|
Педагогтің аты-жөні: |
Самат Еркежан |
|
Күні: |
20.04.2021 |
|
Сыныбы: 8А |
Қатысушылар саны: Қатыспағандар саны: |
|
Сабақтың тақырыбы: |
Толық іштей шағылу |
|
Оқу бағдарламасына сәйкес оқу мақсаты |
8.5.1.8 – тәжирибеге сүйене отырып толық ішкі шағылу құбылысын түсіндіру |
|
Сабақтың мақсаты: |
Барлық оқушылар істей алады: жарықтың бір ортадан екінші ортаға тасымалдануын оптоталшықты технология арқылы түсіндіру Көптеген оқушылар істей алады: толық ішкі шағылу құбылысын түсіндіру Кейбір оқушылар істей алады: сәуленің түсу бұрышының сыну бұрышына тәуелділігін түсіндіру |
Сабақтың барысы:
|
Сабақ кезеңі/Уақыты |
Педагогтің іс-әрекеті |
Оқушының іс-әрекеті |
Бағалау |
Ресурстар |
||||||||||||||||||||||||||||||||||||||||||||||||||||
|
Сабақтың басы 2 мин. Өткенге шолу 5 мин Білу |
Ұйымдастыру кезеңі Оқушылармен амандасу, түгендеу, сабаққа дайындығын бақылау. «Ой толғау» 2.Ширату жаттығуы: «Ауызшы түсініктеме»
|
Оқушылар ауызша сұрақтарға жауап бере отырып өткен сабақта өтілген материалды еске түсіреді. Мұғалім дұрыс және бұрыс жауаптар бойынша оқушыларға кері байланыс береді |
Бағалау ретінде жауап берген оқушыларға басбармақ әдісімен бағалайды |
-
bilimland.kz
|
||||||||||||||||||||||||||||||||||||||||||||||||||||
|
Сабақтың ортасы. 20 мин Жаңа сабақ Түсіну |
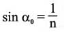
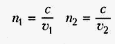
Жарық шоғы тығызырақ ортадан тығыздығы азырақ ортаға өткенде, таралу жылдамдығы артады. n1>n2 Орталардың абсолюттік көрсеткіштері:
β Бұл құбылысты толық ішкі шағылу деп, ал толық шағылу болатын бұрышты сындық немесе α0 шектік бұрыш деп атайды. Шекті бұрыш (α0) – 90 градус сыну бұрыш сәйкес келетін түсу бұрышы.
Толық шағылу құбылыс қолданылатын приборлар мен
құрылғылар:
-
шық тамшылары
|
Әр оқушы Керекті ережемен формула заңдарды дәптерлеірне зертханалық жұмыстың құрал жабдықтарын жазып алады Сұрақтар сұрайды Өзара талқылайды зерттеу жүргізеді |
Жарайсыңдпр! Керемет! Өте жақсы! ҚБ: «От шашу» әдісі арқылы бағалау . Жарайсың Керемет Өте жақсы Аліде талпын Осы бетіңнен тайма |
. 8-сынып оқулығы.
8 сынып оқулығы http://www.nuffieldfoundation.org/practical-physics/law-refraction |
||||||||||||||||||||||||||||||||||||||||||||||||||||
|
Сабақты бекіту Талдау 5 мин |
Жарықтың сыну заңына есептер шығару. 23-жаттығу есептері
|
жауабы
|
ҚБ: «От шашу» әдісі арқылы бағалау . Жарайсың
Керемет Өте жақсы
Аліде талпын
Осы бетіңнен тайма
|
|
||||||||||||||||||||||||||||||||||||||||||||||||||||
|
Жинақтау
5 мин |
Бақылау сұрақтары: 1. Шынының сыну көрсеткішінің жарық сәулелерінінң түсу бұрышы артқан кезде қалай өзгеретінен анықтаңдар. Осы тәуелділіктің графигін салыңдар. 2. Жарықтың сыну бұрышы түсу бұрышынан кіші немесе үлкен, сондай-ақ нөлге тең бола ала ма? 3. Абсолют сыну көрсеткішінің физикалық мағынасы неде? 4. Сыну көрсеткішін ең үлкен дәлдікпен, яғни ең кіші қатемен қалай анықтауға болады? |
Оқушылар картаны толтырады.
|
Жарайсың
Керемет Өте жақсы
Аліде талпын
Осы бетіңнен тайма
|
|
||||||||||||||||||||||||||||||||||||||||||||||||||||
|
Сабақтың соңы.
ЖИ арқылы жасау
ЖИ арқылы жасау
Бөлісу 1 - айлық Материал тарифі-96% жеңілдік 00 05 00 ҚМЖ
Ашық сабақ
Тәрбие сағаты
Презентация
БЖБ, ТЖБ тесттер
Көрнекіліктер
Балабақшаға арнарлған құжаттар
Мақала, Эссе
Дидактикалық ойындар
және тағы басқа 400 000 материал
Барлық 400 000 материалдарды шексіз жүктеу мүмкіндігіне ие боласыз 1 990 ₸ 49 000₸ 1 айға қосылу Материалға шағымдану Бұл материал сайт қолданушысы жариялаған. Материалдың ішінде жазылған барлық ақпаратқа жауапкершілікті жариялаған қолданушы жауап береді. Ұстаз тілегі тек ақпаратты таратуға қолдау көрсетеді. Егер материал сіздің авторлық құқығыңызды бұзған болса немесе басқа да себептермен сайттан өшіру керек деп ойласаңыз осында жазыңыз Жариялаған: Самат ЕркежанШағым жылдам қаралу үшін барынша толық ақпарат жіберіңіз Толық іштей шағылу сабақ жоспары
Тақырып бойынша 11 материал табылды
Толық іштей шағылу сабақ жоспарыМатериал туралы қысқаша түсінік
Мұғалімдерге керек
Материалдың қысқаша нұсқасы
Сабақтың барысы:
| ||||||||||||||||||||||||||||||||||||||||||||||||||||||||



















