Сабақтың
басы
2
мин.
Өткенге
шолу
5
мин
Білу
|
Ұйымдастыру
кезеңі
Оқушылармен
амандасу, түгендеу, сабаққа дайындығын
бақылау.
«Ой
толғау»
2.Ширату жаттығуы:
«Ауызшы түсініктеме»
-
Қандай құбылыс
жарықтың шағылуы деп
аталады?
-
Жарықтың шағылу
заңын тұжырымда және
қорытыңдар
-
Жарықтың абсолют және
салыстырмалы сыну көрсеткіштерінің өзара байланысын
айтыңдар
|
Оқушылар ауызша
сұрақтарға жауап бере отырып өткен сабақта өтілген материалды еске
түсіреді. Мұғалім дұрыс және бұрыс жауаптар бойынша оқушыларға кері
байланыс береді
|
Бағалау ретінде жауап берген
оқушыларға басбармақ әдісімен
бағалайды
|
-

bilimland.kz


|
Сабақтың
ортасы.
20
мин
Жаңа
сабақ
Түсіну
|
Жарық шоғы тығызырақ ортадан
тығыздығы азырақ ортаға өткенде, таралу жылдамдығы
артады.
n1>n2
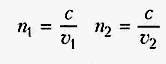
Орталардың абсолюттік
көрсеткіштері:
Егер жарық сәулесін оптикалық тығыздығы көбірек ортадан оптикалық
тығыздығы азырақ ортаға бағыттасақ, түсу бұрышының ұлғаюына қарай
сынған сәуле екі ортаның шекарасына жақындайды (сурет 1), кейін
бөліну шекарасынан өтеді(сурет 2). Ал түсу бұрышының әрі қарай
үлкеюіне қарай, сынған сәуле жоқ болып кетеді, яғни түскен сәуле
екі ортаның бөліну шекарасында толық шағылады
сурет(3).
β
=900 
Бұл
құбылысты толық ішкі
шағылу деп, ал толық шағылу
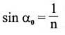
болатын бұрышты сындық немесе
α0 шектік
бұрыш деп
атайды.
Шекті
бұрыш (α0) – 90 градус сыну бұрыш
сәйкес келетін түсу
бұрышы.


Су үшін шекті бұрыш 490, ал шыны үшін
420 құрайды.
Толық шағылу құбылыс қолданылатын приборлар мен
құрылғылар:
- бұрылмалы призма - перископта
- айналмалы призмада – бинокльде
- оптикалық талшықтар – жарық
өткізгіштерде
Табиғат көріністері:
- су асты өсімдіктеріндегі су көпіршіктері айнадай
көрінеді
-
шық тамшылары
- бриллианттың жарық сәулесіндегі «ойыны»
- стакандағы су беті астынғы қабырғасы арқылы қарағанда
жарқырайды.
|
Әр
оқушы
Керекті ережемен
формула заңдарды дәптерлеірне зертханалық жұмыстың құрал
жабдықтарын жазып алады
Сұрақтар
сұрайды
Өзара талқылайды зерттеу
жүргізеді
|
Жарайсыңдпр!
Керемет!
Өте
жақсы!
ҚБ: «От шашу» әдісі
арқылы бағалау .
Жарайсың
Керемет
Өте
жақсы
Аліде
талпын
Осы бетіңнен
тайма
|
.
8-сынып
оқулығы.


8 сынып
оқулығы
http://www.nuffieldfoundation.org/practical-physics/law-refraction
|
Сабақты
бекіту
Талдау
5
мин
|
Жарықтың сыну заңына есептер
шығару.
23-жаттығу есептері
-
Жарық
шоғының слюдаға түсу бұрышы 300 болғанда, сыну бұрышы
600 -қа тең. Слюданың абсолют сыну көрсеткішін және
жарықтың слюда ішіндегі таралу жылдамдығын
анықтаңдар?
-
Жарық шоғы ауадан суға
өтеді.Түсу бұрышы 450 , сыну бұрышы
300. Судағы жарық жылдамдығын
табыңдар?
|
жауабы
1
|
n=0,8. v=3.75*108м/c
|
2
|
n=1,33. v=2,25*108м/c
|
Критерий
|
Дескриптор
|
Берілген жарықтың
сыну көрсеткішін дұрыс табады.
|
ХБЖ-ға
келтіреді
Формуланы
жазады
Математикалық есептеу
жүргізеді
|
|
ҚБ: «От шашу» әдісі
арқылы бағалау .
Жарайсың
Керемет
Өте
жақсы
Аліде
талпын
Осы бетіңнен
тайма
|

|
Жинақтау
5
мин
|
Бақылау
сұрақтары:
1. Шынының сыну көрсеткішінің жарық
сәулелерінінң түсу бұрышы артқан кезде қалай өзгеретінен
анықтаңдар. Осы тәуелділіктің графигін
салыңдар.
2. Жарықтың сыну бұрышы түсу бұрышынан кіші
немесе үлкен, сондай-ақ нөлге тең бола ала
ма?
3. Абсолют сыну
көрсеткішінің физикалық мағынасы
неде?
4. Сыну
көрсеткішін ең үлкен дәлдікпен, яғни ең кіші қатемен қалай
анықтауға болады?
|
Оқушылар
картаны
толтырады.
|
Жарайсың
Керемет
Өте
жақсы
Аліде
талпын
Осы бетіңнен
тайма
|

|