Қысқамерзімді жоспар
№9-сабақ
Сабақтың тақырыбы: Туындының көмегімен функцияны зерттеу және графигін салу.
|
Бөлім: |
Туындының қолданылуы |
|
Педагогтің аты-жөні: |
|
|
Күні: |
|
|
Сыныбы: 10 «Ә» |
Қатысушылар саны: Қатыспағандар саны: |
|
Сабақтың тақырыбы: |
Туындының көмегімен функцияны зерттеу және графигін салу. |
|
Оқу бағдарламасына сәйкес оқу мақсаты: |
10.4.1.33 - туындының көмегімен функцияның қасиеттерін зерттеу және оның графигін салу |
|
Сабақтың мақсаты: |
Функцияны зерттеу,оның қасиеттерін анықтауда білім мен дағдыларын қалыптастыру, функцияны зерттеуде білімдерін кеңейту, функция графигін салуда туындыны қолдану; |
Сабақтың барысы:
|
Сабақ кезеңі/Уақыты |
Педагогтің іс-әрекеті |
Оқушының іс-әрекеті |
Бағалау |
Ресурстар |
|||||||||||||||||||||||||||||||||||||||||||||||||||||
|
Ұйымдастыру кезеңі Қызығушылықты ояту. 5 мин. |
(Ұ). Ұйымдастыру кезеңі: 1.Оқушылар- мен амандасу, түгендеу. 2.Ынтымақ-тастық атмосферасын қалыптастыру 1.Мұғалім оқушыларды түгендейді. 2.Амандасадыжәне тілектерін білдіреді. |
1.Оқушылар мұғалім- мен амандасады. 2. Сабаққа дайындалады. |
«Жарайсың!», «Керемет!» деген сақтау сөздерімен бағалайды. |
Оқулық, жұмыс дәптері Кітап, дәптер, |
|||||||||||||||||||||||||||||||||||||||||||||||||||||
|
Сабақтың басы Жаңа сабақты түсіндіру 15мин |
Функцияны зерттеп, графигін салудың толық жоспары.Сонымен,Функцияны зерттеуді мынадай жоспар бойынша орындаған тиімді. 1.Функцияның анықталу облысын табу қажет; 2.Егер бар болса,функцияның үзіліс нүктелерін анықтап,оның вертикаль асимптоталарын табу керек; 3.Функцияның тақ-жұптығын,периодтылығын анықтау қажет; 4.Функцияның графигінің кординаталар осьтерімен қиылысу нүктелерін табу керек; 5.Функцияның қауіпті нүктелерін табу керек; 6.Функцияның өсу және кему аралықтары мен экстремумдарын анықтау қажет; 7.Қажет болса,функция графигіне тиісті тағы бірнеше нүктенің координаталарын тауып,анықталған мәліметтерді кестеге толтырған тиімді. Соңында,осы мәліметтерге сүйене отырып,функция графигінің жобасын салу керек.
|
Мысалдар қарастырайық. мысал. y x3 x2 2; функциясын зерттеу Шешуі.
D( f ) ;; 2)Функцияның үзіліс нүктелері жоқ,яғни ол бүкіл сан өсінде үздіксіз; 3)Жалпы жағдайдағы функция (ЖЖФ),яғни функция тақ та,жұп та емес.Периодсыз
x 1x2 2x 2 0, x 1, Яғни функция графигі Ох осін (1;0) нүктесінде қиып өтеді; Оу осімен қиылысуы: X 0 y 2, яғни функция графигі Оу осін (0;-2) нүктесінде қиып өтеді;
|
«Жарайсың!», «Керемет!» деген сақтау сөздерімен бағалайды |
Оқулық, жұмыс дәптері Кітап, дәптер, Слайд |
|||||||||||||||||||||||||||||||||||||||||||||||||||||
|
Сабақтың ортасы 20мин |
|
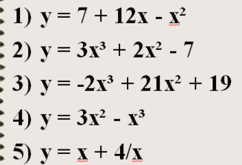
м
|
Дескриптор: -бірінші ретті туындысын табады; -сындық нүктелерін табады; -таңба аралығын анықтайды; -өсу кему аралығын анықтайды; ҚБ: «мен сені , сен мені» жұппен тексеру |
Оқулық, жұмыс дәптері Кітап, дәптер, Слайд |
|||||||||||||||||||||||||||||||||||||||||||||||||||||
|
|
|
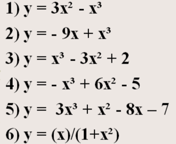
2-тапырмаЕ
|
Дескриптор: -өрнекті түрлендіріп алады; -сындық нүктелерін табады; -таңба аралыгын анықтайды; -экстремум нүктелерін табады ҚБ: «мен сені , сен мені» жұппен тексеру |
Оқулық, жұмыс дәптері Кітап, дәптер, Слайд |
|||||||||||||||||||||||||||||||||||||||||||||||||||||
|
|
3-мысал.y=2x3+3x2-1 функциясын зерттеп, графигін сал
у΄=6х²+6х=6х(х+1) => 6х(х+1)=0х=0 и х=-1 (стационар нүктелер)
|
7
|
Дескриптор: 1. анықталу облысын табады; 2. функцияның үзіліс нүктелерін анықтайды 3.Функцияның тақ-жұптығын,периодтылығынтабады 4. кординаталар осьтерімен қиылысу нүктелерін табады; 5.Функцияның қауіпті нүктелерін табады; 6.Функцияның өсу және кему аралықтары мен экстремумдарын анықтайды 7.қосымша нүктелерді таба отырып, графигін сызады. |
Оқулық, жұмыс дәптері Кітап, дәптер, Слайд |
|||||||||||||||||||||||||||||||||||||||||||||||||||||
|
Сабақтың соңы 5минут |
|
Оқушылар бүгінгі сабақтың мақсатына жеткізетін тапсырмалар орындауына қарай, өз түсінгенін, пікірін, өз ойын айту арқылы сабаққа қорытынды жасайды БАҚЫЛАУ СҰРАҚТАРЫ:
ЖИ арқылы жасау
ЖИ арқылы жасау
Бөлісу 1 - айлық Материал тарифі-96% жеңілдік 00 05 00 ҚМЖ
Ашық сабақ
Тәрбие сағаты
Презентация
БЖБ, ТЖБ тесттер
Көрнекіліктер
Балабақшаға арнарлған құжаттар
Мақала, Эссе
Дидактикалық ойындар
және тағы басқа 400 000 материал
Барлық 400 000 материалдарды шексіз жүктеу мүмкіндігіне ие боласыз 1 990 ₸ 49 000₸ 1 айға қосылу Материалға шағымдану Бұл материал сайт қолданушысы жариялаған. Материалдың ішінде жазылған барлық ақпаратқа жауапкершілікті жариялаған қолданушы жауап береді. Ұстаз тілегі тек ақпаратты таратуға қолдау көрсетеді. Егер материал сіздің авторлық құқығыңызды бұзған болса немесе басқа да себептермен сайттан өшіру керек деп ойласаңыз осында жазыңыз Жариялаған: ГуляШағым жылдам қаралу үшін барынша толық ақпарат жіберіңіз Туындының көмегімен функцияны зерттеу және графигін салу
Тақырып бойынша 24 материал табылды
Туындының көмегімен функцияны зерттеу және графигін салуМатериал туралы қысқаша түсінік
Туындының көмегімен функцияны зерттеу және графигін салу
Материалдың қысқаша нұсқасы Қысқамерзімді жоспар №9-сабақ Сабақтың тақырыбы: Туындының көмегімен функцияны зерттеу және графигін салу.
Сабақтың барысы:
| |||||||||||||||||||||||||||||||||||||||||||||||||||||||




ысалга
қарап тапсырмаларды орынайды
нді осы
мысалға қарап келесі функциялардың экстремумдарын тап
)Графигін
сызайық














