырып,
уақытты табады
1
Кернеудің максималды мәнін анықтайды
1
Кернеудің әсерлік мәнін табады
1
Кернеудің орташа мәнін анықтайды
1
3
Қуатты есептеу формуласын біледі
1
Резистордың тҧтынатын қуатын есептейді
1
Резонанс қҧбылысын тҥсіндіреді
4
А графигіне сәйкес келетін элементті табады
1
В графигіне сәйкес келетін элементті табады
1
С графигіне сәйкес келетін элементті табады
1
Резонанс қҧбылысының қолданылуын
тҥсіндіреді
1
Резонанстық жиілікті есептеу формуласын
жазады
1
Жалпы балл
15
IІ-ТОҚСАН
«Электромагниттік толқындар» бөлімі бойынша жиынтық бағалау
-
Оқу мақсаттары
-
– электромагниттік толқындардың пайда болу шарттарын тҥсіндіру және олардың қасиеттерін сипаттау;
-
– жоғары жиілікті электромагниттік тербелістердің амплитудалық (АМ) және жиіліктік (FM) мен детектрленуін сипаттау;
11.5.1.4 – аналогтықпен салыстырғанда сандық форматтағы сигналды берудің артықшылықтарын тҥсіндіру;
Бағалау критерийі
Білім алушы
-
Электромагниттік толқындардың қасиеттерін сипаттайды;
-
Жоғары жиілікті электромагниттік тербелістердің детектрленуін сипаттайды;
-
Аналогтық және сандық сигналдарды ажыратады және артықшылығын тҥсінеді;
Ойлау дағдыларының деңгейлері
Білу және тҥсіну
Орындау уақыты
30 минут
-
Тапсырмалар
-
а) Ауада таралатын дыбыс және электромагниттік толқындардың толқын ҧзындығы 10 см. Екі толқынды сипаттаңыз (естіледі, естілмейді; жарық, радиотолқын және т.б.). [1]
b) Неліктен екі толқынның толқын ҧзындығы бірдей болса да, қасиеттері әртҥрлі? [1]
-
Қандай заттар электромагниттік толқындарды жақсы шағылдырады: металдар немесе диэлектриктер? Себебін тҥсіндіріңіз. [2]
-
График бір жиілікті ақпараттық сигналмен
модуляцияланған тасымалдаушы толқынның қуат спектрін кӛрсетеді.
а) Атауын кӛрсетіңіз:
1) осы радио сигналдың модуляциясының тҥрі ………………………………………….. [1] 2) 100 кГц жиілік компоненті ………………………………………………………………. [1]
-
90 кГц және 110 кГц жиіліктер компоненттері ………………………………………... [1]
-
Радиосигналдың ӛткізу қабілеттілігін кӛрсетіңіз
Ӛткізу қабілеті = кГц [1]
-
AM (амплитудалық модуляция) нені білдіретінін тҥсіндіріңіз. [1]
-
Ақпараттар аналогтық немесе сандық тҥрде берілуі мҥмкін.
а) Сҧрақтарға жауап беріңіз
-
сандық сигнал деген не? [1]
-
аналогтық берумен салыстырғанда деректерді сандық берудің екі артықшылығы. 1) ………………………………………………………………
2) ……………………………………………………………… [2]
b) Суреттегі блок-диаграмма музыканың сандық берілуін білдіреді.

Атын атаңыз:
Y деп белгіленген блоктар, ……………………………………………………………….. [1] Х деп белгіленген блок, …………………………………………………………………… [1]
(ii) Параллельді-тізбекті тҥрлендіргіштің қызметін сипаттаңыз. [1]
Жалпы балл: 15
-
Бағалау критерийі
Тапсырма
№
Дескриптор
Балл
Білім алушы
Электромагниттік толқындардың қасиеттерін сипаттайды
1
Дыбыс және электромагниттік толқындарды
сипаттайды
1
Екі толқынның қасиеттерін біледі
1
2
Электромагниттік толқынды жақсы
шағылдыратын затты біледі
1
Зарттардың толқындарды шағылдыруын
тҥсіндіреді
1
Жоғары жиілікті электромагниттік тербелістердің детектрленуін сипаттайды
3
Модуляция тҥрін анықтайды
1
100 кГц жиілікті толқын атын жазады
1
Жиіліктер компонентін сипаттайды
1
Радиосигналдың ӛткізу қабілетін анықтайды
1
4
АМ-ға сипаттама береді
1
Резонанс қҧбылысын тҥсіндіреді
5
Сандық сигналға анықтама береді
1
Сандық сигналдың екі артықшылығын атайды
1
Блок диаграммадағы Y-тің атауын жазады
1
Блок диаграммадағы Х-тің атауын жазады
1
Параллельді-тізбекті тҥрлендіргіштің
қызметін біледі
1
Жалпы балл
15
«Толқындық оптика» бөлімі бойынша жиынтық бағалау
-
Оқу мақсаттары
-
– жарық толқындарының интерференциясы және дифракциясы пайда болуын шарттарын сипаттау;
-
– дифракциялық торды толқын ҧзындығын анықтау ҥшін қолдану;
Бағалау критерийі
Білім алушы
-
Интерференция қҧбылысын сипаттайды;
-
Дифракция қҧбылысын сипаттайды;
-
Дифракциялық тор формуласын қолданады;
Ойлау дағдыларының деңгейлері
Қолдану
Орындау уақыты
25 минут
-
Тапсырмалар
-
Екі жарық кӛзінің интерференциялық жолақтарын бақылау ҥшін, кӛзге кӛрінетін жарықпен тәжірибе ӛткізілді.
а) Интерференциялық жолақты бақылау ҥшін, тапсырманы орындауға қажет екі шартты кӛрсетіңіз?
1. ..............................................................................................................
2. .............................................................................................................. [2]
b)
Лазерден шыққан, кӛзге кӛрінетін жарық қос саңылауға келіп тҥседі.
Екі саңылау аралығы 0,5 мм.-ге тең. Қос саңылаудан шыққан сәуле
2,53 м қашықтықта орналасқан экранға келіп тҥседі.
Экранда интерференциялық кӛрініс пайда болады. 2-суретте – толық масштабты кӛріністің бір бӛлігі.

2-суреттен араласқан жолақтардың арасындағы х арақашықты нақты дәлдікпен анықтауға болатындай ӛлшемдер жасаңыз:
x = мм [2]
Лазер қҧрайтын жарықтың толқын ҧзындығын есептеңіз.
жарықтың толқын ҧзындығы = м [2]
-
Екі когеренті жарық кӛзінен келіп тҥскен толқын ҧзындығы λ болатын сәулелердің жол айырымы 1,5λ-ға тең болса біз қандай интерференция бақылаймыз? [1]
-
Жарықтың толқын ҧзындығын ӛлшеу ҥшін дифракциялық тор қолданылады. Тордың саңылауларының арасындағы арақашықтығы 1,0*10-6 м. Бірінші ретті екі максимумдар арасындағы бҧрыш 600.

Жарық толқынның ҧзындығы неге тең? [3]
-
Периоды d дифракциялық торға толқын ҧзындығы λ параллель жарық сәулелері перпендикуляр тҥседі. Егер тҥскен сәуленің толқын ҧзындығын арттырсақ, онда бақыланатын дифракциялық максимумдар саны және дифракциялық сурет центрі мен бірінші дифракциялық максимум арасындағы қашықтық қалай ӛзгереді.
Әр шама ҥшін ӛзгеріс сипаттамасын анықтаңыз:
-
артады;
-
кемиді;
-
ӛзгермейді.
Кестеге сандарды сәйкес ретпен орналастырыңыз: [2]
-
Бақыланатын бас дифракциялық
максимумдар саны
Дифракциялық суреттің центрі мен бірінші
дифракциялық максимум арақашықтығы
Жалпы балл: 12
-
Бағалау критерийі
Тапсырма
№
Дескриптор
Балл
Білім алушы
Интерференция қҧбылысын сипаттайды
1 (а)
Интерференциялық жолақты бақылау ҥшін 1-
ші шартты жазады
1
Интерференциялық жолақты бақылау ҥшін 2-
ші шартты жазады
1
2
Сҧраққа дҧрыс жауап береді
1
Дифракция қҧбылысын сипаттайды
3
Бас дифракциялық максимумдар саны қалай
ӛзгеретінін сипаттайды
1
Дифракциялық суреттің центрі мен бірінші дифракциялық максимум арақашықтығының
ӛзгерісін анықтайды
1
Резонанс қҧбылысын тҥсіндіреді
1 (b)
х арақашықты нақты дәлелдікпен анықтайды
1
Мәнін мм-мен ӛрнектеп жазады
1
Толқын ҧзындығын есептеу формуласын
біледі
1
Толқын ҧзындығын анықтайды
1
3
Дифракциялық тор формуласын қолданады
1
Толқын ҧзындығын есептеу формуласын
қорытып шығарады
1
Толқын ҧзындығын анықтады және ӛлшем
бірлігін кӛрсетеді
1
Жалпы балл
12
«Геометриялық оптика» бөлімі бойынша жиынтық бағалау
-
Оқу мақсаттары
-
– шынының сыну кӛрсеткішін эксперименттік жолмен анықтау;
-
– жарық сигналдарын тасымалдауда оптоталшықты технологияның артықшылығын тҥсіндіру;
-
– телескоп, микроскоп және лупадағы сәуленің жолын салу және тҥсіндіру;
Бағалау критерийі
Білім алушы
-
Снеллиус заңын қолданады;
-
Оптоталшықтардың қолданылуын тҥсіндіреді;
-
Оптикалық қҧралдарда сәулелер жолын салады;
Ойлау дағдыларының деңгейлері
Қолдану
Жоғарғы деңгей дағдылары
Орындау уақыты
25 минут
-
Тапсырмалар
-
Эксперимент барысында жарық сәулесі ауадан шыныға ӛткен. Оқушының эксперимент нәтижесі бойынша алған суретін қолдана отырып, шынының сыну кӛрсеткішін анықтаңыз. D=3,3 см [4]

-
Су бетіне ауадан жарық сәулесі тҥседі. Судың тӛменгі қабатында шыны орналасқан. Шынының сыну кӛрсеткіші судың сыну кӛрсеткішінен жоғары екені белгілі. Қайсы суретте жарық сәулесінің жҥру жолы дҧрыс кӛрсетілгенін анықтаңыз. [2]

-
а) Оптикалық талшықты қолдану кезінде қандай қҧбылысқа негіздейді? Қҧбылысты сипаттаңыз. [2]
b) Оптикалық талшықтар ақпаратты тасымалдау ҥшін қолданылады. Оны қолданудың 2 артықшылығын және 1 кемшілігін жазыңыз.
Артықшылығы:
1. .................................................................................................
2. .................................................................................................
Кемшілігі:
1. ................................................................................................. [3]
-
Суретте алдында орналасқан нәрсе мен микроскоптың окуляры мен объективі бейнеленген.
(а) микроскоп арқылы нәрсенің кескінін қандай болуы мҥмкін. [3]
-
микроскоптағы кескін ҥлкен болу ҥшін, бірінші линзадағы кескін шамамен қай жерде шығуы қажет? [1]
-
Неліктен кескін тура немесе тӛңкерілген болуы мҥмкін. [2]
Жалпы балл: 17
-
Бағалау критерийі
Тапсырма
№
Дескриптор
Балл
Білім алушы
Снеллиус заңын қолданады
1
Сыну бҧрышын анықтау ҥшін формуланы
қолданады
1
Сыну бҧрышын есептейді
1
Снеллиус заңын қолданады
1
Сыну кӛрсеткішін анықтайды
1
2
Оптикалық тығыздықты ескере отырып,
сәулелер жолын анықтайды
2
Оптоталшықтардың қолданылуын тҥсіндіреді
3
Оптикалық талшықта іске асатын қҧбылысты
атайды
1
Оптикалық талшықта іске асатын қҧбылысты
сипаттайды
1
Оптикалық талшықты қолданудың екі
артықшылығын біледі
2
Оптикалық талшықты қолданудың бір
кемшілігін біледі
1
Резонанс қҧбылысын тҥсіндіреді
4
микроскоп арқылы нәрсенің кескінін қандай
болатынын біледі
3
микроскоптағы кескін ҥлкен болу ҥшін, бірінші линзадағы кескін шамамен қай жерде
шығуы қажет екендігін тҥсіндіреді
1
Неліктен кескін тура немесе тӛңкерілген
болуы мҥмкін екендігін дҧрыс бағалайды
2
Жалпы балл
17
IIІ-ТОҚСАН
«Атомдық және кванттық физика» бөлімі бойынша жиынтық бағалау
-
Оқу мақсаттары
-
– электромагниттік сәулеленудің корпускулярлық- толқындық табиғатын дәлелдейтін мысалдар келтіру; олардың пайда болу табиғаты мен затпен әрекеттесуіне қарай ажырату;
-
– спектрлік талдау әдісін және оның қолданылуын сипаттау;
11.7.1.4 – фотоэффектінің табиғатын тҥсіндіру және оны қолдануға мысалдар келтіру;
Бағалау критерийі
Білім алушы
-
Жарықтың табиғатын тҥсіндіреді;
-
Спектрлік анализге талдау жасай алады;
-
Фотоэффект қҧбылысын сипаттайды;
Ойлау дағдыларының деңгейлері
Қолдану
Орындау уақыты
25 минут
-
Тапсырмалар
-
Жарықтың толқындық және корпускулярлық қҧбылыстарын дәлелдейтін мысалдар келтіріңіз. [2]
-
(а) Гелий элементінің ашылуына себеп болған әдісті атаңыз. [1]
(b) Спектрдің тҥрлерін атаңыз [2]
(с) жҧтылу спектрі қалай пайда болады? [3]
-
Металдың бетін электромагниттік сәулемен сәулелендіру барысында орын алатын электр қҧбылысы, атап айтқанда электрондардың металдан ҧшып шығуы фотоэлектрондық эмиссия деп аталады.
-
Фотоэффектінің қызыл шекарасының болуы және сәуленің бӛліктеп шығуы неліктен электромагниттік сәулеленудің корпускулалық табиғатын дәлелдейтінін, ал оның ӛз кезегінде толқындық теорияға қарама-қайшы келетінін тҥсіндіріңіз. [3]
-
Жиілігі f болатын монохроматтық электромагниттік сәуле металл бетіне тҥседі. Фотоэлектрлік эмиссия теңдеуі: ℎ = ? + ½ ??2max
Келесі физикалық шамаларды ата:
(i) ℎ....................................................................................... [1]
(ii) ? ....................................................................................... [1]
(iii) ½ ??2max ......................................................................... [1]
Жалпы балл: 12
-
Бағалау критерийі
Тапсырма
№
Дескриптор
Балл
Білім алушы
Жарықтың табиғатын тҥсіндіреді
1
Жарықтың толқындық қҧбылысын
сипаттайтын мысал келтіреді
1
Жарықтың корпускулярлық қҧбылысына
мысал келтіреді
1
Спектрлік анализге талдау жасай алады
2
Гелий элементінің ашылуына себеп болған
әдісті дҧрыс атайды
1
Спектр тҥрлерін дҧрыс атайды (екі спектрге
бір балл)
2
Жҧтылу спектрінің пайда болу шарттарын
дҧрыс атап жазады
3
Фотоэффект қҧбылысын сипаттайды
3
Фотоэффект қҧбылысын біледі
1
Фотоэффектінің қызыл шекарасын тҥсінеді
1
Оның қандай теорияны дәлелдейтінін
тҥсіндіреді
1
Эмиссия теңдеуіндегі шамаларды сипаттайды
1
Жалпы балл
12
«Атом ядросының физикасы» және «Нанотехнология және наноматериалдар» бөлімдері бойынша жиынтық бағалау
-
Оқу мақсаттары
-
– табиғи радиоактивті ыдырау қҧбылысын (α, β және γ) және жартылай ыдырау периоды терминін тҥсіндіру;
-
– графикалық тәсіл арқылы жартылай ыдырау периодын анықтау;
11.7.2.5 – радиоактивті материалдарды ӛңдеуді, қолдануды, сақтауды және олармен жҧмыс кезіндегі қауіпсіздік ережелерін сипаттау;
Бағалау критерийі
Білім алушы
-
Радиоактивтілік қҧбылысын тҥсіндіреді;
-
Жартылай ыдырау периодын анықтайды;
-
Қауіпсіздік ережелерін сақтайды;
Ойлау дағдыларының деңгейлері
Қолдану
Орындау уақыты
30 минут
-
Тапсырмалар
-
(а) Радиоактивтілікті ашқан кім?
(b) Радиоактивтілік неліктен кездейсоқ?

(с) α-бӛлшек деген не?
-
β- бӛлшек деген не?
-
γ-сәуле деген не?
-
Жартылай ыдырау периоды деген не?

-
1986 жылы Чернобыль АЭС-дағы жарылыс кезінде ауаға радиоактивті заттар таралды. Бӛлінген радиоактивті заттың бірі йод-131 болатын. Йод-131-дің кейбірі сиыр сҥтіне тҥсті. Осы зақымдалған сҥттегі ҥлгінің активтілігін 4 апта ішінде әр апта сайын ӛлшеп отырды. Нәтижесі тӛменде берілген.
-
Уақыт, кҥн
0
7
14
21
21
Бенсенділігі, импульс/с
1000
547
294
162
88
а) тӛмендегі графикке берілген мәліметтер арқылы график салыңдар
[1]
[1]
[1]
[1]
[1]
[1]

ә) Алынған нҥктелерге сәйкес келетін сызық жҥргізіңіз.
б) Йод-131-дің жартылай ыдырау периодын графиктен анықтаңыз. Графикте осы шаманы қалай алғаныңызды кӛрсетіңіз.
Йод-131-дің жартылай ыдырау периоды = ....................... кҥн [5]
-
Радиоактивті материалдарды ӛңдеуді, қолдануды, сақтауды және олармен жҧмыс кезіндегі қауіпсіздік ережелерін сипаттаңыз. [4]
4.(а) Нанотехнология дегеніміз [1]
...................................................................................................................................................................
...................................................................................................................................................................
...................................................................................................................................................................
...................................................................................................................................................................
(b) Нанотехнологияның қолданыс аясын сипаттап жазыңыз. [1] Машина жасау ӛнеркәсібінде ...............................................................................................................
..................................................................................................................................................................
..................................................................................................................................................................
..................................................................................................................................................................
Жалпы балл: 17
-
Бағалау критерийі
Тапсырма
№
Дескриптор
Балл
Білім алушы
Радиоактивтілік қҧбылысын тҥсіндіреді
1
Дҧрыс жауап береді
1
Дҧрыс жауап береді
1
Дҧрыс жауап береді
1
Дҧрыс жауап береді
1
Дҧрыс жауап береді
1
Дҧрыс жауап береді
1
Жартылай ыдырау периодын анықтайды
2
Нҥктелерді графикте орналастырады
1
Нҥктелер арқылы ӛтетін сызықты жҥргізеді
1
Графиктегі мәндерді оқи алады
1
Жартылай ыдырау периодын анықтау ҥшін
сызбалар жасайды
1
Жартылай ыдырау периоды мәнін анықтайды
1
Қауіпсіздік ережелерін сақтайды
3
Радиоактивті материалдарды ӛңдеуді біледі
1
Радиоактивті материалдардың қолдануын
тҥсінеді
1
Радиоактивті материалдарды сақтау
ережелерін біледі
1
Олармен жҧмыс кезіндегі қауіпсіздік
ережелерін сипаттайды
1
Нанотехнология
4
Дҧрыс жауап береді
1
Дҧрыс жауап береді
1
Жалпы балл
17
IV-ТОҚСАН
«Космология» бөлімі бойынша жиынтық бағалау
-
Оқу мақсаттары
-
– жҧлдыздардың жырықтылығы бойынша жіктелетінін, кӛрінерлік жҧлдыздық шамамен және абсолют жҧлдыздық шамамен сипатталатынын тҥсіндіру;
-
– Жҧлдыздар эволюциясын тҥсіндіру ҥшін Герцшпрунг-Рассель диаграммасын қолдану;
-
– қара қҧрдымдар, нейтронды жҧлдыздар және аса жаңа жҧлдыздардың қасиеттерін сипаттау;
Бағалау критерийі
Білім алушы
-
Жҧлдыздардың жарықтылығын сипаттайды;
-
Герцшпрунг-Рассель диаграммасын қолданып тҥсіндіреді;
-
Әлем қҧрамын сипаттайды және Әлемнің ҧлғаюын тҥсіндіреді;
Ойлау дағдыларының деңгейлері
Білу және тҥсіну
Орындау уақыты
25 минут
-
Тапсырмалар
-
Герцшпрунг-Рассел диаграммасының жалпы ҥлгісіне сипаттама беріңіз. [3]
-
Аса жаңа жҧлдыздар және қара қҧрдымдардың қасиеттерін атаңдар. [2]
-
Микротолқынды фондық ғарыш сәулеленуі туралы тҧжырымдардың қайсысы дҧрыс? [1]
-
Фондық сәулелену 2.7°C температурада заттан/материядан шығады.
-
Фондық сәулелену қараңғы энергия болып табылады.
-
Фондық сәулелену галактикамыздағы кӛзге кӛрінбейтін суық массадан шығады.
-
Фондық сәулелену – бҧл Ҥлкен жарылыстың қалдығы.
-
-
Суретте Герцшпрунг-Рассел диаграммасы бейнеленген.

(а) тӛменде кӛрсетілген бес тҧжырымнан дҧрысын(тарын) анықтап дӛңгелектеп белгілеңіз.
-
жҧлдыздардың кӛпшілігі қызыл ергежейлілер болып келеді.
-
негізгі тізбектегі К спектріндегі жҧлдыздардың класының «ӛмірлік циклі», В спектріндегі жҧлдыздардың класының «ӛмірлік циклінен» қысқарақ болады.
-
асқын алып жҧлдыздардың орташа тығыздығы ӛте жоғары болады.
-
Денеб жҧлдызының беттік температурасы 8550 К және ол М спектрдегі жҧлдыздар класына жатады.
-
Эридан-40 жҧлдызы ақ ергежейлілерге жатады, себебі оның массасы Кҥн массасының 0,5 қҧрайды. [2]
(b) (а) тапсырмасында берілген бес тҧжырымның қателерін анықтап, неліктен қате екендігін тҥсіндіріп жазыңыз. [3]
...................................................................................................................................................................
...................................................................................................................................................................
...................................................................................................................................................................
...................................................................................................................................................................
...................................................................................................................................................................
...................................................................................................................................................................
Жалпы балл: 11
-
Бағалау критерийі
Тапсырма
№
Дескриптор
Балл
Білім алушы
Герцшпрунг-Рассель диаграммасын қолданып тҥсіндіреді
1
Герцшпрунга-Рассел диаграммасын біледі
1
Спектрлік-температуралық диаграмманы
тҥсіндіреді
1
Жҧлдыздар эволюциясын тҥсіндіреді
1
қара қҧрдымдар, нейтронды жҧлдыздар және аса жаңа жҧлдыздардың
қасиеттерін сипаттайды
2
Аса жаңа жҧлдыздарды сипаттайды
1
Қара қҧрдымдардың қасиеттерін кӛрсетеді
1
3
Микротолқынды фондық ғарыш сәулеленуі туралы тҧжырымды біледі
1
Жҧлдыздар эволюциясын тҥсіндіру ҥшін Герцшпрунг-Рассель диаграммасын
қолданады
4
Диаграммаға қатысты берілген тҧжырымды ішінен дҧрысын анықтайды
1
1
Қате тҧжырымды неліктен қате екендігіне сипаттама жазады
1
1
1
Жалпы балл
17
1-ТОҚСАННЫҢ ЖИЫНТЫҚ БАҒАЛАУ СПЕЦИФИКАЦИЯСЫ
1 - тоқсанның жиынтық бағалауына шолу
Ұзақтығы – 40 минут
Балл саны – 25 балл
Тапсырма тҥрлері:
КТБ – кӛп таңдауы бар тапсырмалар;
ҚЖ – қысқа жауапты қажет ететін тапсырмалар;
ТЖ – толық жауапты қажет ететін тапсырмалар.
Жиынтық бағалаудың құрылымы
Берілген нҧсқа кӛп таңдауы бар тапсырмаларды, қысқа және толық жауапты сҧрақтарды қамтитын 8 тапсырмадан тҧрады.
Кӛп таңдауы бар тапсырмаларға оқушылар ҧсынылған жауап нҧсқаларынан дҧрыс жауабын таңдау арқылы жауап береді.
Қысқа жауапты қажет ететін сҧрақтарға оқушылар есептелген мәні, сӛздер немесе қысқа сӛйлемдер тҥрінде жауап береді.
Толық жауапты қажет ететін сҧрақтарда оқушыдан максималды балл жинау ҥшін тапсырманың шешімін табудың әр қадамын анық кӛрсетуі талап етіледі. Оқушының математикалық тәсілдерді таңдай алу және қолдана алу қабілеті бағаланады. Тапсырма бірнеше қҧрылымдық бӛліктерден/сҧрақтардан тҧруы мҥмкін.
Тапсырма үлгілері және балл қою кестесі
«Физика» пәнінен 1-тоқсанға арналған жиынтық бағалаудың тапсырмалары
-
а) Еріксіз электромагниттік тербеліс дегеніміз не? [1]
-
Тербелмелі контур … тҧрады. [1]
-
конденсатор мен резистордан
-
конденсатор мен шамнан
-
конденсатор мен индуктивті катушкадан
-
конденсатор мен вольтметрден
-
-
a) Тербелмелі контурда резонанс қандай жағдайда пайда болады? [1]
-
сыртқы мәжбiрлеушi кернеудiң жиiлiгi меншікті жиiлiкке тең болғанда
-
сыртқы мәжбiрлеушi кернеудiң амплитудасы меншікті жиiлiкке тең болғанда
-
сыртқы мәжбiрлеушi кернеудiң фазасы меншікті жиiлiкке тең болғанда
-
сыртқы мәжбiрлеушi кернеудің периоды меншікті жиілікке тең болғанда
-
b) Резонанс қҧбылысы радиобайланыста қолданылады. Осы процесті сипаттап беріңіз. [2]
-
Катушканың индуктивтілігін 4 есе азайтса, жҥйенің меншікті жиілігі қалай ӛзгереді? [3]
-
Тӛмендегі кестеде тербелмелі контурдағы процесс кезеңдері және электромагниттік тербеліс пен механикалық тербеліс арасындағы ҧқсастық кӛрсетілген. Әр кезеңдегі энергияны есептеу формуласын жазыңыз. [3] -
Тербелмелі контурдағы ток кҥшінің уақытқа тәуелділік графигін пайдаланып, анықтаңыз:

-
Санақ басынан бастап 6 мкс уақыт ӛткенге дейін катушка энергиясы неше рет
максималды мәнге ие болды?
-
Санақ басынан бастап 6 мкс уақыт ӛткенге дейін конденсатор энергиясы неше рет максималды мәнге ие болды?
-
Ток кҥшінің уақытқа тәуелділік теңдеуін жазыңыз. [3]
-
P және Q тербелмелі жҥйе тербелісінің x орын ауыстыруының t уақытқа тәуелділік графигі берілген. Екі тербелмелі жҥйенің де массасы бірдей.
-
Екі тербелмелі жҥйе тербелісінің арасындағы фазаларының айырымын анықтаңыз.
фаза айырымы = рад [1]
-
Q тербелмелі жҥйесінің максималды ҥдеуін табыңыз.
максималды ҥдеу = м·с-2 [2]
-
Суретте айнымалы ток генераторы кӛрсетілген.
а) генератордың атаулары жазылмаған бӛліктерін анықтаңыз. [1]
b) генератордың жҧмыс істеуі қандай қҧбылысқа негізделген? [1]
с) генератордың жҧмыс істеу принципін сипаттаңыз. [2]
-
Трансформатордың орам санын анықтауға арналған экспериментті сипаттаңыз.
а) қажетті қҧрал-жабдықтарды атаңыз. [1]
-
жҧмыстың орындау тәртібін жазыңыз. [3]
Жалпы балл: 25
-
тоқсан бойынша балл қою кестесі
-
-
№
Жауабы
Балл
Қосымша
ақпарат
1
a) Ерiксiз электромагниттiк тербелiстер деп сыртқы электр қозғаушы кҥшiнiң периодты ӛзгеруiнiң салдарынан болатын тiзбектегi ток кҥшi мен кернеудiң периодты тҥрде ӛзгеруiн айтады
1
b) С
1
2
a) А
1
b) Сигналды қабылдағанда катушкада айнымалы ЭҚКпайда болады
Айнымалы сыйымдылығы бар конденсатор антенна арқылы қабылданған әртҥрлі жиіліктегі тербелістер
арасынан меншікті жиілікке тең тербелісті бӛліп алады
1
1
3
? = √ 1 формуласын қолданды
??
1
? пен ? арасындағы тәуелділікті анықтады
1
?2 = 2?1 жауабын жазды
1
4
1-кезең: ?э = ? және ?п = ??
2?2 2 2
1
Әр кезеңде бір тҥріжазылса да 1 балл қойылады
2-кезең: ? = ?? және ? = ??
м ?22 к ??22
1
3-кезең: ? = және ? =
э 2? п 2
1
5
a) 3
1
b) 4
1
c) ? = 0.005 sin ? ?2
1
6
a) ? (рад) немесе 600
3
1
b) ?0 = −?2?0
0.82 (м·с-2)
1
1
7

1
Электромагниттік индукция
1
Магнит ӛрісінде айналып тҧрған ӛткізгіштерден тҧратын орам қарапайым генератор бола алады. Магнит ӛрісі статордағы тҧрақты магниттер арасында орналастырылғаны орамдарға айнымалы ток беріледі. Орамды айнымалы ток беріп айналдырғанда тҧрақты магнит ӛрісін кесіп ӛтеді. Оның салдарынан орамда ЭҚК индукцияланады. Орам ҧштары онымен бірге айналатын сақиналармен қосылған. Егер сақиналарға қозғалмайтын щеткалар орнатып, оларды электр қабылдағышымен қоссақ, онда орам, сақина, щетка, энергия қабылдағышынан тҧратын тҧйықталған
тізбектен ЭҚК әсерінен ток жҥреді.
1
1
8
(a) орам сандары белгілі шарғы, ӛзекше, екі вольтметр,
ӛткізгіш сымдар;
1
(b) орам сандары белгісіз трансформаторды орам саны белгілі шарғыға ӛткізгіш сымдар арқылы қосамыз, орам сандары белгісіз трансформаторға бір вольтметрді жалғаймыз, ал екінші вольтметр орам саны белгілі шарғыға қосылады, ?1 = ?1 теңдеуі
?2 ?2
арқылы белгісіз орам санын анықтаймыз
1
1
1
Жалпы балл
25
-
![]()
І1-ТОҚСАННЫҢ ЖИЫНТЫҚ БАҒАЛАУ СПЕЦИФИКАЦИЯСЫ
2 - тоқсанның жиынтық бағалауына шолу
Ұзақтығы – 40 минут
Балл саны – 25 балл
Тапсырма тҥрлері:
КТБ – кӛп таңдауы бар тапсырмалар;
ҚЖ – қысқа жауапты қажет ететін тапсырмалар;
ТЖ – толық жауапты қажет ететін тапсырмалар.
Жиынтық бағалаудың құрылымы
Берілген нҧсқа кӛп таңдауы бар тапсырмаларды, қысқа және толық жауапты сҧрақтарды қамтитын 10 тапсырмадан тҧрады.
Кӛп таңдауы бар тапсырмаларға оқушылар ҧсынылған жауап нҧсқаларынан дҧрыс жауабын таңдау арқылы жауап береді.
Қысқа жауапты қажет ететін сҧрақтарға оқушылар есептелген мәні, сӛздер немесе қысқа сӛйлемдер тҥрінде жауап береді.
Толық жауапты қажет ететін сҧрақтарда оқушыдан максималды балл жинау ҥшін тапсырманың шешімін табудың әр қадамын анық кӛрсетуі талап етіледі. Оқушының математикалық тәсілдерді таңдай алу және қолдана алу қабілеті бағаланады. Тапсырма бірнеше қҧрылымдық бӛліктерден/сҧрақтардан тҧруы мҥмкін.
Тапсырма үлгілері және балл қою кестесі
«Физика» пәнінен 2-тоқсанға арналған жиынтық бағалаудың тапсырмалары
-
Максвелл теориясына сәйкес электромагниттік толқын кӛзі болып табылатыны: [1]
-
тек электронның тҥзу бойымен бірқалыпты қозғалысы кезінде
-
тек зарядтың гармониялық тербелісі кезінде
-
тек зарядтың бірқалыпты шеңбер бойымен қозғалысы кезінде
-
зарядтың кез келген бір қалыпты емес қозғалысы кезінде
-
-
Электрмагниттік толқындарды пайдаланудағы дҧрыс сәйкестікті таңдаңыз. [1]
-
-
1. Радиотолқындар
a. Объектілерді анықтау
2. Радиолокациялық толқындар
b. Медицина
3. Инфрақызыл толқындар
c. Дезинфекция
4. Ультракҥлгін сәулелер
d. Ракты емдеу
5. Рентген сәулелері
e. Байланыс
6. Гамма сәулелер
f. Фото, физиотерапия
-
A) 1a, 2b, 3c, 4f, 5d, 6e
B) 1b, 2d, 3f, 4a, 5c, 6e
C) 1c, 2a, 3d, 4f, 5e, 6b
D) 1e, 2a, 3f, 4c, 5b, 6d
-
Экранға екі саңылаудан жарық тҥскенде интерференциялық кӛрініс бақыланады. Экранға екі шамнан жарық тҥскенде интерференциялық кӛрініс бақыланбайды. Неліктен? [1]
-
Шамдар әр тҥрлі амплитудаларда жарық шығарады
-
Шамдар когерентті емес жарық шығарады
-
Екі шамның жарығының жиіліктері бірдей
-
Екі шамның жарығы ӛте жарық
-
-
Телеқабылдағыштар жер серіктен сигнал қабылдайды.
а) Жер серіктен электромагниттік сәулеленудің қай тҥрін қабылдайды? [1]
-
Модуляцияланған сигналды биік ғимараттарда немесе мҧнараларда орналасқан ҥлкен антенналар арқылы жібереді. Кӛп жағдайда сигнал жіберуші мен оны қабылдаушының арасына бірнеше ретрансляторлар қолданылады.
-
Неліктен антенналар биік ғимараттар мен мҧнараларға орналастырылады? [1]
-
Неліктен ретранслятор қажет? [1]
-
-
Суретте оптикалық талшық арқылы оның R ҧшына
дейін ӛтетін PQR жарық сәулесі кӛрсетілген.
-
Неліктен PQ сәулесі оптикалық талшықтан Q нҥктесінде шығып кетпейтінінтҥсіндіріңіз
[1]
-
Телефон байланысында қолданылатын оптикалық талшықтың мыс ӛткізгішпен салыстырғандағы бір артықшылығын жазыңыз. [1]
-
S1 және S2 толқын кӛздері толқын ҧзындығы 5,0 см болатын микротолқындарды шығарады.
-
Екі толқынның жол айырымын анықтаңыз? [1]
-
О нҥктесінде қандай интерференция байқалады? [1]
-
Суретте микроскоптың ішкі қҧрлысы мен АВ денесі берілген.
АВ денесінің микроскоп арқылы қарағандағы ҧлғайған кескінінің сәулелер жҥрісін салу арқылы алыңыз. [3]
-
Полярлық орбитада жер серіктері жердің полюстерін айналады. Геостационарлық жерсеріктер экваторлық орбиталарда болады. Екеуі де байланыс арналарының бӛлігі ретінде қолданылады.
а) Геостационарлық спутникпен салыстырғанда полярлық орбиталық спутникті пайдаланудың бір артықшылығы мен бір кемшілігі: [2]
артықшылығы: ………………………………………………………………
кемшілігі: ………………………………………………………………........
-
Гигагерц (ГГц) диапазонындағы жиіліктің спутниктік байланыста қолданылуының екі себебін кӛрсетіңіз. [2]
1. ………………………………………………………………………….……
2. ……………………………………………………………….…………........
-
Белгілі бір спутниктік байланыс жҥйесінде жерден спутникке (жоғары байланыс) берілетін сигналдың жиілігі 6 ГГц қҧрайды. Жерден спутниктен кері қайтарылатын сигналдың жиілігі (тӛмен сілтеме) 4 ГГц қҧрайды. Неліктен екі сигнал әртҥрлі жиілікте берілетінін тҥсіндіріңіз.
[2]
-
Лазер толқын ҧзындығы 632 нм-ге тең когерентті жарықты шығарады. Ол суретте кӛрсетігендей дифракциялық тордан ӛткен соң, экранда интерференциялық кӛрініс алынады.

Дифракциялық тордан экранға дейінгі қашықтық 165 см-ге тең. Р нҥктесінде ең жарық максимум орналасқан, оған ең жақын екі максимум Х және Y нҥктелерінде алынды. Х пенY- тің арасы 76 см. Дифракциялық тордың бір метріндегі штрихтар санын анықтаңыз. [3]
-
Кӛк тҥсті жарық тіктӛртбҧрышты шыны блоктың ішіне кіші жақтарының бірінде орналасқан Х нҥктесінде кіреді. Жарық шыны арқылы ӛтіп, блоктың ҥлкен жағына тҥседі. Суретте ауадағы тҥскен сәуле және шыныдағы сынған сәуле кӛрсетілген.

Тек қана сызғышты пайдалана отырып, шынының сыну кӛрсеткішін анықтаңыз. [3]
Жалпы балл: 25
-
тоқсан бойынша балл қою кестесі
-
ТОҚСАННЫҢ ЖИЫНТЫҚ БАҒАЛАУ СПЕЦИФИКАЦИЯСЫ
|
№ |
Жауабы |
Балл |
Қосымша ақпарат |
|
1 |
С |
1 |
|
|
2 |
D |
1 |
|
|
3 |
В |
1 |
|
|
4 |
а) микротолқындар ә) (і) сигналдар ғимараттар мен денелерде жҧтылады (іі) сигналдарды кҥшейтіп қайтадан жібереді |
1 |
|
|
1 |
|||
|
1 |
|||
|
5 |
а) толық ішкі шағылу қҧбылысы ә) ақпараттың сапасы жоғары / кӛбірек ақпарат тасымалдайды |
1 1 |
|
|
6 |
а) 50 см-40 см=10 см ә) максималды интерференция / жол айырмасы екі толқынға тең |
1 1 |
|
|
7 |
|
1 |
|
|
1 |
|||
|
1 |
|||
|
8 |
A. артықшылығы: бақылау аумағы ҥлкен |
1 |
|
|
кемшілігі: ҥздіксіз ақпарат алып отыру ҥшін |
1 |
|
|
|
бірнеше серікті бақылау керек |
|
|
|
|
B.ионосферадан аз шағылады / мақсатты |
2 |
кез келген 2 дҧрыс |
|
|
ақпаратты жеткізу қабілеті жоғары |
|
жауап қабылданады |
|
|
C.кедергі бар / сигнал жҧтылады / тӛменгі жиілікті |
2 |
кез келген 2 дҧрыс |
|
|
сигнал таратылады |
|
жауап қабылданады |
|
|
9 |
??? = 38 немесе ? = 130 165 ? sin ? = ??; ? =5 2.82 ∙ 10−61 ? = ? = 3.6 ∙ 10 |
1 |
|
|
1 |
|||
|
1 |
|||
|
10 |
A. Х нҥктесінен тҥсу және сыну сәулелерінде |
1 |
|
|
бірдей қашықтықтарды ӛлшеп алып, осы |
1 |
||
|
нҥктелерден перпендикуляр оське проекция |
|
||
|
тҥсіреміз, пайда болған ҥшбҧрыштарды |
1 |
||
|
пайдалана отырып, сыну кӛрсеткішін табамыз |
|
||
|
(? = ????) |
|
||
|
???? |
|
||
|
Жалпы балл: |
25 |
|
|
-
- тоқсанның жиынтық бағалауына шолу
Ұзақтығы – 40 минут
Балл саны – 25 балл
Тапсырма тҥрлері:
КТБ – кӛп таңдауы бар тапсырмалар;
ҚЖ – қысқа жауапты қажет ететін тапсырмалар;
ТЖ – толық жауапты қажет ететін тапсырмалар.
Жиынтық бағалаудың құрылымы
Берілген нҧсқа кӛп таңдауы бар тапсырмаларды, қысқа және толық жауапты сҧрақтарды қамтитын 10 тапсырмадан тҧрады.
Кӛп таңдауы бар тапсырмаларға оқушылар ҧсынылған жауап нҧсқаларынан дҧрыс жауабын таңдау арқылы жауап береді.
Қысқа жауапты қажет ететін сҧрақтарға оқушылар есептелген мәні, сӛздер немесе қысқа сӛйлемдер тҥрінде жауап береді.
Толық жауапты қажет ететін сҧрақтарда оқушыдан максималды балл жинау ҥшін тапсырманың шешімін табудың әр қадамын анық кӛрсетуі талап етіледі. Оқушының математикалық тәсілдерді таңдай алу және қолдана алу қабілеті бағаланады. Тапсырма бірнеше қҧрылымдық бӛліктерден/сҧрақтардан тҧруы мҥмкін.
Тапсырма үлгілері және балл қою кестесі
«Физика» пәнінен 3-тоқсанға арналған жиынтық бағалаудың тапсырмалары
-
Адам денесіне келіп тҥскен инфрақызыл сәуленің қандай әсері болады? [1]
-
терінің қызаруын туғызады
-
теріні қыздырады
-
теріге келген сәулені толық шағылдырады
-
жҧмсақ тері арқылы ӛтіп кетеді
-
-
Тӛмендегі электромагниттік толқындарды жиіліктің ӛсу ретімен орналастырыңыз: [1]
ультракҥлгін рентген сәулелері инфрақызыл микротолқын радиотолқын гамма сәулесі
-
Ақ жарық салқын газ арқылы ӛткенде оның спектрінде қара жолақтар пайда болады.
а) не себепті спектрде белгілі бір толқын ҧзындықтарында қара жолақтар пайда болатынын тҥсіндіріңіз. [3]
b) газ атомдарындағы электронның энергетикалық деңгейлері туралы нені білдіреді? [1]
-
Компьютерлік томография мен МРТ-ның ҧқсастығы мен МРТ-ның артықшылығын кӛрсетіңіз.
Ҧқсастығы ...................................................................................................................... [1]
Артықшылығы ............................................................................................................... [1]
-
a) Суретте қандай фотоэлемент кескінделген?
b) Қандай да бір зат ҥшін толқын ҧзындығы 450 нм-ден артқан кезде фотоэффект қҧбылысы орындалмайды. Осы заттың фотоэлектрондарының шығу жҧмысын анықтаңыз (МэВ-пен). [3]
-
Оқушы радиоактивті кӛзден шыққан сәулеленудің ӛтімділік қабілетін зерттеді.

Кестеде оның нәтижелері берілген.
-
Қоршаған ортадағы табиғи радиациялық фон
минутына 25 импульс
Тек радиациялық кӛздің импульстар саны
минутына 630 импульс
Радиациялық кӛздің және қағаз жҧтушының импульстар саны
минутына 630 импульс
Радиоактивті кӛз қандай сәулелерді шығарады? [2]
-
Ядролық реактор дегеніміз не? Оның негізгі бӛліктерін атаңыз. [2]
-
Радиоизотоптық ӛрт хабарлағыштарда америций-241 қолданылады. Ыдырау кезінде америций-241 альфа-бӛлшектерін бӛліп шығарады.
-
Альфа-сәулеленудің бір зиянды әсерін кӛрсетіңіз. [1]
-
Суретті қолданып, америций-241-дің жартылай
ыдырау периодын анықтаңыз жәнe қалай анықтағаныңызды графикте кӛрсетіңіз. [2]
-
а) Ядролық ыдырау және синтез процесі кезінде жаңа ядролар пайда болады. Қай теңдеу ыдырауға, қай теңдеу синтезге сәйкес келеді?
(і) ![]()
(іі)
[1]
-
осы реакцияларды қай жерде байқауға болады? Мысал келтіріңіз. [2]
-
Нанотҥтікшелер ҧзындықтарына байланысты мыңнан миллионға дейінгі кӛміртегі атомдарынан тҧрады. Ӛздерінің қҧрылымдарына байланысты олар мыс сияқты электр тоғын толықтай ӛткізетін және кремний сияқты жартылай ӛткізетін де бола алады. Нанотҥтікшелердің қолданылуына 2 мысал келтіріңіз. [2]
Жалпы балл: 25
3-тоқсан бойынша балл қою кестесі
-
№
Жауабы
Балл
Қосымша ақпарат
1
В
1
2
Радиотолқын
1
Егер ҥш жауап
Микротолқын
дҧрыс болса 1
Инфрақызыл
1
Ультракҥлгін
Рентген сәулелері
Гамма сәулелері
3
А. ыстық кҥйінде кез келген дене жарық шығарады ыстық газдар нақты толқын ҧзындығына сәйкес
сызықтық спектр шығарады салқын газдар сол спектрді жҧтады
1
1
1
В. электрон тӛменгі орбитадан жоғарғы орбитаға ӛтетіндігін
1
4
Ұқсастығы: диагоноз қояды / диагностика жасайды
1
Кез келген дҧрыс
Артықшылығы: рентген және гамма сәулелерін
1
жауап
қолданбайды / дәлдігі жоғары
қабылданады
5
А. вакуумдық
В. ? = ℎ?
? шығу ?М??э?В
шығу = 829
1
Мәні мен ӛлшем бірлігі
1
2
6
Бета – бӛлшек және
1
Гамма сәулесі
1
7
Ядролық
реактор
–
ядросы
бӛлінуінің
1
басқарылатын тізбекті реакциясын жҥзеге асыратын
қҧрылғы
Оның негізгі бөліктеріне: ядролық отын
1
Кез келген екеуін
(мысалы, уран не плутоний) баяулатқыш,
атаса
1
балл
шағылдырғыш, суытқыш), бақылау және ӛлшеу
қойылады
приборлары жатады.
8
А. клеткаларды зақымдайды / мутацияға ҧшыратады / ДНК-ны зақымдайды
В. 420-440 жыл
графикте нақты белгілеп кӛрсеткен
1
Кез келген дҧрыс
жауап
1
қабылданады
1
9
Ыдырау
1
Синтез
Ядролық реактор, атом бомбасы,
1
Жҧлдыздардағы термоядролық реакция, сутек
1
бомбасы
10
Биологиялық жҥйелерде/композиттерде кӛміртекті нанотҥтікшелер/фуллерендер жасалады
1
1
Кез келген дҧрыс жауап
қабылданады
Жалпы балл:
25
-
ТОҚСАННЫҢ ЖИЫНТЫҚ БАҒАЛАУ СПЕЦИФИКАЦИЯСЫ
-
- тоқсанның жиынтық бағалауына шолу
Ұзақтығы – 40 минут
Балл саны – 25 балл
Тапсырма тҥрлері:
КТБ – кӛп таңдауы бар тапсырмалар;
ҚЖ – қысқа жауапты қажет ететін тапсырмалар;
ТЖ – толық жауапты қажет ететін тапсырмалар.
Жиынтық бағалаудың құрылымы
Берілген нҧсқа кӛп таңдауы бар тапсырмаларды, қысқа және толық жауапты сҧрақтарды қамтитын 6 тапсырмадан тҧрады.
Кӛп таңдауы бар тапсырмаларға оқушылар ҧсынылған жауап нҧсқаларынан дҧрыс жауабын таңдау арқылы жауап береді.
Қысқа жауапты қажет ететін сҧрақтарға оқушылар есептелген мәні, сӛздер немесе қысқа сӛйлемдер тҥрінде жауап береді.
Толық жауапты қажет ететін сҧрақтарда оқушыдан максималды балл жинау ҥшін тапсырманың шешімін табудың әр қадамын анық кӛрсетуі талап етіледі. Оқушының математикалық тәсілдерді таңдай алу және қолдана алу қабілеті бағаланады. Тапсырма бірнеше қҧрылымдық бӛліктерден/сҧрақтардан тҧруы мҥмкін.
Тапсырма үлгілері және балл қою кестесі
«Физика» пәнінен 4-тоқсанға арналған жиынтық бағалаудың тапсырмалары
-
Герцшпрунг-Рассел диаграммасының басты тізбегінде жҧлдыздардың қай типі кӛрсетілген?
-
ӛмірінің соңындағы жҧлдыздар
-
негізінен кӛміртегін жағатын жҧлдыздар
-
негізінен сутегін жағатын жҧлдыздар
-
массасы ең ҥлкен жҧлдыздар [1]
-
-
Біздің Кҥн G класының жҧлдызы болып табылады. Бетінің температурасы ең жоғары болатын жҧлдыздар қандай спектрлік класқа жатады? [1]
-
F класына
-
K класына
-
M класына
-
O класына
-
-
Суретте Герцшпрунг-Расселл диаграммасының кескіні кӛрсетілген.
«Ақ ергежейлілер» диаграмманың қай бӛлігінде кӛрсетілген? Кҥннің
орналасқан орнын анықтаңыз және Кҥн деп жазып қойыңыз. [2]
-
a) Жҧлдыздар эволюциясын сипаттауда ақ ергежейлілер деген нені білдіреді? [1]
-
Парсек терминіне анықтама беріңіз. [2]
-
Антарес – қызыл алып және ол тҥнгі аспандағы ең жарық жҧлдыздардың бірі. Оның параллаксты 0,0059 бҧрыштық секундқа тең. Антарестің бізден қашықтығын жарық жылымен анықтаңыз. 1 пк = 3,26 ж.ж. [3]
-
Кҥн орналасқан галактикада жҥз миллиардтан астам басқа жҧлдыздар бар. Әлемнің кӛрінетін бӛлігінде кем дегенде екі жҥз миллиард басқа галактикалар бар.
-
Кҥн орналасқан галактиканың атауын жазыңыз. [1]
-
Тҥнгі аспанды зерттеу ҥшін телескоп пайдаланғанда, жҧлдыздар да, тҧмандықтар да кӛрінеді.
(і) Тҧмандықтардың сырт кӛрінісі жҧлдыздардан қалай ерекшеленетінін кӛрсетіңіз. [2]
(іі) XX ғасырдың басында екі астроном Кѐртис және Шепли арасындатҧмандықтардың табиғаты туралы пікірталас болды. Осы екі астрономның кӛзқарастары қалай
ерекшеленетінін сипаттаңыз. [3]
-
Хаббл бақылаулары Кѐртис пен Шеплидің пікірталасын қалай шешкенін тҥсіндіріңіз. [2]
-
Ҥлкен жарылыс теориясының бір дәлелін атаңыз. [1]
-
a) Алыс жатқан галактиканың алыстау жылдамдығы галактиканың
арақашықтығына тәуелді екендігін кӛрсететін графикті координат осьтерінде кӛрсетіңіз. [1]
-
Алыс жатқан галактиканың алыстау жылдамдығы галактиканың арақашықтығына тәуелді графигінен Хаббл тҧрақтысының мәнін қалай анықтауға болатынын кӛрсетіңіз. [1]
-
Астроном Жерден 6,8*1023 м қашықтықта орналасқан галактиканың алыстаужылдамдығын есептейді. Ол жылдамдық 1,5*106 м/с. Осы мәндерді пайдаланып Хаббл тҧрақтысын анықтаңыз.
Хаббл тҧрақтысы = с–1 [2]
-
Хаббл тҧрақтысын қолданып, Әлемнің жасын есептеңіз.
Әлемнің жасы = с [2]
Жалпы балл: 25
4-тоқсан бойынша балл қою кестесі
-
№
Жауабы
Балл
Қосымша ақпарат
1
С
1
2
D
1
3
D – ақ ергежейлілер
С жолағынын бойында (ортадан тӛмен) Кҥн деген жазу
1
1
4
A. Ядро / «жҧлдыз», жанып біткен қызыл алыптың
1
эквивалентті
ӛнімі
фразалар
B. арақашықтық (ӛлшеу бірлігі)
1
қабылданады
затқа дейін 1 бҧрыштық секунд шамасындағы
1
жылдық параллакспен (бҧрыштың жартысы)
немесе
Жер орбитасының радиусы 1 бҧрыштық секунд
шамасындағы бҧрышты топтайды/ жылдық
параллакс 1 секундқа тең денеге дейінгі
қашықтық
C. параллакс = 1/d) d = 0.0059-1
1
қашықтық = 0.0059-1 3.26
1
қашықтық = 550 жж
1
5
-
Қҧс жолы
-
(і) анық емесе / кӛмескі / шашыраңқы қҧбылыс (жҧлдыздар – бҧл айқын фокусталған жарық нҥктелері)
(іі) Тҧмандықтар галактикада немесе одан тыс (орналаса ма)
(Тҧмандықтар) басқа галактикалар немесе газды бҧлттар бола ма
(тек қана) бір галактика немесе (бір ғана емес) бар ма
-
Цефеида айнымалылардың арақашықтық мәндерін анықтады
Қҧс жолынан тым алыс орналасқан
-
Ғарыштық микротолқынды фондық сәулелену
1
1 баллға
1
бағаланады
Тҧмандықтар бӛлек
галактикалар болды,
1
Қҧс жолынан тыс
орналасқан
1
Тҧмандықтар Қҧс
1
жолының бір бӛлігі
1
1
1
6
A. оң еңістің тҥзу сызығы және координаталар
2
басы арқылы ӛтеді
B. (сандық) градиентке тең / сәйкесінше
1
сандардың бӛлінуі
C. Хаббл тҧрақтысы: H = v/d
1
Немесе
1.5 × 106/6.8 × 1023
2.2 × 10–18 (с–1)
1
D. t=1/H
1
4.5 × 1017 (с)
1
Жалпы балл:
25
-
ҚОРЫТЫНДЫ
Бҧл оқу – әдістемелік жинақ 11- сынып білім алушыларының «Физика» пәні бойынша жиынтық бағалауды жоспарлау, ҧйымдастыру және ӛткізуге кӛмекші қҧрал ретінде қҧрастырылған. Тапсырмалары әр бӛлімнің оқу мақсаттарына сәйкестендіріліп, оқушылардың жас ерекшеліктері ескеріліп, 20-
25 минутта ӛз беттерінше орындауға есептеліп жасалған. Бӛлімнің ортақ тақырып бойынша жиынтық бағалаудың тапсырмалары мҧғалімге білім алушылардың тоқсан бойынша жоспарланған оқу мақсаттарына жетудеңгейін анықтауға мҥмкіндік береді. Әдістемелік ҧсыныстарда бӛлім ортақ тақырып бойынша жиынтық бағалауды ӛткізуге арналған бағалау критерийлері мен дескрипторлары бар тапсырмалар енгізілген. Сондай-ақ жинақта білім алушылардың оқу жетістіктерінің мҥмкін деңгейлері сипатталған. Дескрипторлары мен балдары бар тапсырмалар ҧсыныс тҥрінде берілген. Әдістемелік ҧсыныстарды дайындау барысында ресми интернет – сайттағы қолжетімді ресурстар (суреттер, фотосуреттер, мәтіндер, аудио және бейнематериалдар) қолданылды. Қорыта айтқанда, бҧл әістемелік қҧралда жинақталған тапсырмалар оқушының алған білімін тексеруге және оқушы ӛз біліміне талдау жасауына мҥмкіндік береді. Әр тоқсандағы жиынтық бағалау тапсырмалары оқушының жас ерекшеліктері ескерілген. Бҧл жинақ мҧғалімдер ҥшін тапсырманы жоспарлау ҥшін оқушылармен тығыз байланыс қҧруда пайдалы қҧрал болады деп кҥтіледі.
ПАЙДАЛАНЫЛҒАН ӘДЕБИЕТТЕР
-
Жалпы орта білім беру деңгейінің жаратылыстану-математикалық бағытындағы 10-11 сыныптары ҥшін «Физика» пәнінен жаңартылған мазмҧндағы ҥлгілік оқу бағдарламасы. Ы.Алтынсарин атындағы ҦБА, 2017 ж.
-
Волькенштейн В.С. Сборник задач по общему курсу физики – М.: Наука. Главная редакция физико-математической литературы, 1976. – 464с.
-
Физика: жалпы білім беретін мектептің 11-сыныбының жаратылыстану- математикалық бағытына арналған оқулық./ Н.А. Закирова, Р.Р. Аширов. – Нҧр- Сҧлтан: «Арман - ПВ» баспасы, 2020 ж.
-
Рымкевич А.П. Сборник задач по физике. – М.: Просвещение, 1984.
-
Мякишев Г. Я., Буховцев Б.Б. Физика: Орта мектептің 11-сыныбына арналған оқулық, Алматы, Рауан, 1997 ж
-
Физика: жалпы білім беретін мектептің 11-сыныбының жаратылыстану- математикалық бағытына арналған оқулық. Н.А.Закирова, Р.Р.Аширов.− Нҧр-Сҧлтан:
«Арман-ПВ» баспасы, 2020 ж.
-
«Физика» пәнінен тоқсандық жиынтық бағалаудың спецификациясы жаратылыстану- математика бағыты. 11-сынып. Нҧр-Сҧлтан. 2020 ж.
-
https://easyfizika.ru сайты
жүктеу мүмкіндігіне ие боласыз
Бұл материал сайт қолданушысы жариялаған. Материалдың ішінде жазылған барлық ақпаратқа жауапкершілікті жариялаған қолданушы жауап береді. Ұстаз тілегі тек ақпаратты таратуға қолдау көрсетеді. Егер материал сіздің авторлық құқығыңызды бұзған болса немесе басқа да себептермен сайттан өшіру керек деп ойласаңыз осында жазыңыз
ТЖБ БЖБ Физика пәніне арналған жиынтық бағалау тапсырмаларының жинағы 11 сынып
ЖАМБЫЛ ОБЛЫСЫ ӘКІМДІГІНІҢ БІЛІМ БАСҚАРМАСЫНЫҢ ОҚУ-ӘДІСТЕМЕЛІК КАБИНЕТІ
Физика пәніне арналған жиынтық бағалау тапсырмаларының жинағы
11 сынып
(жаратылыстану-математика бағыты мен қоғамдық-гуманитарлық бағыт)
1

Тараз, 2021 ж.
ӘОЖ 53
КБЖ 22.3 Ф49
Жамбыл облысы әкімдігінің білім басқармасы оқу-әдістемелік кабинетінің Әдістемелік кеңесінің шешімімен баспаға ҧсынылды. (хаттама №5, 24.12.2021 жыл)
Пікір жазғандар:
Е. Ерубаев-М.Х. Дулати атындағы ТарӚУ Ақпараттық технология факультеті «Техникалық физика» кафедрасының оқытушысы; қауымдастырылған профессоры;
Н.Сҥйкимбаева- М.Х. Дулати атындағы ТарӚУ Ақпараттық технология факультеті
«Техникалық физика» кафедрасының оқытушысы;
Авторлары: З.Ш. Есенбаева, Л.Б. Жорыкбаева, Д.Д. Парменкулова, Н.А. Татибеков.
Ф49 ФИЗИКА. «ЖИЫНТЫҚ БАҒАЛАУ ТАПСЫРМАЛАРЫНЫҢ ЖИНАҒЫ» жалпы білім
беретін мектептің 11-сынып мҧғалімдеріне арналған. Тараз қ., 2021 ж. -102 бет
ISBN 978-601-8940-35-03
Әдістемелік жинақ, мҧғалімге 11-сынып білім алушының «Физика» пәні бойынша жиынтық бағалауды жоспарлау, ҧйымдастыру және ӛткізуге кӛмек қҧралы ретінде қҧрастырылған. Әдістемелік жинақ «Физика» пәні бойынша ҧзақ мерзімді оқу бағдарламасы негізінде дайындалған.
Бӛлім/ортақ тақырып бойынша жиынтық бағалаудың тапсырмалары мҧғалімге білім алушылардың тоқсан бойынша жоспарланған оқу мақсаттарына жету деңгейін анықтауға мҥмкіндік береді.
Әдістемелік жинақта бӛлім/ортақ тақырып бойынша жиынтық бағалауды ӛткізуге арналған бағалау критерийлері мен дескрипторлары бар тапсырмалар ҧсынылған. Сондай-ақ жинақта білім алушылардың оқу жетістіктерінің мҥмкін деңгейлері сипатталған. Дескрипторлары мен баллдары бар тапсырмалар ҧсыныс тҥрінде берілген.
Әдістемелік жинақ негізгі орта білім беру мектебі мҧғалімдеріне, мектеп әкімшілігіне, білім беру бӛлімінің әдіскерлеріне, критериалды бағалау бойынша мектеп, ӛңірлік ҥйлестірушілеріне және басқа да мҥдделі тҧлғаларға арналған.
Әдістемелік жинақты дайындау барысында ресми интернет-сайттағы қол жетімді ресурстар (суреттер, фотосуреттер, мәтіндер, аудио және бейнематериалдар) қолданылды.
ӘОЖ 53
КБЖ 22.3
Ф49
ISBN 978-601-8940-35-03
© Жамбыл облысы білім басқармасының
оқу - әдістемелік кабинеті
2

© З.Ш. Есенбаева, Л.Б. Жорыкбаева, Д.Д. Парменкулова, Н.А. Татибеков.
МАЗМҰНЫ
КІРІСПЕ 5
ЖАРАТЫЛЫСТАНУ-МАТЕМАТИКАЛЫҚ БАҒЫТ
І ТОҚСАН БОЙЫНША ЖИЫНТЫҚ БАҒАЛАУҒА АРНАЛҒАН ТАПСЫРМАЛАР
«Механикалық тербелістер» бӛлімі бойынша жиынтық бағалау 6
«Электромагниттік тербелістер» бӛлімі бойынша жиынтық бағалау 9
«Айнымалы ток» бӛлімі бойынша жиынтық бағалау 12
ІІ ТОҚСАН БОЙЫНША ЖИЫНТЫҚ БАҒАЛАУҒА АРНАЛҒАН ТАПСЫРМАЛАР
«Толқындық қозғалыс» бӛлімі бойынша жиынтық бағалау 15
«Электромагниттік толқындар» бӛлімі бойынша жиынтық бағалау 19
«Толқындық оптика» бӛлімі бойынша жиынтық бағалау 22
ІІІ ТОҚСАН БОЙЫНША ЖИЫНТЫҚ БАҒАЛАУҒА АРНАЛҒАН ТАПСЫРМАЛАР
«Геометриялық оптика» бӛлімі бойынша жиынтық бағалау 25
«Салыстырмалы теорияның элементтері» бӛлімі бойынша жиынтық бағалау 28
«Атомдық және кванттық физика» бӛлімі бойынша жиынтық бағалау 30
ІV ТОҚСАН БОЙЫНША ЖИЫНТЫҚ БАҒАЛАУҒА АРНАЛҒАН ТАПСЫРМАЛАР
«Нанотехнология және наноматериалдар» бӛлімі бойынша жиынтық бағалау 33
«Космология» бӛлімі бойынша жиынтық бағалау 35
ТОҚСАН БОЙЫНША ЖИЫНТЫҚ БАҒАЛАУҒА ТАПСЫРМАЛАРЫ
-
тоқсан бойынша жиынтық бағалауға арналған тапсырмалар. 38
-
тоқсан бойынша жиынтық бағалауға арналған тапсырмалар. 43
-
тоқсан бойынша жиынтық бағалауға арналған тапсырмалар. 48
-
тоқсан бойынша жиынтық бағалауға арналған тапсырмалар. 54
МАЗМҰНЫ
ҚОҒАМДЫҚ-ГУМАНИТАРЛЫҚ БАҒЫТ
І ТОҚСАН БОЙЫНША ЖИЫНТЫҚ БАҒАЛАУҒА АРНАЛҒАН ТАПСЫРМАЛАР
«Механикалық тербелістер» және «Электромагниттік тербелістер» бӛлімдері бойынша жиынтық бағалау 60
«Айнымалы ток» бӛлімі бойынша жиынтық бағалау 63
ІІ ТОҚСАН БОЙЫНША ЖИЫНТЫҚ БАҒАЛАУҒА АРНАЛҒАН ТАПСЫРМАЛАР
«Электромагниттік толқындар» бӛлімі бойынша жиынтық бағалау 66
«Толқындық оптика» бӛлімі бойынша жиынтық бағалау 69
«Геометриялық оптика» бӛлімі бойынша жиынтық бағалау 72
ІІІ ТОҚСАН БОЙЫНША ЖИЫНТЫҚ БАҒАЛАУҒА АРНАЛҒАН ТАПСЫРМАЛАР
«Атомдық және кванттық физика» бӛлімі бойынша жиынтық бағалау 75
«Атом ядросының физикасы» және «Нанотехнология және наноматериалдар» бӛлімдері бойынша жиынтық бағалау 77
ІV ТОҚСАН БОЙЫНША ЖИЫНТЫҚ БАҒАЛАУҒА АРНАЛҒАН ТАПСЫРМАЛАР
«Космология» бӛлімі бойынша жиынтық бағалау 80
ТОҚСАН БОЙЫНША ЖИЫНТЫҚ БАҒАЛАУҒА ТАПСЫРМАЛАРЫ
-
тоқсан бойынша жиынтық бағалауға арналған тапсырмалар. 83
-
тоқсан бойынша жиынтық бағалауға арналған тапсырмалар. 88
-
тоқсан бойынша жиынтық бағалауға арналған тапсырмалар. 93
-
тоқсан бойынша жиынтық бағалауға арналған тапсырмалар. 97
Қорытынды 101
Пайдаланылған әдебиеттер 102
Кіріспе
Ҧсынылып отырған материал жоғарғы сынып оқушыларының танымдық қажеттіліктерін қанағаттандыруға мҥмкіндік жасаумен қатар, әлемнің қазіргі кӛрінісі туралы тҥсініктерінің кеңеюіне септігін тигізеді.
Қазіргі кезде мектептерді дамыту бағыттарының бірі – бейіндеп оқыту. Осыған орай жаратылыстану-математикалық бағыты бойынша 11 сыныпқа арналған бӛлім бойынша және тоқсандық бойынша жиынтық бағалау оқушылардың қызығушылығынан, кәсіптік мҥддесінен туындайтын арнайы мақсаттарын ескере отырып дайындалған. Оқушылардың білімдік қҧзыреттілігін қалыптастыру пәнді теориялық меңгерту, эксперименттік зерттеу және практикалық қолданысқа ҧштастыру болып табылады.
Физика пәнін меңгертудегі сабақтан тыс оқыту формаларының ролін кӛрсете отырып, оқыту формаларының міндетін айқындап, бағдарламасын жасау және жҥйелеу мақсатында бірнеше жҧмыс жоспарлары жинақталды. Оқушылар ҥшін қысқа уақытқа берілген эксперименттік тапсырмалар мен денелердің әсерлесуі кезіндегі шамалардың ӛзгерісін, қолданысын, табиғаттағы әсерлерді бақылау мақсатындағы жҧмыстар оқу бағдарламасының тақырыптарына лайықталып жасалды. Тапсырмаларды орындау кезінде оқушылардың ӛлшеу, есептеу, бірліктер жҥйесіне, тҥрлендіре білуіне ҥйрету ескерілді.
Жаңа реформадағы білім беру жҥйесіне сәйкес, кәсіби қҧзыреттілікті қалыптастыру мақсатында, белсенді оқыту; жаратылыстану-математикалық бағытында оқытылатын сынып оқушыларына физика пәнінен тереңірек білім бере отырып, кәсіби қолданысқа қажетті есептер мен тапсырмалар енгізілді.
Бҧл оқу әдістемелік жинақта 11-сынып білім алушының «Физика» пәні бойынша жиынтық бағалауды жоспарлау, ҧйымдастыру және ӛткізуге кӛмек қҧралы ретінде қҧрастырылған. Тапсырмалары әр бӛлімнің оқу мақсаттарына сәйкестендіріліп, оқушылардың жасерекшеліктерін ескеріліп, 20-25 минутта ӛз беттерінше орындауға есептеліп жасалынған және кӛп жауапты, толық жауапты, қысқа жауапты тапсырмалардан қҧралған. Бӛлімнің ортақ тақырып бойынша жиынтық бағалаудың тапсырмалары мҧғалімге білім алушылардың тоқсан бойынша жоспарланған оқу мақсаттарына жету деңгейін анықтауға мҥмкіндік береді. Әдістемелік ҧсыныстарда бӛлім/ортақ тақырып бойынша жиынтық бағалауды ӛткізуге арналған бағалау критерийлері мен дескрипторлары бар тапсырмалар енгізілген. Сондай-ақ, жинақта білім алушылардың оқу жетістіктерінің мҥмкін деңгейлері (рубрикалар) сипатталған. Дескрипторлары мен балдары бар тапсырмалар ҧсыныс тҥрінде берілген. Әдістемелік ҧсыныстарды дайындау барысында ресми интернет- сайттағы қолжетімді ресурстар (суреттер, фотосуреттер, мәтіндер, аудио және бейнематериалдар) қолданылды.
І-ТОҚСАН
(жаратылыстану-математикалық бағыт)
«Механикалық тербелістер» бөлімі бойынша жиынтық бағалау
-
Оқу мақсаттары
11.4.1.1 – эксперименттік, аналитикалық және графиктік тәсілмен гармоникалық тербелісті (х(t), v(t), a(t)) зерттеу;
Бағалау критерийі
Білім алушы
-
графиктік тәсілмен гармоникалық тербелістің (х(t), v(t), a(t)) зерттеп, тербеліс амплитудасын, периодын, жиілігін, бҧрыштық жиілігін, максимал ҥдеуін анықтайды;
-
берілген тербеліс теңдеуін пайдалана отырып, тербеліс амплитудасын, периодын, жиілігін, бҧрыштық жиілігін анықтайды, жылдамдықтың уақытқа қатысты тәуелділік теңдеуін жазады және графигін сызады;
Ойлау дағдыларының деңгейлері
Білу және тҥсіну, Қолдану Жоғарғы деңгей дағдылары
Орындау уақыты
25 минут
-
Тапсырмалар
-
Суретте дене тербелісінің x(t) тәуелділік графигі кӛрсетілген.
Графикті пайдалана отырып, келесі шамаларды анықтаңыз:
(а) тербеліс амплитудасын [1]
-
тербеліс периодын [1]
-
тербеліс жиілігін [2]
-
бҧрыштық жиілігін [2]
-
х(t) тәуелді теңдеуін [1]
-
максималь ҥдеуін [2]
-
Дене тербелісінің x=2sin(π/4*t+π/2) тәуелділік теңдеуі берілген. Берілген теңдеуді пайдалана отырып, келесі шамаларды анықтаңыз:
(а) тербеліс амплитудасын [1]
(b) тербелістің бҧрыштық жиілігін [1]
(с) тербеліс жиілігін [1]
(d) тербеліс периодын [2]
(е) ?(?) тәуелділік теңдеуін жазыңыз [2]
(f) ?(?) тәуелділік графигін салыңыз [2]

Жалпы балл: 18
-
Бағалау критерийі
Тапсырма
№
Дескриптор
Балл
Білім алушы
Графиктік тәсілмен гармоникалық тербелістің (х(t),v(t),a(t) зерттеп, тербеліс амплитудасын, периодын, жиілігін, бҧрыштық жиілігін, максималь ҥдеуін анықтайды:
1
Графикті пайдалана отырып, тербеліс
амплитудасын жазады;
1
Графикті пайдалана отырып, тербеліс
периодын жазады;
1
Дененің тербеліс жиілігін формула қолдана отырып, анықтап жазады;
1
1
Бҧрыштық жиілігін формула қолдана отырып, анықтап жазады;
1
1
x(t) тәуелділік теңдеуін алынған мәліметтерді
пайдалана отырып, жазады;
1
Дене қозғалысының максимал ҥдеуін
формуланы қолдана отырып, анықтап жазады;
1
1
Берілген тербеліс теңдеуін пайдалана отырып, тербеліс амплитудасын, периодын, жиілігін, бҧрыштық жиілігін, жылдамдықтың уақытқа қатысты тәуелділік теңдеуін жазады және графигін сызады;
2
Тербеліс амплитудасын берілген теңдеуді
қолдана отырып, анықтайды;
1
Тербелістің бҧрыштық жиілігін берілген
теңдеуді қолдана отырып, анықтайды;
1
Тербеліс жиілігін анықтайды;
1
Тербеліс периодының формуласын
қолданады;
Есептеу жҧмыстарын дҧрыс орындайды;
1
1
Максимал жылдамдықты анықтайды/
?(?)=?’(t) екенін біледі жылдамдық теңдеуін жазады/ туындыны дұрыс есептейді
1
1
?(?) жиілігін ӛзгертпей косинус салады;
амплитудасын дҧрыс белгілейді;
1
1
Жалпы балл
18
«Электромагниттік тербелістер» бөлімі бойынша жиынтық бағалау
|
Оқу мақсаттары |
кҥшінің уақытқа тәуелді графиктерін зерттеу; 11.4.2.1 – еркін және еріксіз тербелістердің пайда болуы шарттарын сипаттау; |
|
Бағалау критерийі |
Білім алушы |
|
|
|
|
Ойлау дағдыларының деңгейлері |
Білу және тҥсіну, Қолдану Жоғарғы деңгей дағдылары |
|
Орындау уақыты |
25 минут |
Тапсырмалар
-
Механикалық тербелістер мен электромагниттік тербелістерді сәйкестендіре отырып, берілген кестені толықтырыңыз
|
Механикалық тербеліс |
Электромагниттік тербеліс |
||
|
Физикалық шама атауы |
Белгіленуі немесе формуласы |
Физикалық шама атауы |
Белгіленуі немесе формуласы |
|
Масса |
|
|
L |
|
|
µ |
Кедергі |
|
|
Жылдамдық |
|
Ток кҥші |
|
|
Потенциялдық энергия |
|
|
q2/2C |
|
|
mυ2/2 |
Катушканың магнит ӛрісінің энергиясы |
|
|
|
ω0=√k/m |
Тербелмелі контурдың меншікті тербеліс жиілігі |
|
-
Компьютерлік моделдеу арқылы алынған зарядтың уақытқа тәуелді графигі берілген.
Графикті пайдалана отырып, келесі шамаларды анықтаңыз.
(а) зарядтың максимал шамасын [1]
(b) егер Т=20 мс болса, тербеліс жиілігін [1]
(с) тербелістің бҧрыштық жиілігін [2]
(d) зарядтың уақытқа тәуелділік теңдеуін q(t) жазыңыз [1]
(е) ток кҥшінің уақытқа тәуелділік теңдеуін I(t) жазыңыз. [2]
-
(а) Еркін электромагниттік тербеліс дегеніміз не? [1]
.............................................................................................................................................................
.............................................................................................................................................................
.............................................................................................................................................................
.............................................................................................................................................................
(b) (і) еріксіз электромагниттік тербеліс дегеніміз не? [1]
.............................................................................................................................................................
.............................................................................................................................................................
.............................................................................................................................................................
.............................................................................................................................................................
(іі) еріксіз электромагниттік тербелісті тудыратын жҥйелерді атаңыз: [1]
.............................................................................................................................................................
.............................................................................................................................................................
(с) Жиілігі 1МГц жоғары жиілікті тудыратын генераторларды қайда қолданады? [1]
.............................................................................................................................................................
.............................................................................................................................................................
Жалпы балл: 17
|
Бағалау критерийі |
Тапсырма № |
Дескриптор |
Балл |
|
Білім алушы |
|||
|
механикалық тербелістер мен электромагниттік тербелістерді сәйкестендіреді; |
1 |
механикалық тербелістер мен электромагниттік тербелістерді сәйкестендіре отырып, берілген кестені дҧрыс толықтырады; (егер екеуі қате болса, 5 балл; тӛртеуі қате болса, 4 балл; алтауы қате болса, 3 балл ) |
6 |
|
компьютерлік моделдеу арқылы алынған заряд пен ток кҥшінің уақытқа тәуелді графиктерін зерттейді; |
2 |
Зарядтың уақытқа тәуелді графикті пайдалана отырып, зарядтың максималшамасын анықтайды; |
1 |
|
Тербеліс жиілігін анықтайды; |
1 |
||
|
Тербелістің бҧрыштық жиілігін формула қолдана отырып анықтайды; |
1 1 |
||
|
Алынған мәліметтерді пайдалана отырып, зарядтың уақытқа тәуелділік теңдеуін q(t) жазады; |
1 |
||
|
Ток кҥшінің амплитудасын анықтайды/ток кҥшінің теңдеуі заряд теңдеуінің туындысы екенін біледі; Ток кҥшінің уақытқа тәуелділік теңдеуін I(t) жазады;/ туындыны дҧрыс есептейді; |
1 1 |
||
|
еркін және еріксіз тербелістерді ажырата отырып, электромагниттік тербелістерді тудыратын жҥйелерді және жоғары жиілікті генераторды қайда қолданатынын біледі |
3 |
Еркін электромагниттік тербелісанықтамасын жазады; |
1 |
|
Еріксіз электромагниттік тербеліс анықтамасын жазады; |
1 |
||
|
Еріксіз электромагниттік тербелісті тудыратын жҥйелердің аттарын дҧрыс жазады; |
1 |
||
|
Жиілігі 1 МГц жоғары жиілікті тудыратын генераторларды қайда қолданатынын дҧрыс жазады; |
1 |
||
|
Жалпы балл |
17 |
||
«Айнымалы ток» бөлімі бойынша жиынтық бағалау
-
Оқу мақсаттары
-
– синусоидалы айнымалы ток немесе кернеуді гармоникалық функция тҥрінде кӛрсете алу;
-
– айнымалы ток тізбегінде тек активті жҥктеме кезінде (резистор) фаза ығысуын сипаттау;
11.4.3.9 – резонанс шартын тҥсіндіру және оның қолданылуына мысал келтіру;
11.4.3.13 – трансформатор орамасындағы орам санын эксперимент арқылы анықтау;
Бағалау критерийі
Білім алушы
-
Берілген графикті қолдана отырып, қажетті физикалық шамаларды анықтайды және айнымалы ток немесе кернеуді гармоникалық функция тҥрінде кӛрсете алады;
-
айнымалы ток тізбегіндегі актив кедергінің ролін, ток кҥші мен кернеудің теңдеулерін және тек активті жҥктеме кезінде (резистор) фаза ығысуын сипаттайды;
-
резонанс шартын тҥсіндіру және кернеу резонансының қолданылуына мысал келтіреді;
-
трансформатордың сҧлбасын пайдалана отырып, тҥрін ажыратады, бірінші және екінші ретті орамдағы кернеулерді және трансформатор формуласын қолдана отырып, орам санын анықтайды;
Ойлау дағдыларының деңгейлері
Білу және тҥсіну, Қолдану Жоғарғы деңгей дағдылары
Орындау уақыты
20 минут
-
Тапсырмалар
-
Суретте осциллограф арқылы алынған айнымалы кернеудің уақытқа тәуелділікграфигі бейнеленген.
Осциллографтың бір бӛлігі уақытқа қатысты 20 мс, ал кернеуі 1.5 В
(а) толық бір тербеліске кеткен уақытты анықтаңыз. [1]
(b) тербелістің бҧрыштық жиілігін анықтаңыз. [1]
(с) айнымалы кернеудің максимал шамасын анықтаңыз. [1]
(d) айнымалы кернеудің-уақытқа тәуелді теңдеуін жазыңыз. [1]
-
(а) Актив кедергі дегеніміз не? [1]
...............................................................................................................................................................
...............................................................................................................................................................
(b) Актив кедергісі 20 Ом болатын және кернеуі u=308cos314t заңдылығы бойынша ӛзгеретін тізбектің ток кҥшінің теңдеуін жазыңыз.
i = [2]
(с) Актив кедергідегі кернеу мен ток кҥшінің тербеліс фазалар айырымы: [1]
А) π/2-ге артта қалады В) π/2-ге озады
С) 0
Д) π/4-ке артта қалады
-
(а) Электр тізбегіндегі резонансқа анықтама беріңіз. [1]
...............................................................................................................................................................
...............................................................................................................................................................
(b) Резонанстың байқалу шартын сипаттаңыз. [1]
...............................................................................................................................................................
...............................................................................................................................................................
(с) Кернеулер резонансының қолдану аясын бір мысал жазыңыз. [1]
...............................................................................................................................................................
...............................................................................................................................................................
-
Оқушының зерттеу жҧмысында қолданылған трансформатордың сҧлбасы тӛменде берілген.

(а) берілген сҧлбаны пайдаланып, трансформатордың тҥрін ажыратыңыз. [1]
.............................................................................................................................................................
(b) Оқушы зерттеу жҧмысына пайдаланылған трансформатор мәндерін қолдана отырып, тӛмендегі шамаларды анықтаңыз.
(і) екінші ретті орамдағы кернеудің мәнін [1]
(іі) бірінші ретті орамдағы кернеу мәнін [2]
(ііі) егер трансформатордың бірінші ретті орам саны 400-ге тең болса, екінші ретті орам саны қанша болатындығын анықтаңыз. [1]
Жалпы балл: 16
-
Бағалау критерийі
Тапсырма
№
Дескриптор
Балл
Білім алушы
Берілген графикті қолдана отырып, қажетті физикалық шамаларды анықтайды және айнымалы ток немесекернеуді гармоникалық функция тҥрінде кӛрсете алады;
1
Толық бір тербеліске кеткен уақытты графикті
пайдалана отырып анықтайды;
1
Тербелістің бҧрыштық жиілігін формуланы
қолдана отырып, анықтайды;
1
Айнымалы кернеудің максимал шамасын
графикті пайдалана отырып, анықтайды;
1
Айнымалы кернеудің уақытқа тәуелді теңдеуін алынған мәліметтерге сҥйене отырып, дҧрыс жазады;
1
Айнымалы ток тізбегіндегі актив кедергінің ролін, ток кҥші мен кернеудің теңдеулерін және тек активті жҥктеме кезінде (резистор) фаза ығысуын сипаттайды;
2
Айнымалы ток тізбегіндегі актив кедергінің
ролін дҧрыс сипаттап жазады;
1
Ток кҥшінің максимал мәнін есептейді, ток
кҥші теңдеуін жазады;
1
Актив кедергідегі кернеу мен ток кҥшінің тербеліс фазаларының айырымын дҧрыс
анықтайды;
1
Электр тізбегіндегі резонанс анықтамасын
жазады;
1
Кернеулер резонансының қолдану аясына бір
нақты мысал келтіреді;
1
Айнымалы токтың
резонансын білу, резонанс шартын тҥсіндіру және кернеу резонансының қолданылуына мысал келтіреді;
3
Электр тізбегіндегі резонанс анықтамасын
жазады;
1
Резонанстың байқалу шартын жазады;
1
Кернеулер резонансының қолдану аясын бір
нақты мысал келтіреді;
1
Трансформатордың
сҧлбасын пайдалана отырып, тҥрін ажыратады, бірінші және екінші ретті орамдағы кернеулерді және трансформатор формуласын қолдана отырып, орам санын анықтайды;
4
берілген сҧлбаны пайдаланып,
трансформатордың тҥрін ажыратады;
1
зерттеу жҧмысына пайдаланылған
тансформатордың мәндерін қолдана отырып, (і) (іі) бірінші және екінші ретті орамның кернеулерін анықтайды;
(ііі) берілген мәліметті қолдана отырып, екінші ретті орам санын анықтайды.
1
1
1
1
Жалпы балл
16
ІІ-ТОҚСАН
«Толқындық қозғалыс» бөлімі бойынша жиынтық бағалау
|
Оқу мақсаттары |
|
|
Бағалау критерийі |
Білім алушы |
|
|
|
|
Ойлау дағдыларының деңгейлері |
Білу және тҥсіну, Қолдану |
|
Орындау уақыты |
30 минут |
Тапсырмалар
-
Тӛмендегі суретте микротолқынның толқын ҧзындығын анықтау ҥшін қолданылатын қҧрылғы сҧлбасы бейнеленген.

Таратушы кӛзден шыққан микротолқын TP бағытында металл пластинаға қарай перпендикуляр қозғалады. Тҧрғын толқын ТР аралығында пайда болады.
(і) неліктен бҧл аралықта тҧрғын толқын пайда болатындығын тҥсіндіріп жазыңыз. [2]
.............................................................................................................................................................
.............................................................................................................................................................
(іі) микротолқынды қабылдайтын D детекторды Т мен Р аралығында ақырындап қозғаса, сигнал біресе кҥшейеді, біресе әлсірейді. Екі жақын жатқан әлсіз сигналдардың арасы 1.4 см. Микротолқынның келесі шамаларын анықтаңыз:
1) толқын ҧзындығы = ................ cм [1]
2) жиілік = .............. Гц [2]
-
(а) Келесі физикалық қҧбылысқа анықтама беріңіз.
Дифракция ......................................................................................................................................
.............................................................................................................................................................
[1]
(b) Су бетіндегі толқынның дифракция суретін аяқтаңыз. [2]

(с) Гюйгенс принципіне сҥйене отырып, дифракция қҧбылысын сипаттаңыз. [2]
.............................................................................................................................................................
.............................................................................................................................................................
.............................................................................................................................................................
.............................................................................................................................................................
-
(а) Аспап ішегінің қозғалысы кезіндегі тҧрғын толқынның пайда болуын тҥсіндіріп, жазыңыз. [2]
.............................................................................................................................................................
.............................................................................................................................................................
.............................................................................................................................................................
(b) Суретте скрипканың ішегінің қозғалысы нәтижесінде пайда болған тҧрғын толқын графигі бейнеленген.

(і) жоғарыда кӛрсетілген суреттегі қандай әріп шоғырды кӛрсетеді? [1]
(іі) берілген суретті пайдалана отырып, тҧрғын толқын ҧзындығын анықтаңыз. [2]
(ііі) кӛрсетілген нҥктелердің фаза айырымын жазыңыз: [2] X және Y .................................................................................................
X және Z .................................................................................................
-
Суретте толқындық машина арқылы су бетінде екі кӛзден алынған интерференция бейнеленген.

(і) суретті қолдана отырып, толқын жылдамдығы бірдей екендігін дәлелдеуге болады? [1]
.............................................................................................................................................................
.............................................................................................................................................................
(іі) суретте S1 кӛзен шыққан толқын S2 кӛзінен шыққан толқыннан жарты толқын ҧзындығына қалған нҥктелерді тҥзу арқылы қосып, Х әріпімен белгілеңіз. [2]
Жалпы балл: 20
-
Бағалау критерийі
Тапсырма
№
Дескриптор
Балл
Білім алушы
Ауада пайда болған
1
Тҧрғын толқынның пайда болуын негізгі
1
тҧрғын дыбыс
терминдерді қолдана отырып дҧрыс жазады;
1
толқындар ының
Микротолқынның ҧзындығын дҧрыс
1
сҧлбасын пайдалана отырып, неліктен тҧрғын толқын пайда
анықтайды; Микротолқынның жиілігін формуланы қолдана отырып, дҧрыс анықтайды;
1
1
болатынды ғын, оның
толқын ҧзындығы
мен жиілігін
сипаттайды;
дифракция
2
Дифракция анықтамасын дҧрыс жазады;
1
қҧбылысын Гюйгенс принципіне сҥйене отырып сипаттайды, суретін сызады;
Су бетіндегі толқынның дифракциясын дҧрыс аяқтап салады;
1
1
Гюйгенс принципіне сҥйене отырып,
дифракция қҧбылысын дҧрыс сипаттайды;
1
1
аспап ішегінің
3
Аспап ішегінің қозғалысы кезіндегі тҧрғын
1
қозғалысы кезіндегі тҧрғын толқынның пайда болуын тҥсіндіреді, графикалық әдісті қолдана отырып,
толқынның пайда болуын терминдерді
қолдана отырып, жазады;
1
Берілген графикті пайдалана отырып, тҥйін
мен шоғырды анықтайды;
1
Берілген графикті пайдалана отырып, толқын
ҧзындығын анықтайды;
1
1
тҥйіндер мен
Кӛрсетілген нҥктелер арасындағы фаза
1
шоғырларды
айырымын дҧрыс жазады;
1
анықтайды және
тҧрғын толқынның
ҧзындығы мен
фазаларын анықтай
алады;
Аспап ішегінің
4
суретті қолдана отырып, толқын жылдамдығы
1
қозғалысы кезіндегі тҧрғын толқынның пайда болуын
тҥсіндіреді,
бірдей екендігін дҧрыс дәлелдейді;
Бір-бірінен жарты толқын ҧзындығына қалған нҥктелерді тҥзу арқылы қосып, Х әріпімен
дҧрыс белгілейді;
1
1
графикалық әдісті
қолдана отырып,
тҥйіндер мен
шоғырларды
анықтай алады;
Жалпы балл
20
«Электромагниттік толқындар» бөлімі бойынша жиынтық бағалау
|
Оқу мақсаттары |
|
|
Бағалау критерийі |
Білім алушы |
|
|
|
|
Ойлау дағдыларының деңгейлері |
Білу және түсіну, Қолдану |
|
Орындау уақыты |
20 минут |
Тапсырмалар
-
(а) Жоғары жиілікті электромагниттік тербелісті қалай модуляциялауға болады? (і) ...............................................................................................
(іі) .............................................................................................. [2]
(b) детекторды қолдану мақсатын сипаттап жазыңыз. [2]
.............................................................................................................................................................
.............................................................................................................................................................
.............................................................................................................................................................
.............................................................................................................................................................
.............................................................................................................................................................
-
Суретте жоғары жиіліктегі тербелістердің модуляциялануы бейнеленілген.

(а) жоғарыда көрсетілген әр суреттің атауын жазыңыз. [2]
(b) амплитудалық (АМ) және жиіліктік (FM) модуляцияның айырмашылықтары қандай екендігін сипаттап жазыңыз. [2]
.............................................................................................................................................................
.............................................................................................................................................................
.............................................................................................................................................................
.............................................................................................................................................................
.............................................................................................................................................................
-
сандық форматтағы сигналды берудің артықшылықтары мен кемшіліктерін атап жазыңыз. (і) артықшылығы ..............................................................................................................................
.............................................................................................................................................................
(іі) кемшілігі .....................................................................................................................................
.............................................................................................................................................................
[2]
-
Теледидар құралдарын жетілдірудің жолдарын ұсыныңыз. [2]
.............................................................................................................................................................
.............................................................................................................................................................
.............................................................................................................................................................
.............................................................................................................................................................
.............................................................................................................................................................
Жалпы балл: 12
|
Бағалау критерийі |
Тапсырма № |
Дескриптор |
Балл |
|
Білім алушы |
|||
|
жоғары жиілікті электромагниттік тербелісті қалай модуляциялауға болатындығын және детекторды не ҥшін қолданатынын сипаттайды; |
1 |
Жоғары жиілікті электромагниттік тербелісті қалай модуляциялауға болатындығының екі мысалын жазады; |
1 1 |
|
детекторды қолдану мақсатын сипаттап жазады; |
1 1 |
||
|
суретті пайдалана отырып, амплитудалық (АМ) және жиіліктік (FM) модуляцияны ажыратады және модуляцияға дейінгі және кейінгі графиктерді ажыратып, атауын жазады; |
2 |
4 дҧрыс жауапқа 2 ҧпай 2-3 дҧрыс жауапқа 1 ҧпай 0-1 дҧрыс жауапқа 0 ҧпай |
1 1 |
|
амплитудалық (АМ) және жиіліктік (FM) модуляцияның айырмашылықтары қандай екендігін сипаттап жазады; |
1 1 |
||
|
сандық форматтағы сигналды берудің артықшылықтары мен кемшіліктерін анықтай отырып, жазады; |
3 |
сандық форматтағы сигналды берудің артықшылықтары мен кемшіліктерін жазады; |
1 1 |
|
байланыс қҧралдарын кемшілігін атай отырып, жетілдірудің жолдарын ҧсынады; |
4 |
Теледидар қҧралдарын жетілдірудің жолдарын ҧсынады; |
1 1 |
|
Жалпы балл |
12 |
||
«Толқындық оптика» бөлімі бойынша жиынтық бағалау
-
Оқу мақсаттары
-
– механикалық және жарық толқындарының интерференциялық кӛріністеріне салыстырмалы талдау жҥргізу;
-
– жҧқа пленкаға тҥскен және шағылған жарықтардан пайда болған интерференциялық максимумдар мен минимумдарды бақылау шарттарын анықтау;
-
– жарықтың толқын ҧзындығын дифракциялық тордың кӛмегімен эксперимент арқылы анықтау;
-
– жарықтың қасиеттерін талдай отырып, эксперимент арқылы жарықтың электромагниттік табиғатын дәлелдеу;
Бағалау критерийі
Білім алушы
-
Механикалық толқын мен жарық толқындарының интерференциясын салыстырады;
-
Жарық ҥшін шағылудың интерференциялық минимумы пайда болатындай минимал қалыңдығын анықтайды;
-
Берілген эксперимент нәтижелерін пайдалана отырып, дифракциялық тордың периодын және тҥскен монохроматты сәуленің толқын ҧзындығын анықтайды;
-
Жарықтың қасиеттерін атай отырып, оның электромагнитті толқын екендігін дәлелдейді;
Ойлау дағдыларының деңгейлері
Білу және тҥсіну, Қолдану
Орындау уақыты
25 минут
-
Тапсырмалар
-
Механикалық толқын мен жарық толқындарының интерференциясын салыстырыңыз.
а) Механикалық толқын интерференциясының шарттары және қолдануы [2]
................................................................................................................................................................
................................................................................................................................................................
................................................................................................................................................................
b) Жарық толқынының интерференциясының шарттары және қолдануы [2]
...............................................................................................................................................................
................................................................................................................................................................
................................................................................................................................................................
-
Сыну кӛрсеткіші 1.2 болатын қабықшаға нормаль бағытпен тҥсетін толқын ҧзындығы 550 нм жарық ҥшін шағылудың интерференциялық минимумы пайда болатындай минимал қалыңдығын анықтаңыз. [3]
-
Оқушы зерттеу жҧмысы кезінде бір миллиметрде 120 сызықшасы бар дифракциялық торға монохроматты жарық тҥсірген.

Бірінші ретті екі спектр арасы 76 см. Дифракциялық тордан экранға дейінгі арақашықтық 165 см.
(а) дифракциялық тордың периодын анықтаңыз. [2]
(b) дифракциялық торға келіп тҥскен монохроматты жарықтың толқын ҧзындығын анықтаңыз. [3]
-
(а) Жарықтың қасиеттерін атаңыз. [3]
(і) ..........................................................
(іі) .........................................................
(ііі) ........................................................
(іv) ........................................................
(v) .........................................................
(vi) ........................................................
(b) жарықтың қандай негізгі ҥш қасиеті арқылы оның электромагнитті толқын екенін дәлелдеуге болады? [3]
................................................................................................................................................................
................................................................................................................................................................
................................................................................................................................................................
Жалпы балл: 18
-
Бағалау критерийі
Тапсырма
№
Дескриптор
Балл
Білім алушы
Механикалық толқын мен жарық толқындарының интерференциясын салыстырады;
1
механикалық толқын мен жарық толқындарының интерференциясын салыстырады;
1
1
1
1
Жарық ҥшін шағылудың интерференциялық минимумы пайда болатындай минимал қалыңдығын
анықтайды;
2
Жарық ҥшін шағылудың интерференциялық минимумы пайда болатындай минимал қалыңдығын формула қолдана отырып, анықтайды;
1
1
1
Берілген эксперимент нәтижелерін пайдалана отырып, дифракциялық тордың периодын және тҥскен монохроматты сәуленің толқын ҧзындығын
анықтайды;
3
Берілген эксперимент нәтижелерін пайдалана отырып, дифракциялық тордың периодын және тҥскен монохроматты сәуленің толқын ҧзындығын формуланы және берілген суретті пайдаланып анықтайды;
1
1
1
1
1
Жарықтың қасиеттерін атай отырып, оның электромагнитті толқын екендігін дәлелдейді;
4
Жарықтың қасиеттерін атай отырып, оның электромагнитті толқын екендігін дәлелдейді;
1
1
1
1
1
1
Жалпы балл
18
ІІІ-ТОҚСАН
«Геометриялық оптика» бөлімі бойынша жиынтық бағалау
|
Оқу мақсаттары |
|
|
Бағалау критерийі |
Білім алушы |
|
|
|
|
Ойлау дағдыларының деңгейлері |
Білу және тҥсіну, Қолдану Жоғарғы деңгей дағдылары |
|
Орындау уақыты |
25 минут |
Тапсырмалар
-
Оқушы шынының сыну кӛрсеткішін анықтау ҥшін зерттеу жҧмысын жасаған. Зерттеу жҧмысының сҧлбасында шыны пластинаның орыны,
тҥскен және сынған сәулелер бейнеленген.
(а) Транспортирді қолдана отырып, сәуленің тҥсу және сыну бҧрыштарын ӛлшеңіз. [2]
(b) алынған мәліметтерді пайдалана отырып, берілген шынының сыну кӛрсеткішін анықтаңыз. [2]
(с) шыныдан ауаға ӛткен сәулені салып кӛрсетіңіз. [1]
-
Суретте линзалар жҥйесі бейнеленілген

(а)
суреттегі мәліметтерді және шартты белгілерді қолдана отырып,
екінші линзадан шыққан кескінді салып кӛрсетіңіз. Масштабты
сақтаңыз. Дене биіктігі 25 см. [3]
-
Екі жағы дӛңес линзаның қисықтық радиустары 50 см тең. Линзаның сыну кӛрсеткіші 1.5. Есептеңіз:
(і) линзаның фокустық арақашықтығын [2]
(іі) линзаның оптикалық кҥшін [2]
-
Суретте микроскоптың ішкі қҧрлысы мен АВ денесі берілген.
АВ денесін микроскоп арқылы қарағандағы ҧлғайған кескінін сәулелер жҥрісін салу арқылы алыңыз. [3]
Жалпы балл: 15
|
Бағалау критерийі |
Тапсырма № |
Дескриптор |
Балл |
|
Білім алушы |
|||
|
Транспортирді қолдана отырып, тҥскенсәуле мен сынған сәуле бҧрышын анықтайды, берілген шынының сыну кӛрсеткішін анықтайды және шыныданауаға ӛткен сәуле жҥрісін аяқтайды; |
1 |
Транспортирді қолдана отырып,тҥскен сәуле мен сынған сәуле бҧрышын анықтайды; Берілген шынының сыну кӛрсеткішін анықтайды; Шыныдан ауаға ӛткен сәуле жҥрісін аяқтайды; |
1 1 1 1 1 |
|
Мәліметтерді және шартты белгілерді қолдана отырып, екінші линзадан шыққан кескінді салып кӛрсетеді; |
2 |
Масштабты сақтайды; 1-ші кескінді дҧрыс салады; 2-ші кескінді дҧрыс салады; |
1 1 1 |
|
әртҥрлі радиустағы |
3 |
линза жасаушылар формуласын қолданады |
1 |
|
екі сфералық беттен тҧратын жҧқа линзаның формуласын есептер |
|
линзаның фокустық арақашықтығын анықтайды; линзаның оптикалық кҥшінің формуласы ҥшін линзаның оптикалық кҥшін анықтайды; |
1 1 1 |
|
шығаруда |
|
|
|
|
қолданады; |
|
|
|
|
микроскоп арқылы |
4 |
|
1 |
|
қарағандағы дененің ҧлғайған кескінін |
|
1 |
|
|
сәулелер жҥрісін салу арқылы алады; |
|
1 |
|
|
Жалпы балл |
15 |
||
«Салыстырмалы теорияның элементтері» бөлімі бойынша жиынтық бағалау
-
Оқу мақсаттары
-
– Эйнштейн постулаттары мен Лоренц тҥрлендірулерін есептер шығаруда қолдана отырып, релятивистік эффектіні тҥсіндіру;
-
– зарядталған бӛлшектердің ҥдеткіштерінің жҧмыс істеу принципін, оларда орын алатын релятивистік эффектіні ескере отырып тҥсіндіру;
Бағалау критерийі
Білім алушы
-
релятивистік эффект салдарынан массаның ӛсу ҥшін поезд қандай жылдамдықпен қозғалуы қажет екендігін анықтайды;
-
шапшаң қозғалатын бӛлшектің ӛмір сҥру уақытының ҧзақтығы неше есе артатындығын анықтайды;
-
зарядталған бӛлшектердің ҥдеткіштерінің жҧмыс істеу принципіне сҥйене отырып сипаттайды және қозғалыстағы зарядталған бӛлшектің радиусы неліктен ӛзгеретіндігін тҥсіндіреді;
Ойлау дағдыларының деңгейлері
Білу және тҥсіну Қолдану
Орындау уақыты
20 минут
-
Тапсырмалар
-
Поезд массасы 3000 т. Массасы релятивистік эффект салдарынан 1 г-ға ӛсу ҥшін поезд қандай жылдамдықпен қозғалуы қажет екендігін анықтаңыз. [3]
-
Лабораториялық санақ жҥйесінде 0.99 с жылдамдықпен қозғалатын тҧрақты емес бӛлшектің ӛмір сҥру уақытының ҧзақтығы неше есе артады? [2]
-
(а) Зарядталған бӛлшектердің ҥдеткіштердегі қозғалысын сипаттаңыз. [4]
................................................................................................................................................................
................................................................................................................................................................
................................................................................................................................................................
................................................................................................................................................................
................................................................................................................................................................
(b) неліктен қозғалыстағы зарядталған бӛлшектің радиусы ӛзгереді? [3]
................................................................................................................................................................
................................................................................................................................................................
................................................................................................................................................................
................................................................................................................................................................
................................................................................................................................................................
Жалпы балл: 12
|
Бағалау критерийі |
Тапсырма № |
Дескриптор |
Балл |
|
Білім алушы |
|||
|
релятивистік эффект салдарынан массаның ӛсу ҥшін поезд қандай жылдамдықпен қозғалуы қажет екендігін анықтайды; |
1 |
релятивистік эффект салдарынан массаның ӛсу ҥшін қажетті формуланы дҧрыс жазады; формуланы тҥрлендіреді; дҧрыс есептейді; |
1 1 1 |
|
шапшаң қозғалатын бӛлшектің ӛмір сҥру уақытының ҧзақтығы неше есе артатындығын анықтайды; |
2 |
шапшаң қозғалатын бӛлшектің ӛмір сҥру уақытының ҧзақтығын анықтайтын формуланы дҧрыс жазады; берілген формуланы қолдана отырып, дҧрыс есептеу жҥргізеді; |
1 1 |
|
зарядталған |
3 |
Зарядталған бӛлшектердің ҥдеткіштердегі |
1 |
|
бӛлшектердің |
|
қозғалысын сипаттайды; |
1 |
|
ҥдеткіштерінің |
|
|
1 |
|
жҧмыс істеу |
|
|
1 |
|
принципіне сҥйене |
|
қозғалыстағы зарядталған бӛлшектің радиусы |
1 |
|
отырып сипаттайды |
|
неліктен ӛзгеретіндігін дҧрыс сипаттайды; |
1 |
|
және қозғалыстағы |
|
|
1 |
|
зарядталған |
|
|
|
|
бӛлшектің радиусы |
|
|
|
|
неліктен |
|
|
|
|
ӛзгеретіндігін |
|
|
|
|
тҥсіндіреді; |
|
|
|
|
Жалпы балл |
12 |
||
«Атомдық және кванттық физика» бөлімі бойынша жиынтық бағалау
-
Оқу мақсаттары
-
– фотоэффектінің табиғатын тҥсіндіру және оны қолдануға мысалдар келтіру;
-
– фотоэффектінің заңдары мен Эйнштейн теңдеуін есеп шығаруда қолдану;
11.8.1.8 – фотосинтез және фотография ҥдерісін мысалға келтіре отырып, жарықтың химиялық әсерін сипаттау
-
– Бор постулаттарына сҥйеніп атомның орнықты кҥйінің шартын тҥсіндіру;
-
– сутегі атомының энергетикалық қҧрылымына сҥйене отырып, сызықтық спектрдің табиғатын тҥсіндіру;
-
– де Бройль толқын ҧзындығының формуласын есептер шығаруда қолдану;
-
– де Бройль болжамын тҥсіндіру;
Бағалау критерийі
Білім алушы
-
Ішкі және сыртқы фотоэффект қҧбылыстарын бір-бірінен ажырата отырып, фотоэффект қҧбылысының қолдану аясына мысалдар келтіреді;
-
фотоэффектінің қызыл шекарасының толқын ҧзындығын анықтайды;
-
жарықтың химиялық әсерін сипаттайды;
-
Бор постулаттарына сҥйеніп атомның орнықты кҥйінің шартын ескере отырып, орбитада орналасқан сутек атомының энергиясы әртҥрлі қанша квант шығара алатындығын анықтайды және сутек атомындағы электрон бір энергетикалық деңгейден екінші энергетикалық деңгейге ауысқанда, атомның энергиясы қалай ӛзгеретіндігін біледі;
-
сутегі атомының энергетикалық қҧрылымына сҥйене отырып, оның шығару спектрінде қанша сызықты кӛруге болатындығын анықтайды;
-
де Бройль толқын ҧзындығының формуласын есептер шығаруда қолданады;
-
де Бройль болжамын дәлелдейтін тәжірибені сипаттап жазады;
Ойлау дағдыларының деңгейлері
Қолдану
Жоғары деңгей дағдылары
Орындау уақыты
25 минут
-
Тапсырмалар
-
(а) Ішкі және сыртқы фотоэффект дегеніміз не? [2] Ішкі фотоэффект ..................................................................................................................................
................................................................................................................................................................
Сыртқы фотоэффект ............................................................................................................................
................................................................................................................................................................
(b) Фотоэффект қҧбылысының қолдану аясына екі мысал келтіріңіз. [2]
................................................................................................................................................................
................................................................................................................................................................
-
Электрондардың кҥмістен шығу жҧмысы 7,85*10-19 Дж. Кҥміс ҥшін фотоэффектінің қызыл шекарасының толқын ҧзындығын анықтаңыз. [2]
-
Жарықтың химиялық әсерін сипаттап жазыңыз. [1]
................................................................................................................................................................
................................................................................................................................................................
-
(а) Электрон ҥшінші орбитада болса, сутек атомы энергиясы әртҥрлі қанша квант шығара алады? Энергетикалық деңгейлер диаграмманы алып кӛрсетіңіз. [2]
(b) Сутек атомындағы электрон бірінші энергетикалық деңгейден екіншіге ауысқанда, атомның энергиясы қалай ӛзгереді? [1]
................................................................................................................................................................
................................................................................................................................................................
-
Сутегі атомының қозбаған кҥйінде электрон 12 эВ энергия алады. Сутек атомының негізгі кҥйінің энергиясы -13.6 эВ. Осы электрон тӛменгі энергетикалық кҥйге ӛткенде, сутек атомының шығару спектрінде қанша сызықты кӛруге болады? [2]
-
Сутегі атомының бірінші Бор орбитасында электронның де Бройль толқын ҧзындығын анықтаңыз. Бірінші Бор орбитасының радиусы 5.3*10-11 м, электрон массасы 9,1*10-31 кг, электрон заряды 1,6*10-19 Кл, h=6,63*10-34 Дж*с; [3]
-
(а) Атақты француз ғалымы Луи де Бройль жарықтың әрі толқындық әрі корпускулалық екі жақтылық қасиетін одан ары дамытты. Осыған орай де Бройльдің болжамын жазыңыз. [1]
................................................................................................................................................................
................................................................................................................................................................
(b) Де Бройль болжамын дәлелдейтін тәжірибені сипаттап жазыңыз. [2]
................................................................................................................................................................
................................................................................................................................................................
................................................................................................................................................................
................................................................................................................................................................
Жалпы балл: 18
-
Бағалау критерийі
Тапсырма
№
Дескриптор
Балл
Білім алушы
Ішкі және сыртқы фотоэффект қҧбылыстарын бір-бірінен ажырата отырып, фотоэффект қҧбылысының қолдану аясына мысалдар келтіреді;
1
шкі және сыртқы фотоэффект қҧбылыстарын бір-бірінен дҧрыс ажыратып жазады; фотоэффект қҧбылысының қолдану аясына дҧрыс екі мысал келтіреді;
1
1
1
1
фотоэффектінің қызыл шекарасының толқын ҧзындығын анықтайды;
2
кҥміс ҥшін фотоэффектінің қызыл шекарасының толқын ҧзындығын формуланы қолдана отырып, дҧрыс
анықтайды;
1
1
жарықтың химиялық әсерін сипаттайды;
3
жарықтың химиялық әсерін дҧрыс сипаттап жазады;
1
Бор постулаттарына
сҥйеніп атомның орнықты кҥйінің шартын ескере отырып, орбитада орналасқан сутек атомының энергиясы әртҥрлі қанша квант шығара алатындығын анықтайды және сутек атомындағы электрон бір энергетикалық деңгейден екінші энергетикалық деңгейге ауысқанда, атомның энергиясы қалай ӛзгеретіндігін біледі;
4
Электрон ҥшінші орбитада болса, сутек атомы энергиясы әртҥрлі қанша квант шығара алатындығын дҧрыс анықтап суретін салады;
Сутек атомындағы электрон бірінші энергетикалық деңгейден екіншіге ауысқанда, атомның энергиясы қалай ӛзгеретіндігін дҧрыс жазады;
1
1
1
сутегі атомының
энергетикалық қҧрылымына сҥйене отырып, оның шығару спектрінде қанша сызықты кӛруге болатындығын анықтайды;
5
электрон тӛменгі энергетикалық кҥйге ӛткенде, сутек атомының шығару спектрінде қанша сызықты кӛруге болатындығын дҧрыс анықтайды;
1
1
де Бройль толқын
ҧзындығының формуласын есептер шығаруда қолданады;
6
Сутегі атомының бірінші Бор орбитасында электронның де Бройль толқын ҧзындығын формуланы қолдана отырып, дҧрыс анықтайды;
1
1
1
де Бройль болжамын дәлелдейтін тәжірибені
сипаттап жазады;
7
де Бройльдің болжамын жазады; де Бройль болжамын дәлелдейтін тәжірибені сипаттап жазады;
1
1
1
Жалпы балл
18
ІV-ТОҚСАН
«Нанотехнология және наноматериалдар» бөлімі бойынша жиынтық бағалау
|
Оқу мақсаттары |
|
|
Бағалау критерийі |
Білім алушы |
|
|
|
|
Ойлау дағдыларының деңгейлері |
Қолдану |
|
Орындау уақыты |
20 минут |
Тапсырмалар
-
(а) Наноматериалдардың физикалық қасиеттерін ашып жазыңыз. [2]
................................................................................................................................................................
................................................................................................................................................................
................................................................................................................................................................
................................................................................................................................................................
(b) наноматериалдарды алудың екі тәсілін сипаттап жазыңыз. [2]
................................................................................................................................................................
................................................................................................................................................................
................................................................................................................................................................
................................................................................................................................................................
-
(а) Нанотехнология дегеніміз [2]
................................................................................................................................................................
................................................................................................................................................................
................................................................................................................................................................
................................................................................................................................................................
(b) Нанотехнологияның қолданыс аясын сипаттап жазыңыз.
Машина жасау ӛнеркәсібінде [2]
................................................................................................................................................................
................................................................................................................................................................
................................................................................................................................................................
................................................................................................................................................................
Жалпы балл: 8
-
Бағалау критерийі
Тапсырма
№
Дескриптор
Балл
Білім алушы
наноматериалдардың физикалық қасиеттерін ашып жаза отырып, оларды алудың жолдарының екі тәсілін сипаттап жазады;
1
наноматериалдардың физикалық қасиеттерін
ашып жазады;
наноматериалдарды алудың екі тәсілін сипаттап жазады;
1
1
1
1
нанотехнология дегеніміз не екендігін сипаттай отырып, машина жасау ӛнеркәсібінде қалай қолданылатындығын
сипаттап жазады;
2
нанотехнологияның ережесін жазады; нанотехнологияның қолданыс аясының бірі машина жасау ӛнеркәсібіндегі ролін жазады;
1
1
1
1
Жалпы балл
8
«Космология» бөлімі бойынша жиынтық бағалау
|
Оқу мақсаттары |
11.10.1.10 – Хаббл заңын қолданып, Әлемнің жасын бағалай алу; |
|
Бағалау критерийі |
Білім алушы |
|
|
|
|
Ойлау дағдыларының деңгейлері |
Қолдану |
|
Орындау уақыты |
25 минут |
Тапсырмалар
-
Альтаир жҧлдызының кӛрінерлік жҧлдыздық шамасы 0,77m. Ол 16,8 жарық жылына тең қашықтықта орналасқан. Альтаир жҧлдызының абсолюттік жҧлдыздық шамасын анықтаңыз.
[3]
-
Радиусы 7*105 км болатын Кҥн бетінің температураны анықтаңыз. Кҥннің жарқырауы 3,84*1026 Вт, δ=5,67*10-8 Вт/м2К4. [4]
-
Суретте Герцшпрунг-Рассел диаграммасы бейнеленген.

(а) тӛменде кӛрсетілген бес тҧжырымнан дҧрысын(тарын) анықтап дӛңгелектеп белгілеңіз.
-
жҧлдыздардың кӛпшілігі қызыл ергежейлілер болып келеді.
-
негізгі тізбектегі К спектріндегі жҧлдыздардың класының «ӛмірлік циклі», В спектріндегі жҧлдыздардың класының «ӛмірлік циклінен» қысқарақ болады.
-
асқын алып жҧлдыздардың орташа тығыздығы ӛте жоғары болады.
-
Денеб жҧлдызының беттік температурасы 8550 К және ол М спектрдегі жҧлдыздар класына жатады.
-
Эридан-40 жҧлдызы ақ ергежейлілерге жатады, себебі оның массасы Кҥн массасының 0.5 қҧрайды. [2]
(b) (а) тапсырмасында берілген бес тҧжырымның қателерін анықтап, неліктен қате екендігін тҥсіндіріп жазыңыз. [3]
................................................................................................................................................................
................................................................................................................................................................
................................................................................................................................................................
................................................................................................................................................................
................................................................................................................................................................
................................................................................................................................................................
4. (а) алыстау жылдамдығы 1,5*104 км/с болатын галактиканың бізден қандай арақашықта орналасқандығын анықтаңыз. (75 км/сМпк) [2]
(b) осы галактиканың жасын анықтаңыз. [2]
Жалпы балл: 16
|
Бағалау критерийі |
Тапсырма № |
Дескриптор |
Балл |
|
Білім алушы |
|||
|
кӛрінерлік және абсолют жҧлдыздық шаманы анықтау ҥшін формулаларды қолданады және есптеуді жҥргізеді; |
1 |
Жарық жылын қажетті шамаға дҧрыс айналдырады; Формуласы дҧрыс; Есептеуі дҧрыс; |
1 1 1 |
|
Кҥннің беттік температурасын анықтау ҥшін Стефан-Больцман заңын қолданады; |
2 |
Кҥн беті ауданының формуласын жазды 1 м2 ауданнан бӛлінетін қуат формуласын жазады; Стефан-Больцман заңын қолданады; температурасын дҧрыс анықтайды; |
1 1 1 1 |
|
Герцшпрунг-Рассель диаграммасын қолдана отырып, тҧжырымдамалардың дҧрысы мен қатесін анықтайды; |
3 |
Диаграммаға қатысты берілген тҧжырымды ішінен дҧрысын анықтайды; |
1 1 |
|
Қате тҧжырымды неліктен қате екендігіне сипаттама жазады; |
1 1 1 |
||
|
Хаббл заңын қолдана отырып, берілген галактиканың арақашықтығын және жасын анықтайды; |
4 |
Формула жазады; Есептейді; Формула жазады; Есептейді |
1 1 1 1 |
|
Жалпы балл |
16 |
||
1-ТОҚСАННЫҢ ЖИЫНТЫҚ БАҒАЛАУ СПЕЦИФИКАЦИЯСЫ
-
- тоқсанның жиынтық бағалауына шолу
Ұзақтығы – 40 минут
Балл саны – 30 балл
Тапсырма тҥрлері:
КТБ – кӛп таңдауы бар тапсырмалар;
ҚЖ – қысқа жауапты қажет ететін тапсырмалар;
ТЖ – толық жауапты қажет ететін тапсырмалар.
Жиынтық бағалаудың құрылымы
Берілген нҧсқа кӛп таңдауы бар тапсырмаларды, қысқа және толық жауапты сҧрақтарды қамтитын 10 тапсырмадан тҧрады.
Кӛп таңдауы бар тапсырмаларға оқушылар ҧсынылған жауап нҧсқаларынан дҧрыс жауабын таңдау арқылы жауап береді.
Қысқа жауапты қажет ететін сҧрақтарға оқушылар есептелген мәні, сӛздер немесе қысқа сӛйлемдер тҥрінде жауап береді.
Толық жауапты қажет ететін сҧрақтарда оқушыдан максималды балл жинау ҥшін тапсырманың шешімін табудың әр қадамын анық кӛрсетуі талап етіледі. Оқушының математикалық тәсілдерді таңдай алу және қолдана алу қабілеті бағаланады. Тапсырма бірнеше қҧрылымдық бӛліктерден/сҧрақтардан тҧруы мҥмкін.

Тапсырма үлгілері және балл қою кестесі
«Физика» пәнінен 1-тоқсанға арналған жиынтық бағалаудың тапсырмалары
-
Суретте бӛлшектің тербелісінің орын ауыстыруының-уақытқа тәуелділік графигі бейнеленген

Графикті пайдалана отырып келесі шамаларды анықтаңыз:
(а) тербеліс амплитудасын [1]
(b) тербеліс периодын [1]
(с) тербеліс жиілігін [1]
(d) бҧрыштық жиілігін [1]
-
Электрмагниттік тербелістердің периоды мен меншікті жиілігі қандай шамаларға тәуелді: А) заряд, ток кҥші
В) кернеу, шарғы индукдивтілігі
С) ток кҥші, конденсатор сыйымдылығы
D) конденсатор сыйымдылығы, шарғы индуктивтілігі
Е) заряд, ток кҥші, кернеу [1]
-
Механикалық тербелістер мен электромагниттік тербелістерді сәйкестендіре отырып, берілген кестені толықтырыңыз.
|
Механикалық тербеліс |
Электромагниттік тербеліс |
||
|
Физикалық шама атауы |
Белгіленуі немесе формуласы |
Физикалық шама атауы |
Белгіленуі немесе формуласы |
|
Ығысу |
|
|
q |
|
|
υ=х’ |
Ток кҥші |
|
|
Масса |
|
|
L |
|
|
k |
Сыйымдықққа кері шама |
|
|
Кҥш |
|
|
u=ei=Li’ |
[2]
-
Тербелмелі контур конденсаторының сыйымдылығы 0,4 мкФ, меншікті тербеліс жиілігі 50 кГц,заряд тербелісінің амплитудасы 8 мкКл.
а) зарядтың, кернеудің, ток кҥшінің уақытқа тәуелділік q=q(t) теңдеуін жазыңдар; [1]
b) кернеудің тербеліс амплитудасын, ток кҥшінің тербеліс амплитудасын және шарғының ин- дуктивтілігін анықтаңдар; [1]
с) шамалардың тәуелділік графиктерін тҧрғызыңдар; [1]
-
Тізбектегі ток кҥші мына заң бойынша ӛзгереді: i=8,5sin (314t + 0,661).
-
ток кҥшінің амплитудалық мәнін анықтаңыз; [1]
-
бастапқы фазасын анықтаңыз; [1]
-
жиілігін анықтаңыз; [1]
-
Кернеудің синус заңы бойынша ӛзгерісі берілген: u(t)=30√2sin(314t+π/4).
а) уақыт 0.0025 с болған кездегі u(t) мәнін анықтаңыз; [2]
-
Индуктивтілігі L = 0,02 Гн шарғы жиілігі n = 50 Гц айнымалы кернеу кӛзіне қосылған. Кер- неудің әсерлік мәні U = 100 B.
а) ток кҥшінің лездік мәнінің уақытқа тәуелділігін және ток пен кернеу арасындағы фазалық ығысуды анықтаңыз; [2]
-
Тӛмендегі суреттегі сҧлбада активті кедергі R=2 Ом, шарғының индуктивтілігі L=50 мГн, конденсатордың сыйымдылығы С=25 мкФ берілген.
-
тізбектің толық кедергісін анықтаңыз; [2]
-
50 Гц айнымалы ток жиілігінде ток пен кернеу арасындағы фазалық ығысуды анықтаңыз;
[2]
-
Тӛмендегі суретте айнымалы ток тізбегінің кедергілері R=3 Ом, XL=6 Ом, XC=2 Ом резистордан, шарғыдан және конденсатордан тҧратын бӛлігі кӛрсетілген.

а) кедергілер ҥшбҧрышын тҧрғызыңыз; [1]
-
тізбектің толық кедергісін анықтаңыз; [2]
-
қуат коэффициентін анықтаңыз; [2]
-
Бірінші реттік орамасы 840 орамнан тҧратын суретте кӛрсетілген трансформатор кернеуді 220 В-тан 660 В-қа дейін арттырады.

а) трансформация коэффициентін анықтаңыз; [2]
-
екінші реттік орамасы қанша орамнан тҧратындығын анықтаңыз; [2]
Жалпы балл: 30
1-тоқсан бойынша балл қою кестесі
|
№ |
Жауабы |
Балл |
Қосымша ақпарат |
|||||
|
1 |
А=0,1 м Т=4,0*10-2 с ν=0,25*102 Гц ω=1,57*102 рад/с |
4 |
|
|||||
|
2 |
D |
1 |
|
|||||
|
3 |
|
Механикалық тербеліс |
Электромагниттік тербеліс |
|
2 |
|
||
|
Физикалық шама атауы |
Белгіленуі немесе формуласы |
Физикалық шама атауы |
Белгіленуі немесе формуласы |
|||||
|
Ығысу |
х |
Заряд |
q |
|||||
|
Жылдамдық |
υ=х’ |
Ток кҥші |
i=q′ |
|||||
|
Масса |
|
|
L |
|||||
|
Қатаңдық коэффициенті |
k |
Сыйымдықққа кері шама |
1/C |
|||||
|
Кҥш |
F=ma |
Кернеу |
u=ei=Li’ |
|||||
|
4 |
q(t)=8*10-6 cos105πt Um=20 В Im=2,5 A L=25 мкГн Шамалардың тәуелділік графиктерін тҧрғызады |
3 |
|
|||||
|
5 |
Im=8,5 A φ0=0,661 рад/с ν=50 Гц |
3 |
|
|||||
|
6 |
|
2 |
|
|||||
|
7 |
φ=π/2 |
2 |
|
|||||
|
8 |
Z≈111 Ом φ=arctg(111/2)≈89° |
4 |
|
|||||
|
9 |
Кедергілер ҥшбҧрышын тҧрғызады.
Z=5 Ом cosφ=0,6 |
5 |
|
|||||
|
10 |
|
4 |
|
|||||
|
Жалпы балл |
30 |
|
||||||
-
ТОҚСАННЫҢ ЖИЫНТЫҚ БАҒАЛАУ СПЕЦИФИКАЦИЯСЫ
-
- тоқсанның жиынтық бағалауына шолу
Ұзақтығы – 40 минут
Балл саны – 30 балл
Тапсырма тҥрлері:
КТБ – кӛп таңдауы бар тапсырмалар;
ҚЖ – қысқа жауапты қажет ететін тапсырмалар;
ТЖ – толық жауапты қажет ететін тапсырмалар.
Жиынтық бағалаудың құрылымы
Берілген нҧсқа кӛп таңдауы бар тапсырмаларды, қысқа және толық жауапты сҧрақтарды қамтитын 9 тапсырмадан тҧрады.
Кӛп таңдауы бар тапсырмаларға оқушылар ҧсынылған жауап нҧсқаларынан дҧрыс жауабын таңдау арқылы жауап береді.
Қысқа жауапты қажет ететін сҧрақтарға оқушылар есептелген мәні, сӛздер немесе қысқа сӛйлемдер тҥрінде жауап береді.
Толық жауапты қажет ететін сҧрақтарда оқушыдан максималды балл жинау ҥшін тапсырманың шешімін табудың әр қадамын анық кӛрсетуі талап етіледі. Оқушының математикалық тәсілдерді таңдай алу және қолдана алу қабілеті бағаланады. Тапсырма бірнеше қҧрылымдық бӛліктерден/сҧрақтардан тҧруы мҥмкін.

Тапсырма үлгілері және балл қою кестесі
«Физика» пәнінен 2-тоқсанға арналған жиынтық бағалаудың тапсырмалары
-
Тҧрғын толқынның екінші және тӛртінші тҥйіндерінің арақашықтығы 60 см. Толқын кӛзінің тербеліс периоды 2 с.
а) механикалық толқынның ҧзындығы мен таралу жылдамдығын анықтаңыз; [2]
b) толқын кӛзінің тербеліс амплитудасы 5 см болса, қума және тҧрғын толқын графигін салыңыз; [1]
-
Екі интерференцияланатын толқындардың фазалар айырымы 5π . Осы толқындардың таралу жолдарының айырымы 1,25 мкм.
-
толқын ҧзындығын анықтаңыз; [2]
-
фазалар айырымы арқылы байқалатын қҧбылысты сипаттаңыз; [1]
-
Гюйгенс принципін анықтаңыз: [1]
А) бірінші ретті толқындардың орағытып ӛтетін шептері қорытқы толқынның шебі болып саналады В) кеңістіктің ауытқу жеткен барлық нҥктелері екінші ретті толқын кӛздері болып табылады
С) екінші ретті толқындарды қабаттастыру кезінде интерференция орындалады
D) екінші ретті толқындардың орағытып ӛтетін шептері қорытқы толқынның шебі болып саналады Е) кеңістіктің ауытқу жеткен барлық нҥктелері бірінші ретті толқын кӛздері болып табылады
-
Суретте жоғары жиіліктегі тербелістердің модуляциялануы бейнеленілген.
а) амплитудалық (АМ) және жиіліктік (FM) модуляцияны ажыратыңыз; [1]
b) амплитудалық (АМ) және жиіліктік (FM) модуляцияның айырмашылықтары қандай екендігін сипаттап жазыңыз; [2]
-
Сандық форматтағы сигналдың екі артықшылығын жазыңыз. [2]
-
Суретте ADSL технологиясы кӛмегімен интернет, теледидар және телефон қызметтерін ҧсынудың принциптік сҧлбасы кӛрсетілген.

-
ADSL технологиясы кӛмегімен сигнал таратуды маңыздылығын бағалаңыз; [2]
-
Кеңжолақты интернетті тарату технологияларын анықтамаларымен сәйкестендіріңіз; [2]
-
оптикалық талшықтық коммуникациялық желінің екі артықшылығын толық бағалап жазыңыз; [2]
|
1 |
NGN (Next Generation Network) |
A |
кодтық модуляциясы бар бірнеше мәрте қол- жетімділік |
|
2 |
ADSL (Asymmetric Digital Subscriber Line) |
B |
ҥйге қосылған оптоталшықты кабель |
|
3 |
CDMA (Code Division Multiple Access) |
C |
асимметриялы сандық абоненттік желі |
|
4 |
EVDO (Evolution Data Optimized) |
D |
келешек ҧрпақтың байланыс желісі |
|
5 |
FTTH (Fiber to the Home) |
E |
жақсартылған, оптимизацияланған ақпарат тасымалдау |
-
Суретте кҥн сәулесі призмаға келіп тҥскені бейнеленген.
а) суретте кӛрсетілген бос орынға спектр тҥрлерін жазыңыз; [1]
b) В және С нҥктелеріне сәйкес келетін жиілік пен толқын ҧзындығын салыстырыңыз; [1]
-
Тәжірибе жҥзінде судың сыну кӛрсеткіші кӛрінетін спектрдің шеткі қызыл сәулелері ҥшін 1,329, ал шеткі кҥлгін сәулелері ҥшін 1,344 екені анықталды.
-
қызыл және кҥлгін сәулелердің суда таралу жылдамдығын анықтаңыз; [2]
-
қайсысының жылдамдығы артық және қаншаға? [2]
-
Суретте кӛрсетілгендей ҧзындығы 1 мм-ге 1000 штрихы бар дифракциялық тор толқын ҧзындығы 420 нм болатын монохроматикалық жарықтың параллель сәулесімен жарықтандырылады. Жарық торға перпендикуляр тҥседі. Дифракциялық торға жақын, оның артында жҧқа жинайтын линза орналасқан. Тордың артында линзаның фокустық ҧзындығына тең қашықтықта, дифракциялық сурет байқалатын экран торға параллель орналасқан.

Тӛменде берілген тҧжырымдардың «АҚИҚАТ» немесе «ЖАЛҒАН» екендігін анықтаңыз.
-
Бақыланатын дифракциялық максимумдардың ең жоғары реттілігі 2-ге тең. [2]
-
Егер сіз қҧлаған жарықтың толқын ҧзындығын арттырсаңыз, онда бақыланатын дифракциялық максимумдардың максималды реттілігі артады. [1]
-
Егер сіз жарықтың толқын ҧзындығын кемітсеңіз, экранда нӛл мен бірінші дифракциялық максимумдар арасындағы қашықтық азаяды. [1]
-
Егер сіз линзаны ҥлкен фокустық ҧзындықпен басқасына ауыстырсаңыз және экранды линзадан экранға дейінгі қашықтық объективтің фокустық ҧзындығына тең болатындай етіп орналастырсаңыз, онда нӛлдік және бірінші дифракциялық максимумдар арасындағы экрандағы қашықтық азаяды. [1]
-
Егер сіз дифракциялық торды периоды ҥлкен болатын тормен ауыстырсаңыз, онда бірінші дифракциялық максимум байқалатын бҧрыш артады. [1]
Жалпы балл: 30
2-тоқсан бойынша балл қою кестесі
-
№
Жауабы
Балл
Қосымша
ақпарат
1
λ=0,4 м υ=0,2 м/с
Қума және тҧрғын толқын графигін салады
3
2

Фазалар айырымы тҧрақты болуы /бір толқын кӛзінен таралу қажет
3
3
В
1
4
1) AM; 2) FM
АМ – радиотаратқыш тарататын электромагниттік тербеліс амплитудасын сол тербеліс жиілігінен тӛмен жиіліктегі тербеліс заңына сәйкес ӛзгерту.
FM – генератор жиілігінің модульдеуші (модуляциялаушы) кернеу әсерінен ӛзгеруі.
3
5
-
Сандық сигналды кез келген қашықтықтан қабылдауға болады;
-
Сандық таратылым кӛптеген арналарды қамтамасыз етуі мҥмкін;
2
Кез келген екі дҧрыс мысалды
қабылдауға болады
6
Әрбір қолданушының арнайы тҥрлендіргіші бар, ол сиг- налды декодтауға және теледидар экранында әртҥрлі бағ- дарламаларды кӛруге мҥмкіндік береді.
1D, 2C, 3A, 4E, 5B
Ӛзекше жарықты тасымалдауға арналған. Оптикалық қабық ӛзекшені қоршап тҧрады. Ол ӛзекшеде жарықтың толық шағылуын қамтамасыз етеді. Оптикалық қабықтың сыртында қосымша қорғағыш қабықша болады. Ол бір немесе бірнеше қабаттан тҧратын полимерден жасалынады және талшықты сыртқы зиянды әрекеттерден қорғайды. Басқа электр байланысы желілерінен ақпарат беру жылдамдығының жоғарлығымен (100 км-ден асатын қашықтыққа 107 — 109 бит/с)
Немесе аз шығындалуына байланысты алыс қашыктыққа ақпаратты ретрансляторсыз жеткізу мҥмкіндігі, бір немесе кӛп тасымалдаушы толқындарда модуляциялаудың кең жолақты, талшық диаметрінің жіңішкелігімен, пайдалануға икемді және арзан
6
Кез келген дҧрыс толық жауап 1 баллмен бағалануы керек
7
В қызыл С кҥлгін
Қызыл тҥстің толқын ҧзындығы кҥлгінге қарағанда ҧзынырақ, жиіліктері керсінше
2
Оқушы мҥмкін С нҥктесінде қызылдан кейінгі барлық тҥстерді жазуы мҥмкін. Дҧрыс деп
қабылдауға болады
8

4
9
1-А, 2-Ж, 3-А, 4-Ж, 5-Ж
6
Жалпы балл
30
-
-
ТОҚСАННЫҢ ЖИЫНТЫҚ БАҒАЛАУ СПЕЦИФИКАЦИЯСЫ
-
- тоқсанның жиынтық бағалауына шолу
Ұзақтығы – 40 минут
Балл саны – 30 балл
Тапсырма тҥрлері:
КТБ – кӛп таңдауы бар тапсырмалар;
ҚЖ – қысқа жауапты қажет ететін тапсырмалар;
ТЖ – толық жауапты қажет ететін тапсырмалар.
Жиынтық бағалаудың құрылымы
Берілген нҧсқа кӛп таңдауы бар тапсырмаларды, қысқа және толық жауапты сҧрақтарды қамтитын 10 тапсырмадан тҧрады.
Кӛп таңдауы бар тапсырмаларға оқушылар ҧсынылған жауап нҧсқаларынан дҧрыс жауабын таңдау арқылы жауап береді.
Қысқа жауапты қажет ететін сҧрақтарға оқушылар есептелген мәні, сӛздер немесе қысқа сӛйлемдер тҥрінде жауап береді.
Толық жауапты қажет ететін сҧрақтарда оқушыдан максималды балл жинау ҥшін тапсырманың шешімін табудың әр қадамын анық кӛрсетуі талап етіледі. Оқушының математикалық тәсілдерді таңдай алу және қолдана алу қабілеті бағаланады. Тапсырма бірнеше қҧрылымдық бӛліктерден/сҧрақтардан тҧруы мҥмкін.

Тапсырма үлгілері және балл қою кестесі
«Физика» пәнінен 3-тоқсанға арналған жиынтық бағалаудың тапсырмалары
-
Сфералық айна кӛмегімен кескін алу.
а)
сфералық айна алдында тҧрған май шамның кескінін алыңыз; [1]
b) алынған кескінді сипаттаңыз; [1]
-
Гюйгенс принципін тҧжырымдаңыз. [1]
-
Екі жағы дӛңес линзаның қисықтық радиустары 50 см тең. Линзаның сыну кӛрсеткіші 1.5. Есептеңіз:
-
линзаның оптикалық кҥшін; [2]
-
линзаның фокустық арақашықтығын; [1]
-
Ҥдеткіш радиоактивті ядроға 0,4с жылдамдық берді. Ҥдеткіштен шыққан кезде ядро ӛзінің қозғалыс бағытында β-бӛлшекті ҥдеткішке қатысты 0,75с жылдамдықпен лақтырды.
а) бӛлшектің ядроға қатысты жылдамдығын анықтаңыз. [2]
-
Тӛменде толық емес электромагниттік толқындар шкаласы бейнеленген.
|
Радиотолқын |
|
Инфрақызыл сәуле |
|
Ультракҥлгін сәуле |
|
Гамма сәуле |
а) белгісіз электромагниттік сәулеленудің атауын жазыңыз; [1]
b) суреттегі рентген тҥтікшесіне қарап, рентган сәулелерінің пайда болуын тҥсіндіріңіз; [1]

с) Тежегіш сәулелену спектрінде толқын ҧзындығы 0,015 нм сәулелер пайда болатын минимал кернеуді анықтаңдар. [2]
-
а) Тӛмендегі суретте фотоэлемент қҧрылғысының сызбасы берілген. Суретке қарап фотоэлементтің жҧмыс істеу принципін тҥсіндіріңіз; [1]

b) Фотоэлектрондардың максимал жылдамдығы u=3000 км/с болу ҥшін вольфрам пластинаның бетін қандай жиіліктегі жарықпен сәулелендіру керек? [2]
с) Эйнштейн фотоэффект қҧбылысын қалай тҥсіндірді? [1]
-
а) тӛмендегі бос орынды толтырыңыз. [1]
Ньютонның жарық табиғаты туралы ҧсынған теориясы деп аталады. Гюйгенс жарық табиғаты туралы ҧсынған теориясы деп аталады.
b) Гюйгенстің теориясын дәлелдейтін жарық қасиеттеріне екі мысал келтіріңіз. [1]


с) Ньютонның жарық туралы теориясының дҧрыстығын қандай қҧбылыс дәлелдейді және оны
кім ашқан? [2]
-
Радиоактивті заттың активтілігі 8 кҥн ішінде тӛрт есе кеміген.
-
берілген заттың жартылай ыдырау периодын анықтаңыз; [2]
-
егер заттың ыдырауға тҥскенге дейінгі массасы 4 г болса, ыдырап кеткен массасын анықтаңыз; [2]
-
27Al13 алюминийдің изотопын α-бӛлшектермен атқылағанда тҥзілетін 30P15 фосфордың радиоактивті изотопы позитрон бӛліп шығарып ыдырайды.
-
екі реакцияның теңдеулерін жазыңыз; [3]
-
фосфор ыдырағанда қандай ядро тҥзіледі? [1]
-
Суретте ядролық реактордың сҧлбасы берілген.

-
ядролық реактордың қҧрылысын сипаттаңыз; [1]
-
ядролық реактордың жҧмыс істеу принципін сипаттаңыз; [1]
Жалпы балл: 30
3-тоқсан бойынша балл қою кестесі
|
№ |
Жауабы |
Балл |
Қосымша ақпарат |
|
1 |
Шын, ҥлкейтілген, тӛңкерілген |
2 |
|
|
2 |
Ортаның ауытқу жеткен кез келген нҥктесі екінші ретті толқындардың кӛзі болып табылады. Екінші ретті толқын- дардың орағытып ӛтетін шептері қорытқы толқынның шебі болып табылады. |
1 |
|
|
3 |
D=2 дпрт, F=0,5 м |
3 |
|
|
4 |
|
2 |
|
|
5 |
Микротолқын, кӛрінетін жарық, рентген сәулесі Жылдам электрондар кенеттен тежелгенде пайда болатын толқын ҧзындығы ӛте қысқа электромагниттік сәулелер рентген сәулелері болып табылады. U=80 кВ |
4 |
|
|
6 |
Ауасы сорып шығарылған шыны баллонның ішкі беті К (катод) ӛте сезімтал, баллон ішіне жарық тҥсуіне арналған шағын мӛлдір бӛлігі бар қабатпен қапталған. Баллон центрінде А (анод) металл сақина орналасқан. Электродтардан фотоэлементті электр тізбегіне қосуға арналған ӛткізгіштер жасалған. Жарыққа сезімтал қабат ретінде шығу жҧмысы аз сілтілік металдардан жасалған тозаңдалған қабаттар қолданылады.
Фотоэффектінің теориялық негіздемесін 1905 жылы А.Эйнштейн берген болатын. Ол жарық Планк тҧжырымдағандай кванттармен сәулеленіп қана қоймай, сонымен қатар ҥлестермен де таралады және жҧтылады, яғни энергиясы E=һν фотондар деп аталатын бӛлшектер ағынынан тҧрады деп болжады. |
4 |
|
|
7 |
Корпускулярлық; Толқындық Дифракция, интерференция және т.б. Фотоэффект/ Г.Герц 1887 ж. |
4 |
|
|
8 |
m=m0*2 -t/T |
4 |
|
|
9 |
|
4 |
|
-
Кремний
10
Реактор, бу турбинасы, генератор, конденсатор, сорғыш және т.б.
Ядролық реактор – ауыр ядролардың бӛлінуі басқарылатын тізбекті ядролық реакция жҥзеге асырылатын қондырғы.
2
Жалпы балл
30
-
ТОҚСАННЫҢ ЖИЫНТЫҚ БАҒАЛАУ СПЕЦИФИКАЦИЯСЫ
-
- тоқсанның жиынтық бағалауына шолу
Ұзақтығы – 40 минут
Балл саны – 30 балл
Тапсырма тҥрлері:
КТБ – кӛп таңдауы бар тапсырмалар;
ҚЖ – қысқа жауапты қажет ететін тапсырмалар;
ТЖ – толық жауапты қажет ететін тапсырмалар.
Жиынтық бағалаудың құрылымы
Берілген нҧсқа кӛп таңдауы бар тапсырмаларды, қысқа және толық жауапты сҧрақтарды қамтитын 10 тапсырмадан тҧрады.
Кӛп таңдауы бар тапсырмаларға оқушылар ҧсынылған жауап нҧсқаларынан дҧрыс жауабын таңдау арқылы жауап береді.
Қысқа жауапты қажет ететін сҧрақтарға оқушылар есептелген мәні, сӛздер немесе қысқа сӛйлемдер тҥрінде жауап береді.
Толық жауапты қажет ететін сҧрақтарда оқушыдан максималды балл жинау ҥшін тапсырманың шешімін табудың әр қадамын анық кӛрсетуі талап етіледі. Оқушының математикалық тәсілдерді таңдай алу және қолдана алу қабілеті бағаланады. Тапсырма бірнеше қҧрылымдық бӛліктерден/сҧрақтардан тҧруы мҥмкін.

Тапсырма үлгілері және балл қою кестесі
«Физика» пәнінен 4-тоқсанға арналған жиынтық бағалаудың тапсырмалары
-
Нанотехнологиялардың қолданыс аясын сипаттап жазыңыз.
-
нанотехнология техникада:
-
нанотехнология медицинада:
[1]
[1]
-
а) физикалық шамаларды сипатталарымен сәйкестендіріңіз. [2]
-
1
Жҧлдыздың жарқырауы
A
жерден 10 пк қашықтықтағы жҧлдыздың кӛрінерлік
жҧлдыздық шамасы
2
Абсолют жҧлдыздық шама
B
аспан шырақтарының жасайтын жарықтарының
ӛлшемі
3
Жҧлдыздық шама
C
бірлік уақыт ішінде жҧлдыз бетінен шығарылатын
энергия
4
Кӛрінерлік жҧлдыздық
шама
D
ҧғымын алғаш рет б.з.б. II ғасырда Гиппарх енгізген
b) абсолют жҧлдыздық шама мен кӛрінетін жҧлдыздық шаманың айырмашылығын жазыңыз;
[2]
-
Кӛрінерлік жҧлдыздық шамасы m=2 болатын жҧлдыз 250 пк қашықтықта орналасқан. Осы жҧлдыздың абсолютті жҧлдызды шамасын анықтаңыз. [2]
-
Кҥннің абсолют шамасы M=+4,8m . Оның кӛрінерлік жҧлдыздық шамасын табыңдар. Кҥнге дейінгі қашықтықты 150 млн км деп есептеңдер. [2]
-
Кҥн сәулесінің спектрін анықтау барысында оның энергетикалық жарқырауының спектрлік максимумына сәйкес келетін толқын ҧзындығы 500 нм. (=5.67*10-8 Вт/м2K4 , b=2.9*103 м*К) Кҥнді абсолют қара дене деп есептеп, Абсолют температурасын анықтаңыз. [2]
-
Жоғарыда берілген (4) тапсырманың мәліметтерін қолдана отырып, абсолют қара дененің энергетикалық жарқырауын анықтаңыз. [2]
-
Суретте Герцшпрунг-Рассел диаграммасы бейнеленген.

а) тӛменде кӛрсетілген бес тҧжырымнан дҧрысын(тарын) анықтап дӛңгелектеп белгілеңіз:
-
Ақ ергежейлердің массасы Кҥннің массасынан едәуір асып тҥседі;
-
Алыптардың жарықтығы Кҥннің жарықтығынан он мың есе кӛп;
-
Антарес жҧлдызы негізгі тізбектегі Жҧлдыздарға жатады, ӛйткені оның радиусы кҥн радиусынан 900 есе кӛп;
-
Кҥн O спектрлік класына жатады;
-
негізгі тізбекте жҧлдыздардың шамамен 90% -ы орналасқан; [1]
b) (а) тапсырмасында берілген бес тҧжырымның қателерін анықтап, неліктен қате екендігін тҥсіндіріп жазыңыз. [3]
-
Бақылаушыдан алыстап бара жатқан галактиканың сәулелену спектріндегі қызыл ығысу 0,003.
-
галактиканың біздің Галактикамыздан алыстау жылдамдығын анықтаңыз; [2]
-
оған дейінгі қашықтықты анықтаңыз; [2]
-
a) Ҥлкен жарылыстың жалпылама теориясы бойынша Әлемнің эволюциясын тӛрт негізгі кезеңдерін жазыңыз: [1]
1)
2)
3)
4)
b) Әлемнің заманауи модельдерінің авторларын атаңыз; [1]
с) бҧл модельдердің мәні неде? [1]
-
Оқушы мыстың тығыздығын анықтау барысында тӛмендегідей мәліметтерді алған: масса m=500±0.1 g
ҧзындығы l=100.0±0.1 cm ені w=20.0±0.1 cm қалыңдығы t=0.30±0.01 mm
Тӛмендегі формуланы қолдана отырып ρ= ?/???
а) алюминий тығыздығын анықтаңыз; [1]
-
ӛлшеудің салыстырмалы қателігін анықтаңыз; [2]
-
ӛлшеудің абсолют қателігін анықтаңыз; [2]
Жалпы балл: 30
4-тоқсан бойынша балл қою кестесі
-
№
Жауабы
Балл
Қосымша
ақпарат
1
Сканерлейтін туннелді микроскоп/ нанатҥтікшелер газды сақтауға қауіпсіз материал/ӛрт сӛндірушілерге арналған ыңғайлы киімдер тігуде және тағы басқа Нанобӛлшектер дәрілерді жасушаларға жеткізуге арналған мінсіз әдіс. Жаңа технологиялардың арқасында нанобӛлшектер әртҥрлі ауруларды емдеуге арналған ең кӛп тараған дәрілердің бірі. Инфрақызыл лазерінің жарығы тері арқылы ӛтіп, электрондардың резонансты тербелістерін тудыру арқылы наносфераларды қыздырады. Жоғары температура ісік жасушаларын ӛлтіреді, ал айналасындағы сау жасушалар
зақымданбайды.
2
Кез келген дҧрыс жауапы бағалауға болады
2
1-C, 2-A, 3-D, 4-B
10 парсек стандарт қашықтықтағы аспан шырағының жҧлдыздық шамасын абсолют жҧлдыздық шама деп атайды. Абсолют жҧлдыздық шама (кӛрінерлік жҧлдыздық шамадан ӛзгешелігі) шырақтардың физикалық қасиеттерін,
жарқырауын сипаттайды. Абсолют жҧлдыздық шама (М) кӛрінерлік жҧлдыздық шамамен (m) белгіленеді
4
3

2
4

2
5

2
6

2
7
2 және 5
1) Диаграммада бҧл жҧлдыздардың жарықтығы тӛмен екендігі кӛрсетілген, ал масса жарықтылықпен байланысты. Яғни, масса неғҧрлым кӛп болса, соғҧрлым жарық болады;
-
Мҧндай радиустағы жҧлдызды аса алыптарға жатқызу керек;
-
Кҥн – G класына жататын орташа ӛлшемді жҧлдыз;
4
8

4
9
1) Адронды; 2) Лептон; 3) Фотонды; 4) Жҧлдызды
1917 ж. А.Эйнштейн, 1717 ж. Виллем де Ситтер, 1922 ж. А.Фридман
Эйнштейн әлемдік кеңістік біртекті және изотропты, материя орта есеппен біркелкі таралған, материялардың гравитациялық тартылуы әмбебап ғарыштық тебілумен
3
толықтырылады деп болжады.
Ситтер кеңею процесі ӛте ҥлкен қашықтықта ғана байқалады деп тҧжырымдады.
Фридман қазіргі кезде қабылданған Әлемнің пайда болуы мен эволюциясының космологиялық мәселесінің шешімін ҧсынды.
10
a) 0,8 г/см3 b)
c)5
Жалпы балл
30
-
![]()
І-ТОҚСАН
(қоғамдық-гуманитарлық бағыт)
«Механикалық тербелістер» және «Электромагниттік тербелістер» бөлімдері бойынша жиынтық бағалау
-
Оқу мақсаттары
11.4.1.1 – эксперименттік, аналитикалық және графиктік тәсілмен гармоникалық тербелісті (х(t), v(t), a(t)) зерттеу;
11.4.2.2 – механикалық тербелістермен электромагниттік тербелістерді сәйкестендіру;
Бағалау критерийі
Білім алушы
-
гармоникалық тербелістерді сипаттайды;
-
тербеліс графигін оқиды және ҥдеудің орын ауыстыруға тәуелділік графигін тҧрғызады;
-
тербелісті сипаттайтын шамаларды анықтайды;
Ойлау дағдыларының деңгейлері
Қолдану
Орындау уақыты
25 минут
-
Тапсырмалар
-
1-суретте тербелістегі дененің орын ауыстыруының уақытқа тәуелділік графигі берілген.

Анықтаңыз: [3]
-
Тербеліс периодын,
-
Амплитуданы,
-
Циклдік жиілікті
тербеліс периоды = с
амплитуда = м
циклдік жиілік= рад/с
-
1-суреттегі графикте: [2]
-
дененің жылдамдығы максималды болатын орынды V әрпімен белгілеңіз;
-
дененің ҥдеуі максималды болатын орынды А әрпімен белгілеңіз.
-
Жҥктен және серіппеден тҧратын жҥйе жиілігі 8 Гц-ке тең тербеліс жасайды. Тербеліс амплитудасы 40 мм-ге тең.
-
Тербелмелі жҥйенің циклдік жиілігін анықтаңыз
циклдік жиілігі = [2]
-
Тербелмелі жҥйенің максимал жылдамдығын анықтаңыз
максимал жылдамдығы= [2]
-
Тербелмелі контур дегеніміз не? Тербелмелі контурдың меншікті жиілігі 0 неге тең? [2]
-
Тербелмелі контурда бір тҧрақты және бір айнымалы шаманы ата [2]
-
Идеалды тербелмелі контурда еркін электромагниттік тербеліс жасалады. Кестеде зарядтың уақытқа тәуелді ӛзгерісі кӛрсетілген.
-
-
t/*10-6 c
0
1
2
3
4
5
6
7
8
9
q/*10-9 Кл
2
1,5
0
-1,5
-2
-1,5
0
1,5
2
1,5
-
Зарядтың максимал мәнін, тербеліс периодың және жиілігін тап. [3]
Жалпы балл: 16
-
Бағалау критерийі
Тапсырма
№
Дескриптор
Балл
Білім алушы
Тербеліс графигін оқиды және ҥдеудің орын ауыстыруға тәуелділік графигін тҧрғызады
1
Графиктен тербеліс периодын анықтайды
1
Графиктен амплитуданы анықтайды
1
Циклдік жиілікті есептейді
1
2
Графикте дененің жылдамдығы максималды
болатын нҥктені белгілейді
1
Дененің ҥдеуі максималды болатын нҥктені
белгілейді
1
3 (а)
Формуланы жазады
1
Есептейді
1
3 (b)
Формуланы жазады
1
Есептейді
1
Еркін тербелістердің пайда болуын сипаттайды
4
Тербелмелі контурды тҥсіндіреді
1
Меншікті жиілікті анықтау формуласын біледі
1
5
Бір тҧрақты шаманы атайды
1
Бір айнымалы шаманы атайды
1
Гармоникалық тербеліс теңдеуін қолданады
6
Зарядтың амплитудалық мәнін тербелістің периодын жиілігін анықтайды
1
1
1
Жалпы балл
16
«Айнамалы ток» бөлімі бойынша жиынтық бағалау
-
Оқу мақсаттары
11.4.3.2 – физикалық шамаларды (период, жиілік, кернеу, ток кҥші мен электр қозғаушы кҥші максималды және әсерлік мәндері ) қолданып, айнымалы токты сипаттау;
11.4.3.5 – электр энергиясын тасымалдау ҥшін жоғары кернеудегі айнымалы токтың экономикалық артықшылықтарын тҥсіндіру;
-
– резонанс шартын тҥсіндіру және оның қолданылуына мысал келтіру;
-
– резонанстық жиілікті есептеу;
Бағалау критерийі
Білім алушы
-
Электр энергиясын тасымалдау процесін трансформатор қанша есе энергия шығынын азайтатындығын тҥсіндіре отырып есептейді;
-
Гармоникалық тербеліс графигі арқылы амплитудалық, әсерлік мәндерді анықтайды;
-
Резонанс қҧбылысын тҥсіндіреді;
Ойлау дағдыларының деңгейлері
Қолдану
Орындау уақыты
30 минут
-
Тапсырмалар
-
(а) Электр станцияларының қасында қандай трансформатор қолданылады? [1]
(b) орам сандарының қатынасы ?1/?2 = 0,05 трансформатор қанша есе энергия шығынын азайтады? [3]
-
2-суретте 50 Гц жиіліктен тербелетін айнымалы кернеудің уақытқа тәуелділік графигі берілген.

2-сурет
Анықтаңыз: [4]
-
Графиктегі ?1 уақытты,
-
Кернеудің максималды мәнін,
-
Кернеудің әсерлік мәнін,
-
Кернеудің орташа мәнін.
-
Айнымалы ток кӛзі кедергісі 2,4 Ом болатын резисторға тізбектей жалғанған. 2-суреттегі мәліметтерді пайдаланып резистордың тҧтынатын қуатын есептеңіз. [2]
-
Кернеудің амплитудалық мәні тҧрақты, ал гармоникалық тербелістер жиілігін ӛзгертіп отыруға болатын айнымалы ток генераторына ҥш белгісіз А, В және С элементтерін қосу арқылы ток кҥшінің жиілікке тәуелділік графиктері алынды (3-сурет).

-
Графиктегі әріптердің тізбекке қосылған элементтермен сәйкестігін анықтаңыз:
-
Актив кедергі
-
Конденсатор
-
Катушка
-
Актив кедергіден, конденсатордан және катушкадан тҧратын контур.
-
-
-
-
А
В
С
-
-
-
-
Резонанстық тізбектер не ҥшін қолданылады?
-
Резонанстық жиілікті есептеу формуласын жазыңыз.
[5]
Жалпы балл: 15
-
Бағалау критерийі
Тапсырма
№
Дескриптор
Балл
Білім алушы
Электр энергиясын тасымалдау процесін сипаттайды
1
Электр станцияларының қасында қандай
трансформатор қолданылатындығын жазады
1
Орам сандарының қатынасын ескере отырып,
трансформатор қанша есе энергия шығынын азайтатындығын дҧрыс есептейді
1
1
1
Гармоникалық тербеліс графигі арқылы амплитудалық, әсерлік мәндерді анықтайды
2
Графиктен мәліметтерді анықтай отырып,
уақытты табады
1
Кернеудің максималды мәнін анықтайды
1
Кернеудің әсерлік мәнін табады
1
Кернеудің орташа мәнін анықтайды
1
3
Қуатты есептеу формуласын біледі
1
Резистордың тҧтынатын қуатын есептейді
1
Резонанс қҧбылысын тҥсіндіреді
4
А графигіне сәйкес келетін элементті табады
1
В графигіне сәйкес келетін элементті табады
1
С графигіне сәйкес келетін элементті табады
1
Резонанс қҧбылысының қолданылуын
тҥсіндіреді
1
Резонанстық жиілікті есептеу формуласын
жазады
1
Жалпы балл
15
IІ-ТОҚСАН
«Электромагниттік толқындар» бөлімі бойынша жиынтық бағалау
-
Оқу мақсаттары
-
– электромагниттік толқындардың пайда болу шарттарын тҥсіндіру және олардың қасиеттерін сипаттау;
-
– жоғары жиілікті электромагниттік тербелістердің амплитудалық (АМ) және жиіліктік (FM) мен детектрленуін сипаттау;
11.5.1.4 – аналогтықпен салыстырғанда сандық форматтағы сигналды берудің артықшылықтарын тҥсіндіру;
Бағалау критерийі
Білім алушы
-
Электромагниттік толқындардың қасиеттерін сипаттайды;
-
Жоғары жиілікті электромагниттік тербелістердің детектрленуін сипаттайды;
-
Аналогтық және сандық сигналдарды ажыратады және артықшылығын тҥсінеді;
Ойлау дағдыларының деңгейлері
Білу және тҥсіну
Орындау уақыты
30 минут
-
Тапсырмалар
-
а) Ауада таралатын дыбыс және электромагниттік толқындардың толқын ҧзындығы 10 см. Екі толқынды сипаттаңыз (естіледі, естілмейді; жарық, радиотолқын және т.б.). [1]
b) Неліктен екі толқынның толқын ҧзындығы бірдей болса да, қасиеттері әртҥрлі? [1]
-
Қандай заттар электромагниттік толқындарды жақсы шағылдырады: металдар немесе диэлектриктер? Себебін тҥсіндіріңіз. [2]
-
График бір жиілікті ақпараттық сигналмен
модуляцияланған тасымалдаушы толқынның қуат спектрін кӛрсетеді.
а) Атауын кӛрсетіңіз:
1) осы радио сигналдың модуляциясының тҥрі ………………………………………….. [1] 2) 100 кГц жиілік компоненті ………………………………………………………………. [1]
-
90 кГц және 110 кГц жиіліктер компоненттері ………………………………………... [1]
-
Радиосигналдың ӛткізу қабілеттілігін кӛрсетіңіз
Ӛткізу қабілеті = кГц [1]
-
AM (амплитудалық модуляция) нені білдіретінін тҥсіндіріңіз. [1]
-
Ақпараттар аналогтық немесе сандық тҥрде берілуі мҥмкін.
а) Сҧрақтарға жауап беріңіз
-
сандық сигнал деген не? [1]
-
аналогтық берумен салыстырғанда деректерді сандық берудің екі артықшылығы. 1) ………………………………………………………………
2) ……………………………………………………………… [2]
b) Суреттегі блок-диаграмма музыканың сандық берілуін білдіреді.

Атын атаңыз:
Y деп белгіленген блоктар, ……………………………………………………………….. [1] Х деп белгіленген блок, …………………………………………………………………… [1]
(ii) Параллельді-тізбекті тҥрлендіргіштің қызметін сипаттаңыз. [1]
Жалпы балл: 15
-
Бағалау критерийі
Тапсырма
№
Дескриптор
Балл
Білім алушы
Электромагниттік толқындардың қасиеттерін сипаттайды
1
Дыбыс және электромагниттік толқындарды
сипаттайды
1
Екі толқынның қасиеттерін біледі
1
2
Электромагниттік толқынды жақсы
шағылдыратын затты біледі
1
Зарттардың толқындарды шағылдыруын
тҥсіндіреді
1
Жоғары жиілікті электромагниттік тербелістердің детектрленуін сипаттайды
3
Модуляция тҥрін анықтайды
1
100 кГц жиілікті толқын атын жазады
1
Жиіліктер компонентін сипаттайды
1
Радиосигналдың ӛткізу қабілетін анықтайды
1
4
АМ-ға сипаттама береді
1
Резонанс қҧбылысын тҥсіндіреді
5
Сандық сигналға анықтама береді
1
Сандық сигналдың екі артықшылығын атайды
1
Блок диаграммадағы Y-тің атауын жазады
1
Блок диаграммадағы Х-тің атауын жазады
1
Параллельді-тізбекті тҥрлендіргіштің
қызметін біледі
1
Жалпы балл
15
«Толқындық оптика» бөлімі бойынша жиынтық бағалау
-
Оқу мақсаттары
-
– жарық толқындарының интерференциясы және дифракциясы пайда болуын шарттарын сипаттау;
-
– дифракциялық торды толқын ҧзындығын анықтау ҥшін қолдану;
Бағалау критерийі
Білім алушы
-
Интерференция қҧбылысын сипаттайды;
-
Дифракция қҧбылысын сипаттайды;
-
Дифракциялық тор формуласын қолданады;
Ойлау дағдыларының деңгейлері
Қолдану
Орындау уақыты
25 минут
-
Тапсырмалар
-
Екі жарық кӛзінің интерференциялық жолақтарын бақылау ҥшін, кӛзге кӛрінетін жарықпен тәжірибе ӛткізілді.
а) Интерференциялық жолақты бақылау ҥшін, тапсырманы орындауға қажет екі шартты кӛрсетіңіз?
1. ..............................................................................................................
2. .............................................................................................................. [2]
b)
Лазерден шыққан, кӛзге кӛрінетін жарық қос саңылауға келіп тҥседі.
Екі саңылау аралығы 0,5 мм.-ге тең. Қос саңылаудан шыққан сәуле
2,53 м қашықтықта орналасқан экранға келіп тҥседі.
Экранда интерференциялық кӛрініс пайда болады. 2-суретте – толық масштабты кӛріністің бір бӛлігі.

2-суреттен араласқан жолақтардың арасындағы х арақашықты нақты дәлдікпен анықтауға болатындай ӛлшемдер жасаңыз:
x = мм [2]
Лазер қҧрайтын жарықтың толқын ҧзындығын есептеңіз.
жарықтың толқын ҧзындығы = м [2]
-
Екі когеренті жарық кӛзінен келіп тҥскен толқын ҧзындығы λ болатын сәулелердің жол айырымы 1,5λ-ға тең болса біз қандай интерференция бақылаймыз? [1]
-
Жарықтың толқын ҧзындығын ӛлшеу ҥшін дифракциялық тор қолданылады. Тордың саңылауларының арасындағы арақашықтығы 1,0*10-6 м. Бірінші ретті екі максимумдар арасындағы бҧрыш 600.

Жарық толқынның ҧзындығы неге тең? [3]
-
Периоды d дифракциялық торға толқын ҧзындығы λ параллель жарық сәулелері перпендикуляр тҥседі. Егер тҥскен сәуленің толқын ҧзындығын арттырсақ, онда бақыланатын дифракциялық максимумдар саны және дифракциялық сурет центрі мен бірінші дифракциялық максимум арасындағы қашықтық қалай ӛзгереді.
Әр шама ҥшін ӛзгеріс сипаттамасын анықтаңыз:
-
артады;
-
кемиді;
-
ӛзгермейді.
Кестеге сандарды сәйкес ретпен орналастырыңыз: [2]
-
Бақыланатын бас дифракциялық
максимумдар саны
Дифракциялық суреттің центрі мен бірінші
дифракциялық максимум арақашықтығы
Жалпы балл: 12
-
Бағалау критерийі
Тапсырма
№
Дескриптор
Балл
Білім алушы
Интерференция қҧбылысын сипаттайды
1 (а)
Интерференциялық жолақты бақылау ҥшін 1-
ші шартты жазады
1
Интерференциялық жолақты бақылау ҥшін 2-
ші шартты жазады
1
2
Сҧраққа дҧрыс жауап береді
1
Дифракция қҧбылысын сипаттайды
3
Бас дифракциялық максимумдар саны қалай
ӛзгеретінін сипаттайды
1
Дифракциялық суреттің центрі мен бірінші дифракциялық максимум арақашықтығының
ӛзгерісін анықтайды
1
Резонанс қҧбылысын тҥсіндіреді
1 (b)
х арақашықты нақты дәлелдікпен анықтайды
1
Мәнін мм-мен ӛрнектеп жазады
1
Толқын ҧзындығын есептеу формуласын
біледі
1
Толқын ҧзындығын анықтайды
1
3
Дифракциялық тор формуласын қолданады
1
Толқын ҧзындығын есептеу формуласын
қорытып шығарады
1
Толқын ҧзындығын анықтады және ӛлшем
бірлігін кӛрсетеді
1
Жалпы балл
12
«Геометриялық оптика» бөлімі бойынша жиынтық бағалау
-
Оқу мақсаттары
-
– шынының сыну кӛрсеткішін эксперименттік жолмен анықтау;
-
– жарық сигналдарын тасымалдауда оптоталшықты технологияның артықшылығын тҥсіндіру;
-
– телескоп, микроскоп және лупадағы сәуленің жолын салу және тҥсіндіру;
Бағалау критерийі
Білім алушы
-
Снеллиус заңын қолданады;
-
Оптоталшықтардың қолданылуын тҥсіндіреді;
-
Оптикалық қҧралдарда сәулелер жолын салады;
Ойлау дағдыларының деңгейлері
Қолдану
Жоғарғы деңгей дағдылары
Орындау уақыты
25 минут
-
Тапсырмалар
-
Эксперимент барысында жарық сәулесі ауадан шыныға ӛткен. Оқушының эксперимент нәтижесі бойынша алған суретін қолдана отырып, шынының сыну кӛрсеткішін анықтаңыз. D=3,3 см [4]

-
Су бетіне ауадан жарық сәулесі тҥседі. Судың тӛменгі қабатында шыны орналасқан. Шынының сыну кӛрсеткіші судың сыну кӛрсеткішінен жоғары екені белгілі. Қайсы суретте жарық сәулесінің жҥру жолы дҧрыс кӛрсетілгенін анықтаңыз. [2]

-
а) Оптикалық талшықты қолдану кезінде қандай қҧбылысқа негіздейді? Қҧбылысты сипаттаңыз. [2]
b) Оптикалық талшықтар ақпаратты тасымалдау ҥшін қолданылады. Оны қолданудың 2 артықшылығын және 1 кемшілігін жазыңыз.
Артықшылығы:
1. .................................................................................................
2. .................................................................................................
Кемшілігі:
1. ................................................................................................. [3]
-
Суретте алдында орналасқан нәрсе мен микроскоптың окуляры мен объективі бейнеленген.
(а) микроскоп арқылы нәрсенің кескінін қандай болуы мҥмкін. [3]
-
микроскоптағы кескін ҥлкен болу ҥшін, бірінші линзадағы кескін шамамен қай жерде шығуы қажет? [1]
-
Неліктен кескін тура немесе тӛңкерілген болуы мҥмкін. [2]
Жалпы балл: 17
-
Бағалау критерийі
Тапсырма
№
Дескриптор
Балл
Білім алушы
Снеллиус заңын қолданады
1
Сыну бҧрышын анықтау ҥшін формуланы
қолданады
1
Сыну бҧрышын есептейді
1
Снеллиус заңын қолданады
1
Сыну кӛрсеткішін анықтайды
1
2
Оптикалық тығыздықты ескере отырып,
сәулелер жолын анықтайды
2
Оптоталшықтардың қолданылуын тҥсіндіреді
3
Оптикалық талшықта іске асатын қҧбылысты
атайды
1
Оптикалық талшықта іске асатын қҧбылысты
сипаттайды
1
Оптикалық талшықты қолданудың екі
артықшылығын біледі
2
Оптикалық талшықты қолданудың бір
кемшілігін біледі
1
Резонанс қҧбылысын тҥсіндіреді
4
микроскоп арқылы нәрсенің кескінін қандай
болатынын біледі
3
микроскоптағы кескін ҥлкен болу ҥшін, бірінші линзадағы кескін шамамен қай жерде
шығуы қажет екендігін тҥсіндіреді
1
Неліктен кескін тура немесе тӛңкерілген
болуы мҥмкін екендігін дҧрыс бағалайды
2
Жалпы балл
17
IIІ-ТОҚСАН
«Атомдық және кванттық физика» бөлімі бойынша жиынтық бағалау
-
Оқу мақсаттары
-
– электромагниттік сәулеленудің корпускулярлық- толқындық табиғатын дәлелдейтін мысалдар келтіру; олардың пайда болу табиғаты мен затпен әрекеттесуіне қарай ажырату;
-
– спектрлік талдау әдісін және оның қолданылуын сипаттау;
11.7.1.4 – фотоэффектінің табиғатын тҥсіндіру және оны қолдануға мысалдар келтіру;
Бағалау критерийі
Білім алушы
-
Жарықтың табиғатын тҥсіндіреді;
-
Спектрлік анализге талдау жасай алады;
-
Фотоэффект қҧбылысын сипаттайды;
Ойлау дағдыларының деңгейлері
Қолдану
Орындау уақыты
25 минут
-
Тапсырмалар
-
Жарықтың толқындық және корпускулярлық қҧбылыстарын дәлелдейтін мысалдар келтіріңіз. [2]
-
(а) Гелий элементінің ашылуына себеп болған әдісті атаңыз. [1]
(b) Спектрдің тҥрлерін атаңыз [2]
(с) жҧтылу спектрі қалай пайда болады? [3]
-
Металдың бетін электромагниттік сәулемен сәулелендіру барысында орын алатын электр қҧбылысы, атап айтқанда электрондардың металдан ҧшып шығуы фотоэлектрондық эмиссия деп аталады.
-
Фотоэффектінің қызыл шекарасының болуы және сәуленің бӛліктеп шығуы неліктен электромагниттік сәулеленудің корпускулалық табиғатын дәлелдейтінін, ал оның ӛз кезегінде толқындық теорияға қарама-қайшы келетінін тҥсіндіріңіз. [3]
-
Жиілігі f болатын монохроматтық электромагниттік сәуле металл бетіне тҥседі. Фотоэлектрлік эмиссия теңдеуі: ℎ = ? + ½ ??2max
Келесі физикалық шамаларды ата:
(i) ℎ....................................................................................... [1]
(ii) ? ....................................................................................... [1]
(iii) ½ ??2max ......................................................................... [1]
Жалпы балл: 12
-
Бағалау критерийі
Тапсырма
№
Дескриптор
Балл
Білім алушы
Жарықтың табиғатын тҥсіндіреді
1
Жарықтың толқындық қҧбылысын
сипаттайтын мысал келтіреді
1
Жарықтың корпускулярлық қҧбылысына
мысал келтіреді
1
Спектрлік анализге талдау жасай алады
2
Гелий элементінің ашылуына себеп болған
әдісті дҧрыс атайды
1
Спектр тҥрлерін дҧрыс атайды (екі спектрге
бір балл)
2
Жҧтылу спектрінің пайда болу шарттарын
дҧрыс атап жазады
3
Фотоэффект қҧбылысын сипаттайды
3
Фотоэффект қҧбылысын біледі
1
Фотоэффектінің қызыл шекарасын тҥсінеді
1
Оның қандай теорияны дәлелдейтінін
тҥсіндіреді
1
Эмиссия теңдеуіндегі шамаларды сипаттайды
1
Жалпы балл
12
«Атом ядросының физикасы» және «Нанотехнология және наноматериалдар» бөлімдері бойынша жиынтық бағалау
-
Оқу мақсаттары
-
– табиғи радиоактивті ыдырау қҧбылысын (α, β және γ) және жартылай ыдырау периоды терминін тҥсіндіру;
-
– графикалық тәсіл арқылы жартылай ыдырау периодын анықтау;
11.7.2.5 – радиоактивті материалдарды ӛңдеуді, қолдануды, сақтауды және олармен жҧмыс кезіндегі қауіпсіздік ережелерін сипаттау;
Бағалау критерийі
Білім алушы
-
Радиоактивтілік қҧбылысын тҥсіндіреді;
-
Жартылай ыдырау периодын анықтайды;
-
Қауіпсіздік ережелерін сақтайды;
Ойлау дағдыларының деңгейлері
Қолдану
Орындау уақыты
30 минут
-
Тапсырмалар
-
(а) Радиоактивтілікті ашқан кім?
(b) Радиоактивтілік неліктен кездейсоқ?

(с) α-бӛлшек деген не?
-
β- бӛлшек деген не?
-
γ-сәуле деген не?
-
Жартылай ыдырау периоды деген не?

-
1986 жылы Чернобыль АЭС-дағы жарылыс кезінде ауаға радиоактивті заттар таралды. Бӛлінген радиоактивті заттың бірі йод-131 болатын. Йод-131-дің кейбірі сиыр сҥтіне тҥсті. Осы зақымдалған сҥттегі ҥлгінің активтілігін 4 апта ішінде әр апта сайын ӛлшеп отырды. Нәтижесі тӛменде берілген.
-
Уақыт, кҥн
0
7
14
21
21
Бенсенділігі, импульс/с
1000
547
294
162
88
а) тӛмендегі графикке берілген мәліметтер арқылы график салыңдар
[1]
[1]
[1]
[1]
[1]
[1]

ә) Алынған нҥктелерге сәйкес келетін сызық жҥргізіңіз.
б) Йод-131-дің жартылай ыдырау периодын графиктен анықтаңыз. Графикте осы шаманы қалай алғаныңызды кӛрсетіңіз.
Йод-131-дің жартылай ыдырау периоды = ....................... кҥн [5]
-
Радиоактивті материалдарды ӛңдеуді, қолдануды, сақтауды және олармен жҧмыс кезіндегі қауіпсіздік ережелерін сипаттаңыз. [4]
4.(а) Нанотехнология дегеніміз [1]
...................................................................................................................................................................
...................................................................................................................................................................
...................................................................................................................................................................
...................................................................................................................................................................
(b) Нанотехнологияның қолданыс аясын сипаттап жазыңыз. [1] Машина жасау ӛнеркәсібінде ...............................................................................................................
..................................................................................................................................................................
..................................................................................................................................................................
..................................................................................................................................................................
Жалпы балл: 17
-
Бағалау критерийі
Тапсырма
№
Дескриптор
Балл
Білім алушы
Радиоактивтілік қҧбылысын тҥсіндіреді
1
Дҧрыс жауап береді
1
Дҧрыс жауап береді
1
Дҧрыс жауап береді
1
Дҧрыс жауап береді
1
Дҧрыс жауап береді
1
Дҧрыс жауап береді
1
Жартылай ыдырау периодын анықтайды
2
Нҥктелерді графикте орналастырады
1
Нҥктелер арқылы ӛтетін сызықты жҥргізеді
1
Графиктегі мәндерді оқи алады
1
Жартылай ыдырау периодын анықтау ҥшін
сызбалар жасайды
1
Жартылай ыдырау периоды мәнін анықтайды
1
Қауіпсіздік ережелерін сақтайды
3
Радиоактивті материалдарды ӛңдеуді біледі
1
Радиоактивті материалдардың қолдануын
тҥсінеді
1
Радиоактивті материалдарды сақтау
ережелерін біледі
1
Олармен жҧмыс кезіндегі қауіпсіздік
ережелерін сипаттайды
1
Нанотехнология
4
Дҧрыс жауап береді
1
Дҧрыс жауап береді
1
Жалпы балл
17
IV-ТОҚСАН
«Космология» бөлімі бойынша жиынтық бағалау
-
Оқу мақсаттары
-
– жҧлдыздардың жырықтылығы бойынша жіктелетінін, кӛрінерлік жҧлдыздық шамамен және абсолют жҧлдыздық шамамен сипатталатынын тҥсіндіру;
-
– Жҧлдыздар эволюциясын тҥсіндіру ҥшін Герцшпрунг-Рассель диаграммасын қолдану;
-
– қара қҧрдымдар, нейтронды жҧлдыздар және аса жаңа жҧлдыздардың қасиеттерін сипаттау;
Бағалау критерийі
Білім алушы
-
Жҧлдыздардың жарықтылығын сипаттайды;
-
Герцшпрунг-Рассель диаграммасын қолданып тҥсіндіреді;
-
Әлем қҧрамын сипаттайды және Әлемнің ҧлғаюын тҥсіндіреді;
Ойлау дағдыларының деңгейлері
Білу және тҥсіну
Орындау уақыты
25 минут
-
Тапсырмалар
-
Герцшпрунг-Рассел диаграммасының жалпы ҥлгісіне сипаттама беріңіз. [3]
-
Аса жаңа жҧлдыздар және қара қҧрдымдардың қасиеттерін атаңдар. [2]
-
Микротолқынды фондық ғарыш сәулеленуі туралы тҧжырымдардың қайсысы дҧрыс? [1]
-
Фондық сәулелену 2.7°C температурада заттан/материядан шығады.
-
Фондық сәулелену қараңғы энергия болып табылады.
-
Фондық сәулелену галактикамыздағы кӛзге кӛрінбейтін суық массадан шығады.
-
Фондық сәулелену – бҧл Ҥлкен жарылыстың қалдығы.
-
-
Суретте Герцшпрунг-Рассел диаграммасы бейнеленген.

(а) тӛменде кӛрсетілген бес тҧжырымнан дҧрысын(тарын) анықтап дӛңгелектеп белгілеңіз.
-
жҧлдыздардың кӛпшілігі қызыл ергежейлілер болып келеді.
-
негізгі тізбектегі К спектріндегі жҧлдыздардың класының «ӛмірлік циклі», В спектріндегі жҧлдыздардың класының «ӛмірлік циклінен» қысқарақ болады.
-
асқын алып жҧлдыздардың орташа тығыздығы ӛте жоғары болады.
-
Денеб жҧлдызының беттік температурасы 8550 К және ол М спектрдегі жҧлдыздар класына жатады.
-
Эридан-40 жҧлдызы ақ ергежейлілерге жатады, себебі оның массасы Кҥн массасының 0,5 қҧрайды. [2]
(b) (а) тапсырмасында берілген бес тҧжырымның қателерін анықтап, неліктен қате екендігін тҥсіндіріп жазыңыз. [3]
...................................................................................................................................................................
...................................................................................................................................................................
...................................................................................................................................................................
...................................................................................................................................................................
...................................................................................................................................................................
...................................................................................................................................................................
Жалпы балл: 11
-
Бағалау критерийі
Тапсырма
№
Дескриптор
Балл
Білім алушы
Герцшпрунг-Рассель диаграммасын қолданып тҥсіндіреді
1
Герцшпрунга-Рассел диаграммасын біледі
1
Спектрлік-температуралық диаграмманы
тҥсіндіреді
1
Жҧлдыздар эволюциясын тҥсіндіреді
1
қара қҧрдымдар, нейтронды жҧлдыздар және аса жаңа жҧлдыздардың
қасиеттерін сипаттайды
2
Аса жаңа жҧлдыздарды сипаттайды
1
Қара қҧрдымдардың қасиеттерін кӛрсетеді
1
3
Микротолқынды фондық ғарыш сәулеленуі туралы тҧжырымды біледі
1
Жҧлдыздар эволюциясын тҥсіндіру ҥшін Герцшпрунг-Рассель диаграммасын
қолданады
4
Диаграммаға қатысты берілген тҧжырымды ішінен дҧрысын анықтайды
1
1
Қате тҧжырымды неліктен қате екендігіне сипаттама жазады
1
1
1
Жалпы балл
17
1-ТОҚСАННЫҢ ЖИЫНТЫҚ БАҒАЛАУ СПЕЦИФИКАЦИЯСЫ
1 - тоқсанның жиынтық бағалауына шолу
Ұзақтығы – 40 минут
Балл саны – 25 балл
Тапсырма тҥрлері:
КТБ – кӛп таңдауы бар тапсырмалар;
ҚЖ – қысқа жауапты қажет ететін тапсырмалар;
ТЖ – толық жауапты қажет ететін тапсырмалар.
Жиынтық бағалаудың құрылымы
Берілген нҧсқа кӛп таңдауы бар тапсырмаларды, қысқа және толық жауапты сҧрақтарды қамтитын 8 тапсырмадан тҧрады.
Кӛп таңдауы бар тапсырмаларға оқушылар ҧсынылған жауап нҧсқаларынан дҧрыс жауабын таңдау арқылы жауап береді.
Қысқа жауапты қажет ететін сҧрақтарға оқушылар есептелген мәні, сӛздер немесе қысқа сӛйлемдер тҥрінде жауап береді.
Толық жауапты қажет ететін сҧрақтарда оқушыдан максималды балл жинау ҥшін тапсырманың шешімін табудың әр қадамын анық кӛрсетуі талап етіледі. Оқушының математикалық тәсілдерді таңдай алу және қолдана алу қабілеті бағаланады. Тапсырма бірнеше қҧрылымдық бӛліктерден/сҧрақтардан тҧруы мҥмкін.
Тапсырма үлгілері және балл қою кестесі
«Физика» пәнінен 1-тоқсанға арналған жиынтық бағалаудың тапсырмалары
-
а) Еріксіз электромагниттік тербеліс дегеніміз не? [1]
-
Тербелмелі контур … тҧрады. [1]
-
конденсатор мен резистордан
-
конденсатор мен шамнан
-
конденсатор мен индуктивті катушкадан
-
конденсатор мен вольтметрден
-
-
a) Тербелмелі контурда резонанс қандай жағдайда пайда болады? [1]
-
сыртқы мәжбiрлеушi кернеудiң жиiлiгi меншікті жиiлiкке тең болғанда
-
сыртқы мәжбiрлеушi кернеудiң амплитудасы меншікті жиiлiкке тең болғанда
-
сыртқы мәжбiрлеушi кернеудiң фазасы меншікті жиiлiкке тең болғанда
-
сыртқы мәжбiрлеушi кернеудің периоды меншікті жиілікке тең болғанда
-
b) Резонанс қҧбылысы радиобайланыста қолданылады. Осы процесті сипаттап беріңіз. [2]
-
Катушканың индуктивтілігін 4 есе азайтса, жҥйенің меншікті жиілігі қалай ӛзгереді? [3]
-
Тӛмендегі кестеде тербелмелі контурдағы процесс кезеңдері және электромагниттік тербеліс пен механикалық тербеліс арасындағы ҧқсастық кӛрсетілген. Әр кезеңдегі энергияны есептеу формуласын жазыңыз. [3] -
Тербелмелі контурдағы ток кҥшінің уақытқа тәуелділік графигін пайдаланып, анықтаңыз:

-
Санақ басынан бастап 6 мкс уақыт ӛткенге дейін катушка энергиясы неше рет
максималды мәнге ие болды?
-
Санақ басынан бастап 6 мкс уақыт ӛткенге дейін конденсатор энергиясы неше рет максималды мәнге ие болды?
-
Ток кҥшінің уақытқа тәуелділік теңдеуін жазыңыз. [3]
-
P және Q тербелмелі жҥйе тербелісінің x орын ауыстыруының t уақытқа тәуелділік графигі берілген. Екі тербелмелі жҥйенің де массасы бірдей.
-
Екі тербелмелі жҥйе тербелісінің арасындағы фазаларының айырымын анықтаңыз.
фаза айырымы = рад [1]
-
Q тербелмелі жҥйесінің максималды ҥдеуін табыңыз.
максималды ҥдеу = м·с-2 [2]
-
Суретте айнымалы ток генераторы кӛрсетілген.
а) генератордың атаулары жазылмаған бӛліктерін анықтаңыз. [1]
b) генератордың жҧмыс істеуі қандай қҧбылысқа негізделген? [1]
с) генератордың жҧмыс істеу принципін сипаттаңыз. [2]
-
Трансформатордың орам санын анықтауға арналған экспериментті сипаттаңыз.
а) қажетті қҧрал-жабдықтарды атаңыз. [1]
-
жҧмыстың орындау тәртібін жазыңыз. [3]
Жалпы балл: 25
-
тоқсан бойынша балл қою кестесі
-
-
№
Жауабы
Балл
Қосымша
ақпарат
1
a) Ерiксiз электромагниттiк тербелiстер деп сыртқы электр қозғаушы кҥшiнiң периодты ӛзгеруiнiң салдарынан болатын тiзбектегi ток кҥшi мен кернеудiң периодты тҥрде ӛзгеруiн айтады
1
b) С
1
2
a) А
1
b) Сигналды қабылдағанда катушкада айнымалы ЭҚКпайда болады
Айнымалы сыйымдылығы бар конденсатор антенна арқылы қабылданған әртҥрлі жиіліктегі тербелістер
арасынан меншікті жиілікке тең тербелісті бӛліп алады
1
1
3
? = √ 1 формуласын қолданды
??
1
? пен ? арасындағы тәуелділікті анықтады
1
?2 = 2?1 жауабын жазды
1
4
1-кезең: ?э = ? және ?п = ??
2?2 2 2
1
Әр кезеңде бір тҥріжазылса да 1 балл қойылады
2-кезең: ? = ?? және ? = ??
м ?22 к ??22
1
3-кезең: ? = және ? =
э 2? п 2
1
5
a) 3
1
b) 4
1
c) ? = 0.005 sin ? ?2
1
6
a) ? (рад) немесе 600
3
1
b) ?0 = −?2?0
0.82 (м·с-2)
1
1
7

1
Электромагниттік индукция
1
Магнит ӛрісінде айналып тҧрған ӛткізгіштерден тҧратын орам қарапайым генератор бола алады. Магнит ӛрісі статордағы тҧрақты магниттер арасында орналастырылғаны орамдарға айнымалы ток беріледі. Орамды айнымалы ток беріп айналдырғанда тҧрақты магнит ӛрісін кесіп ӛтеді. Оның салдарынан орамда ЭҚК индукцияланады. Орам ҧштары онымен бірге айналатын сақиналармен қосылған. Егер сақиналарға қозғалмайтын щеткалар орнатып, оларды электр қабылдағышымен қоссақ, онда орам, сақина, щетка, энергия қабылдағышынан тҧратын тҧйықталған
тізбектен ЭҚК әсерінен ток жҥреді.
1
1
8
(a) орам сандары белгілі шарғы, ӛзекше, екі вольтметр,
ӛткізгіш сымдар;
1
(b) орам сандары белгісіз трансформаторды орам саны белгілі шарғыға ӛткізгіш сымдар арқылы қосамыз, орам сандары белгісіз трансформаторға бір вольтметрді жалғаймыз, ал екінші вольтметр орам саны белгілі шарғыға қосылады, ?1 = ?1 теңдеуі
?2 ?2
арқылы белгісіз орам санын анықтаймыз
1
1
1
Жалпы балл
25
-
![]()
І1-ТОҚСАННЫҢ ЖИЫНТЫҚ БАҒАЛАУ СПЕЦИФИКАЦИЯСЫ
2 - тоқсанның жиынтық бағалауына шолу
Ұзақтығы – 40 минут
Балл саны – 25 балл
Тапсырма тҥрлері:
КТБ – кӛп таңдауы бар тапсырмалар;
ҚЖ – қысқа жауапты қажет ететін тапсырмалар;
ТЖ – толық жауапты қажет ететін тапсырмалар.
Жиынтық бағалаудың құрылымы
Берілген нҧсқа кӛп таңдауы бар тапсырмаларды, қысқа және толық жауапты сҧрақтарды қамтитын 10 тапсырмадан тҧрады.
Кӛп таңдауы бар тапсырмаларға оқушылар ҧсынылған жауап нҧсқаларынан дҧрыс жауабын таңдау арқылы жауап береді.
Қысқа жауапты қажет ететін сҧрақтарға оқушылар есептелген мәні, сӛздер немесе қысқа сӛйлемдер тҥрінде жауап береді.
Толық жауапты қажет ететін сҧрақтарда оқушыдан максималды балл жинау ҥшін тапсырманың шешімін табудың әр қадамын анық кӛрсетуі талап етіледі. Оқушының математикалық тәсілдерді таңдай алу және қолдана алу қабілеті бағаланады. Тапсырма бірнеше қҧрылымдық бӛліктерден/сҧрақтардан тҧруы мҥмкін.
Тапсырма үлгілері және балл қою кестесі
«Физика» пәнінен 2-тоқсанға арналған жиынтық бағалаудың тапсырмалары
-
Максвелл теориясына сәйкес электромагниттік толқын кӛзі болып табылатыны: [1]
-
тек электронның тҥзу бойымен бірқалыпты қозғалысы кезінде
-
тек зарядтың гармониялық тербелісі кезінде
-
тек зарядтың бірқалыпты шеңбер бойымен қозғалысы кезінде
-
зарядтың кез келген бір қалыпты емес қозғалысы кезінде
-
-
Электрмагниттік толқындарды пайдаланудағы дҧрыс сәйкестікті таңдаңыз. [1]
-
-
1. Радиотолқындар
a. Объектілерді анықтау
2. Радиолокациялық толқындар
b. Медицина
3. Инфрақызыл толқындар
c. Дезинфекция
4. Ультракҥлгін сәулелер
d. Ракты емдеу
5. Рентген сәулелері
e. Байланыс
6. Гамма сәулелер
f. Фото, физиотерапия
-
A) 1a, 2b, 3c, 4f, 5d, 6e
B) 1b, 2d, 3f, 4a, 5c, 6e
C) 1c, 2a, 3d, 4f, 5e, 6b
D) 1e, 2a, 3f, 4c, 5b, 6d
-
Экранға екі саңылаудан жарық тҥскенде интерференциялық кӛрініс бақыланады. Экранға екі шамнан жарық тҥскенде интерференциялық кӛрініс бақыланбайды. Неліктен? [1]
-
Шамдар әр тҥрлі амплитудаларда жарық шығарады
-
Шамдар когерентті емес жарық шығарады
-
Екі шамның жарығының жиіліктері бірдей
-
Екі шамның жарығы ӛте жарық
-
-
Телеқабылдағыштар жер серіктен сигнал қабылдайды.
а) Жер серіктен электромагниттік сәулеленудің қай тҥрін қабылдайды? [1]
-
Модуляцияланған сигналды биік ғимараттарда немесе мҧнараларда орналасқан ҥлкен антенналар арқылы жібереді. Кӛп жағдайда сигнал жіберуші мен оны қабылдаушының арасына бірнеше ретрансляторлар қолданылады.
-
Неліктен антенналар биік ғимараттар мен мҧнараларға орналастырылады? [1]
-
Неліктен ретранслятор қажет? [1]
-
-
Суретте оптикалық талшық арқылы оның R ҧшына
дейін ӛтетін PQR жарық сәулесі кӛрсетілген.
-
Неліктен PQ сәулесі оптикалық талшықтан Q нҥктесінде шығып кетпейтінінтҥсіндіріңіз
[1]
-
Телефон байланысында қолданылатын оптикалық талшықтың мыс ӛткізгішпен салыстырғандағы бір артықшылығын жазыңыз. [1]
-
S1 және S2 толқын кӛздері толқын ҧзындығы 5,0 см болатын микротолқындарды шығарады.
-
Екі толқынның жол айырымын анықтаңыз? [1]
-
О нҥктесінде қандай интерференция байқалады? [1]
-
Суретте микроскоптың ішкі қҧрлысы мен АВ денесі берілген.
АВ денесінің микроскоп арқылы қарағандағы ҧлғайған кескінінің сәулелер жҥрісін салу арқылы алыңыз. [3]
-
Полярлық орбитада жер серіктері жердің полюстерін айналады. Геостационарлық жерсеріктер экваторлық орбиталарда болады. Екеуі де байланыс арналарының бӛлігі ретінде қолданылады.
а) Геостационарлық спутникпен салыстырғанда полярлық орбиталық спутникті пайдаланудың бір артықшылығы мен бір кемшілігі: [2]
артықшылығы: ………………………………………………………………
кемшілігі: ………………………………………………………………........
-
Гигагерц (ГГц) диапазонындағы жиіліктің спутниктік байланыста қолданылуының екі себебін кӛрсетіңіз. [2]
1. ………………………………………………………………………….……
2. ……………………………………………………………….…………........
-
Белгілі бір спутниктік байланыс жҥйесінде жерден спутникке (жоғары байланыс) берілетін сигналдың жиілігі 6 ГГц қҧрайды. Жерден спутниктен кері қайтарылатын сигналдың жиілігі (тӛмен сілтеме) 4 ГГц қҧрайды. Неліктен екі сигнал әртҥрлі жиілікте берілетінін тҥсіндіріңіз.
[2]
-
Лазер толқын ҧзындығы 632 нм-ге тең когерентті жарықты шығарады. Ол суретте кӛрсетігендей дифракциялық тордан ӛткен соң, экранда интерференциялық кӛрініс алынады.

Дифракциялық тордан экранға дейінгі қашықтық 165 см-ге тең. Р нҥктесінде ең жарық максимум орналасқан, оған ең жақын екі максимум Х және Y нҥктелерінде алынды. Х пенY- тің арасы 76 см. Дифракциялық тордың бір метріндегі штрихтар санын анықтаңыз. [3]
-
Кӛк тҥсті жарық тіктӛртбҧрышты шыны блоктың ішіне кіші жақтарының бірінде орналасқан Х нҥктесінде кіреді. Жарық шыны арқылы ӛтіп, блоктың ҥлкен жағына тҥседі. Суретте ауадағы тҥскен сәуле және шыныдағы сынған сәуле кӛрсетілген.

Тек қана сызғышты пайдалана отырып, шынының сыну кӛрсеткішін анықтаңыз. [3]
Жалпы балл: 25
-
тоқсан бойынша балл қою кестесі
-
ТОҚСАННЫҢ ЖИЫНТЫҚ БАҒАЛАУ СПЕЦИФИКАЦИЯСЫ
|
№ |
Жауабы |
Балл |
Қосымша ақпарат |
|
1 |
С |
1 |
|
|
2 |
D |
1 |
|
|
3 |
В |
1 |
|
|
4 |
а) микротолқындар ә) (і) сигналдар ғимараттар мен денелерде жҧтылады (іі) сигналдарды кҥшейтіп қайтадан жібереді |
1 |
|
|
1 |
|||
|
1 |
|||
|
5 |
а) толық ішкі шағылу қҧбылысы ә) ақпараттың сапасы жоғары / кӛбірек ақпарат тасымалдайды |
1 1 |
|
|
6 |
а) 50 см-40 см=10 см ә) максималды интерференция / жол айырмасы екі толқынға тең |
1 1 |
|
|
7 |
|
1 |
|
|
1 |
|||
|
1 |
|||
|
8 |
A. артықшылығы: бақылау аумағы ҥлкен |
1 |
|
|
кемшілігі: ҥздіксіз ақпарат алып отыру ҥшін |
1 |
|
|
|
бірнеше серікті бақылау керек |
|
|
|
|
B.ионосферадан аз шағылады / мақсатты |
2 |
кез келген 2 дҧрыс |
|
|
ақпаратты жеткізу қабілеті жоғары |
|
жауап қабылданады |
|
|
C.кедергі бар / сигнал жҧтылады / тӛменгі жиілікті |
2 |
кез келген 2 дҧрыс |
|
|
сигнал таратылады |
|
жауап қабылданады |
|
|
9 |
??? = 38 немесе ? = 130 165 ? sin ? = ??; ? =5 2.82 ∙ 10−61 ? = ? = 3.6 ∙ 10 |
1 |
|
|
1 |
|||
|
1 |
|||
|
10 |
A. Х нҥктесінен тҥсу және сыну сәулелерінде |
1 |
|
|
бірдей қашықтықтарды ӛлшеп алып, осы |
1 |
||
|
нҥктелерден перпендикуляр оське проекция |
|
||
|
тҥсіреміз, пайда болған ҥшбҧрыштарды |
1 |
||
|
пайдалана отырып, сыну кӛрсеткішін табамыз |
|
||
|
(? = ????) |
|
||
|
???? |
|
||
|
Жалпы балл: |
25 |
|
|
-
- тоқсанның жиынтық бағалауына шолу
Ұзақтығы – 40 минут
Балл саны – 25 балл
Тапсырма тҥрлері:
КТБ – кӛп таңдауы бар тапсырмалар;
ҚЖ – қысқа жауапты қажет ететін тапсырмалар;
ТЖ – толық жауапты қажет ететін тапсырмалар.
Жиынтық бағалаудың құрылымы
Берілген нҧсқа кӛп таңдауы бар тапсырмаларды, қысқа және толық жауапты сҧрақтарды қамтитын 10 тапсырмадан тҧрады.
Кӛп таңдауы бар тапсырмаларға оқушылар ҧсынылған жауап нҧсқаларынан дҧрыс жауабын таңдау арқылы жауап береді.
Қысқа жауапты қажет ететін сҧрақтарға оқушылар есептелген мәні, сӛздер немесе қысқа сӛйлемдер тҥрінде жауап береді.
Толық жауапты қажет ететін сҧрақтарда оқушыдан максималды балл жинау ҥшін тапсырманың шешімін табудың әр қадамын анық кӛрсетуі талап етіледі. Оқушының математикалық тәсілдерді таңдай алу және қолдана алу қабілеті бағаланады. Тапсырма бірнеше қҧрылымдық бӛліктерден/сҧрақтардан тҧруы мҥмкін.
Тапсырма үлгілері және балл қою кестесі
«Физика» пәнінен 3-тоқсанға арналған жиынтық бағалаудың тапсырмалары
-
Адам денесіне келіп тҥскен инфрақызыл сәуленің қандай әсері болады? [1]
-
терінің қызаруын туғызады
-
теріні қыздырады
-
теріге келген сәулені толық шағылдырады
-
жҧмсақ тері арқылы ӛтіп кетеді
-
-
Тӛмендегі электромагниттік толқындарды жиіліктің ӛсу ретімен орналастырыңыз: [1]
ультракҥлгін рентген сәулелері инфрақызыл микротолқын радиотолқын гамма сәулесі
-
Ақ жарық салқын газ арқылы ӛткенде оның спектрінде қара жолақтар пайда болады.
а) не себепті спектрде белгілі бір толқын ҧзындықтарында қара жолақтар пайда болатынын тҥсіндіріңіз. [3]
b) газ атомдарындағы электронның энергетикалық деңгейлері туралы нені білдіреді? [1]
-
Компьютерлік томография мен МРТ-ның ҧқсастығы мен МРТ-ның артықшылығын кӛрсетіңіз.
Ҧқсастығы ...................................................................................................................... [1]
Артықшылығы ............................................................................................................... [1]
-
a) Суретте қандай фотоэлемент кескінделген?
b) Қандай да бір зат ҥшін толқын ҧзындығы 450 нм-ден артқан кезде фотоэффект қҧбылысы орындалмайды. Осы заттың фотоэлектрондарының шығу жҧмысын анықтаңыз (МэВ-пен). [3]
-
Оқушы радиоактивті кӛзден шыққан сәулеленудің ӛтімділік қабілетін зерттеді.

Кестеде оның нәтижелері берілген.
-
Қоршаған ортадағы табиғи радиациялық фон
минутына 25 импульс
Тек радиациялық кӛздің импульстар саны
минутына 630 импульс
Радиациялық кӛздің және қағаз жҧтушының импульстар саны
минутына 630 импульс
Радиоактивті кӛз қандай сәулелерді шығарады? [2]
-
Ядролық реактор дегеніміз не? Оның негізгі бӛліктерін атаңыз. [2]
-
Радиоизотоптық ӛрт хабарлағыштарда америций-241 қолданылады. Ыдырау кезінде америций-241 альфа-бӛлшектерін бӛліп шығарады.
-
Альфа-сәулеленудің бір зиянды әсерін кӛрсетіңіз. [1]
-
Суретті қолданып, америций-241-дің жартылай
ыдырау периодын анықтаңыз жәнe қалай анықтағаныңызды графикте кӛрсетіңіз. [2]
-
а) Ядролық ыдырау және синтез процесі кезінде жаңа ядролар пайда болады. Қай теңдеу ыдырауға, қай теңдеу синтезге сәйкес келеді?
(і) ![]()
(іі)
[1]
-
осы реакцияларды қай жерде байқауға болады? Мысал келтіріңіз. [2]
-
Нанотҥтікшелер ҧзындықтарына байланысты мыңнан миллионға дейінгі кӛміртегі атомдарынан тҧрады. Ӛздерінің қҧрылымдарына байланысты олар мыс сияқты электр тоғын толықтай ӛткізетін және кремний сияқты жартылай ӛткізетін де бола алады. Нанотҥтікшелердің қолданылуына 2 мысал келтіріңіз. [2]
Жалпы балл: 25
3-тоқсан бойынша балл қою кестесі
-
№
Жауабы
Балл
Қосымша ақпарат
1
В
1
2
Радиотолқын
1
Егер ҥш жауап
Микротолқын
дҧрыс болса 1
Инфрақызыл
1
Ультракҥлгін
Рентген сәулелері
Гамма сәулелері
3
А. ыстық кҥйінде кез келген дене жарық шығарады ыстық газдар нақты толқын ҧзындығына сәйкес
сызықтық спектр шығарады салқын газдар сол спектрді жҧтады
1
1
1
В. электрон тӛменгі орбитадан жоғарғы орбитаға ӛтетіндігін
1
4
Ұқсастығы: диагоноз қояды / диагностика жасайды
1
Кез келген дҧрыс
Артықшылығы: рентген және гамма сәулелерін
1
жауап
қолданбайды / дәлдігі жоғары
қабылданады
5
А. вакуумдық
В. ? = ℎ?
? шығу ?М??э?В
шығу = 829
1
Мәні мен ӛлшем бірлігі
1
2
6
Бета – бӛлшек және
1
Гамма сәулесі
1
7
Ядролық
реактор
–
ядросы
бӛлінуінің
1
басқарылатын тізбекті реакциясын жҥзеге асыратын
қҧрылғы
Оның негізгі бөліктеріне: ядролық отын
1
Кез келген екеуін
(мысалы, уран не плутоний) баяулатқыш,
атаса
1
балл
шағылдырғыш, суытқыш), бақылау және ӛлшеу
қойылады
приборлары жатады.
8
А. клеткаларды зақымдайды / мутацияға ҧшыратады / ДНК-ны зақымдайды
В. 420-440 жыл
графикте нақты белгілеп кӛрсеткен
1
Кез келген дҧрыс
жауап
1
қабылданады
1
9
Ыдырау
1
Синтез
Ядролық реактор, атом бомбасы,
1
Жҧлдыздардағы термоядролық реакция, сутек
1
бомбасы
10
Биологиялық жҥйелерде/композиттерде кӛміртекті нанотҥтікшелер/фуллерендер жасалады
1
1
Кез келген дҧрыс жауап
қабылданады
Жалпы балл:
25
-
ТОҚСАННЫҢ ЖИЫНТЫҚ БАҒАЛАУ СПЕЦИФИКАЦИЯСЫ
-
- тоқсанның жиынтық бағалауына шолу
Ұзақтығы – 40 минут
Балл саны – 25 балл
Тапсырма тҥрлері:
КТБ – кӛп таңдауы бар тапсырмалар;
ҚЖ – қысқа жауапты қажет ететін тапсырмалар;
ТЖ – толық жауапты қажет ететін тапсырмалар.
Жиынтық бағалаудың құрылымы
Берілген нҧсқа кӛп таңдауы бар тапсырмаларды, қысқа және толық жауапты сҧрақтарды қамтитын 6 тапсырмадан тҧрады.
Кӛп таңдауы бар тапсырмаларға оқушылар ҧсынылған жауап нҧсқаларынан дҧрыс жауабын таңдау арқылы жауап береді.
Қысқа жауапты қажет ететін сҧрақтарға оқушылар есептелген мәні, сӛздер немесе қысқа сӛйлемдер тҥрінде жауап береді.
Толық жауапты қажет ететін сҧрақтарда оқушыдан максималды балл жинау ҥшін тапсырманың шешімін табудың әр қадамын анық кӛрсетуі талап етіледі. Оқушының математикалық тәсілдерді таңдай алу және қолдана алу қабілеті бағаланады. Тапсырма бірнеше қҧрылымдық бӛліктерден/сҧрақтардан тҧруы мҥмкін.
Тапсырма үлгілері және балл қою кестесі
«Физика» пәнінен 4-тоқсанға арналған жиынтық бағалаудың тапсырмалары
-
Герцшпрунг-Рассел диаграммасының басты тізбегінде жҧлдыздардың қай типі кӛрсетілген?
-
ӛмірінің соңындағы жҧлдыздар
-
негізінен кӛміртегін жағатын жҧлдыздар
-
негізінен сутегін жағатын жҧлдыздар
-
массасы ең ҥлкен жҧлдыздар [1]
-
-
Біздің Кҥн G класының жҧлдызы болып табылады. Бетінің температурасы ең жоғары болатын жҧлдыздар қандай спектрлік класқа жатады? [1]
-
F класына
-
K класына
-
M класына
-
O класына
-
-
Суретте Герцшпрунг-Расселл диаграммасының кескіні кӛрсетілген.
«Ақ ергежейлілер» диаграмманың қай бӛлігінде кӛрсетілген? Кҥннің
орналасқан орнын анықтаңыз және Кҥн деп жазып қойыңыз. [2]
-
a) Жҧлдыздар эволюциясын сипаттауда ақ ергежейлілер деген нені білдіреді? [1]
-
Парсек терминіне анықтама беріңіз. [2]
-
Антарес – қызыл алып және ол тҥнгі аспандағы ең жарық жҧлдыздардың бірі. Оның параллаксты 0,0059 бҧрыштық секундқа тең. Антарестің бізден қашықтығын жарық жылымен анықтаңыз. 1 пк = 3,26 ж.ж. [3]
-
Кҥн орналасқан галактикада жҥз миллиардтан астам басқа жҧлдыздар бар. Әлемнің кӛрінетін бӛлігінде кем дегенде екі жҥз миллиард басқа галактикалар бар.
-
Кҥн орналасқан галактиканың атауын жазыңыз. [1]
-
Тҥнгі аспанды зерттеу ҥшін телескоп пайдаланғанда, жҧлдыздар да, тҧмандықтар да кӛрінеді.
(і) Тҧмандықтардың сырт кӛрінісі жҧлдыздардан қалай ерекшеленетінін кӛрсетіңіз. [2]
(іі) XX ғасырдың басында екі астроном Кѐртис және Шепли арасындатҧмандықтардың табиғаты туралы пікірталас болды. Осы екі астрономның кӛзқарастары қалай
ерекшеленетінін сипаттаңыз. [3]
-
Хаббл бақылаулары Кѐртис пен Шеплидің пікірталасын қалай шешкенін тҥсіндіріңіз. [2]
-
Ҥлкен жарылыс теориясының бір дәлелін атаңыз. [1]
-
a) Алыс жатқан галактиканың алыстау жылдамдығы галактиканың
арақашықтығына тәуелді екендігін кӛрсететін графикті координат осьтерінде кӛрсетіңіз. [1]
-
Алыс жатқан галактиканың алыстау жылдамдығы галактиканың арақашықтығына тәуелді графигінен Хаббл тҧрақтысының мәнін қалай анықтауға болатынын кӛрсетіңіз. [1]
-
Астроном Жерден 6,8*1023 м қашықтықта орналасқан галактиканың алыстаужылдамдығын есептейді. Ол жылдамдық 1,5*106 м/с. Осы мәндерді пайдаланып Хаббл тҧрақтысын анықтаңыз.
Хаббл тҧрақтысы = с–1 [2]
-
Хаббл тҧрақтысын қолданып, Әлемнің жасын есептеңіз.
Әлемнің жасы = с [2]
Жалпы балл: 25
4-тоқсан бойынша балл қою кестесі
-
№
Жауабы
Балл
Қосымша ақпарат
1
С
1
2
D
1
3
D – ақ ергежейлілер
С жолағынын бойында (ортадан тӛмен) Кҥн деген жазу
1
1
4
A. Ядро / «жҧлдыз», жанып біткен қызыл алыптың
1
эквивалентті
ӛнімі
фразалар
B. арақашықтық (ӛлшеу бірлігі)
1
қабылданады
затқа дейін 1 бҧрыштық секунд шамасындағы
1
жылдық параллакспен (бҧрыштың жартысы)
немесе
Жер орбитасының радиусы 1 бҧрыштық секунд
шамасындағы бҧрышты топтайды/ жылдық
параллакс 1 секундқа тең денеге дейінгі
қашықтық
C. параллакс = 1/d) d = 0.0059-1
1
қашықтық = 0.0059-1 3.26
1
қашықтық = 550 жж
1
5
-
Қҧс жолы
-
(і) анық емесе / кӛмескі / шашыраңқы қҧбылыс (жҧлдыздар – бҧл айқын фокусталған жарық нҥктелері)
(іі) Тҧмандықтар галактикада немесе одан тыс (орналаса ма)
(Тҧмандықтар) басқа галактикалар немесе газды бҧлттар бола ма
(тек қана) бір галактика немесе (бір ғана емес) бар ма
-
Цефеида айнымалылардың арақашықтық мәндерін анықтады
Қҧс жолынан тым алыс орналасқан
-
Ғарыштық микротолқынды фондық сәулелену
1
1 баллға
1
бағаланады
Тҧмандықтар бӛлек
галактикалар болды,
1
Қҧс жолынан тыс
орналасқан
1
Тҧмандықтар Қҧс
1
жолының бір бӛлігі
1
1
1
6
A. оң еңістің тҥзу сызығы және координаталар
2
басы арқылы ӛтеді
B. (сандық) градиентке тең / сәйкесінше
1
сандардың бӛлінуі
C. Хаббл тҧрақтысы: H = v/d
1
Немесе
1.5 × 106/6.8 × 1023
2.2 × 10–18 (с–1)
1
D. t=1/H
1
4.5 × 1017 (с)
1
Жалпы балл:
25
-
ҚОРЫТЫНДЫ
Бҧл оқу – әдістемелік жинақ 11- сынып білім алушыларының «Физика» пәні бойынша жиынтық бағалауды жоспарлау, ҧйымдастыру және ӛткізуге кӛмекші қҧрал ретінде қҧрастырылған. Тапсырмалары әр бӛлімнің оқу мақсаттарына сәйкестендіріліп, оқушылардың жас ерекшеліктері ескеріліп, 20-
25 минутта ӛз беттерінше орындауға есептеліп жасалған. Бӛлімнің ортақ тақырып бойынша жиынтық бағалаудың тапсырмалары мҧғалімге білім алушылардың тоқсан бойынша жоспарланған оқу мақсаттарына жетудеңгейін анықтауға мҥмкіндік береді. Әдістемелік ҧсыныстарда бӛлім ортақ тақырып бойынша жиынтық бағалауды ӛткізуге арналған бағалау критерийлері мен дескрипторлары бар тапсырмалар енгізілген. Сондай-ақ жинақта білім алушылардың оқу жетістіктерінің мҥмкін деңгейлері сипатталған. Дескрипторлары мен балдары бар тапсырмалар ҧсыныс тҥрінде берілген. Әдістемелік ҧсыныстарды дайындау барысында ресми интернет – сайттағы қолжетімді ресурстар (суреттер, фотосуреттер, мәтіндер, аудио және бейнематериалдар) қолданылды. Қорыта айтқанда, бҧл әістемелік қҧралда жинақталған тапсырмалар оқушының алған білімін тексеруге және оқушы ӛз біліміне талдау жасауына мҥмкіндік береді. Әр тоқсандағы жиынтық бағалау тапсырмалары оқушының жас ерекшеліктері ескерілген. Бҧл жинақ мҧғалімдер ҥшін тапсырманы жоспарлау ҥшін оқушылармен тығыз байланыс қҧруда пайдалы қҧрал болады деп кҥтіледі.
ПАЙДАЛАНЫЛҒАН ӘДЕБИЕТТЕР
-
Жалпы орта білім беру деңгейінің жаратылыстану-математикалық бағытындағы 10-11 сыныптары ҥшін «Физика» пәнінен жаңартылған мазмҧндағы ҥлгілік оқу бағдарламасы. Ы.Алтынсарин атындағы ҦБА, 2017 ж.
-
Волькенштейн В.С. Сборник задач по общему курсу физики – М.: Наука. Главная редакция физико-математической литературы, 1976. – 464с.
-
Физика: жалпы білім беретін мектептің 11-сыныбының жаратылыстану- математикалық бағытына арналған оқулық./ Н.А. Закирова, Р.Р. Аширов. – Нҧр- Сҧлтан: «Арман - ПВ» баспасы, 2020 ж.
-
Рымкевич А.П. Сборник задач по физике. – М.: Просвещение, 1984.
-
Мякишев Г. Я., Буховцев Б.Б. Физика: Орта мектептің 11-сыныбына арналған оқулық, Алматы, Рауан, 1997 ж
-
Физика: жалпы білім беретін мектептің 11-сыныбының жаратылыстану- математикалық бағытына арналған оқулық. Н.А.Закирова, Р.Р.Аширов.− Нҧр-Сҧлтан:
«Арман-ПВ» баспасы, 2020 ж.
-
«Физика» пәнінен тоқсандық жиынтық бағалаудың спецификациясы жаратылыстану- математика бағыты. 11-сынып. Нҧр-Сҧлтан. 2020 ж.
-
https://easyfizika.ru сайты
шағым қалдыра аласыз


















