Қысқамерзімді жоспар
№11-сабақ
Сабақтың тақырыбы: Туындының көмегімен функцияны зерттеу және графигін салу.
|
Бөлім: |
Туындының қолданылуы |
|
Педагогтің аты-жөні: |
|
|
Күні: |
|
|
Сыныбы: 10 «Ә» |
Қатысушылар саны: Қатыспағандар саны: |
|
Сабақтың тақырыбы: |
Туындының көмегімен функцияны зерттеу және графигін салу. |
|
Оқу бағдарламасына сәйкес оқу мақсаты: |
10.4.1.33 - туындының көмегімен функцияның қасиеттерін зерттеу және оның графигін салу |
|
Сабақтың мақсаты: |
Функцияны зерттеу,оның қасиеттерін анықтауда білім мен дағдыларын қалыптастыру, функцияны зерттеуде білімдерін кеңейту, функция графигін салуда туындыны қолдану; |
Сабақтың барысы:
|
Сабақ кезеңі/Уақыты |
Педагогтің іс-әрекеті |
Оқушының іс-әрекеті |
Бағалау |
Ресурстар |
|
Ұйымдастыру кезеңі Қызығушылықты ояту. 5 мин. |
(Ұ). Ұйымдастыру кезеңі: 1.Оқушылар- мен амандасу, түгендеу. 2.Ынтымақ-тастық атмосферасын қалыптастыру 1.Мұғалім оқушыларды түгендейді. 2.Амандасадыжәне тілектерін білдіреді. |
1.Оқушылар мұғалім- мен амандасады. 2. Сабаққа дайындалады. |
Жарайсың!», «Керемет!» деген сақтау сөздерімен бағалайды. |
Оқулық, жұмыс дәптері Кітап, дәптер,
|
|
Сабақтың басы Жаңа сабақты түсіндіру 10мин |
Функцияны зерттеп, графигін салудың толық жоспары.Сонымен,Функцияны зерттеуді мынадай жоспар бойынша орындаған тиімді. 1.Функцияның анықталу облысын табу қажет; 2.Егер бар болса,функцияның үзіліс нүктелерін анықтап,оның вертикаль асимптоталарын табу керек; 3.Функцияның тақ-жұптығын,периодтылығын анықтау қажет; 4.Функцияның графигінің кординаталар осьтерімен қиылысу нүктелерін табу керек; 5.Функцияның қауіпті нүктелерін табу керек; 6.Функцияның өсу және кему аралықтары мен экстремумдарын анықтау қажет; 7.Қажет болса,функция графигіне тиісті тағы бірнеше нүктенің координаталарын тауып,анықталған мәліметтерді кестеге толтырған тиімді. Соңында,осы мәліметтерге сүйене отырып,функция графигінің жобасын салу керек. |
|
«Жарайсың!», «Керемет!» деген сақтау сөздерімен бағалайды |
Оқулық, жұмыс дәптері Кітап, дәптер, Слайд |
|
|
4. Функцияның асимптоталарын табамыз.а) Вертикаль асимптота: х=0 түзуі (Оу өсі), себебі: |
|
«Жарайсың!», «Керемет!» деген сақтау сөздерімен бағалайды |
Оқулық, жұмыс дәптері Кітап, дәптер, Слайд |
|
Сабақтың ортасы 25мин
|
№7.101.функцияның көрсетілген аралықтағы ең үлкен және ең кіші аралықтарын табыңдар |
Дескриптор: -бірінші ретті туындысын табады; -сындық нүктелерін табады; -таңба аралығын анықтайды; -ең үлкен және ең кіші аралығын анықтайды; |
ҚБ: «мен сені , сен мені» жұппен тексеру |
Оқулық, жұмыс дәптері Кітап, дәптер, Слайд |
|
|
Ф
|
Дескриптор: -өрнекті түрлендіріп алады; -сындық нүктелерін табады; -таңба аралыгын анықтайды; -экстремум нүктелерін табады |
ҚБ: «мен сені , сен мені» жұппен тексеру |
Оқулық, жұмыс дәптері Кітап, дәптер, Слайд |
|
|
Функцияны зерттеп , графигін салыңыз |
Дескриптор: 1. анықталу облысын табады; 2. функцияның үзіліс нүктелерін анықтайды 3.Функцияның тақ-жұптығын,периодтылығынтабады 4. кординаталар осьтерімен қиылысу нүктелерін табады; 5.Функцияның қауіпті нүктелерін табады; 6.Функцияның өсу және кему аралықтары мен экстремумдарын анықтайды 7.қосымша нүктелерді таба отырып, графигін сызады. |
ҚБ: «мен сені , сен мені» жұппен тексеру |
Оқулық, жұмыс дәптері Кітап, дәптер, Слайд |
|
Сабақтың соңы 5минут |
|
Оқушылар бүгінгі сабақтың мақсатына жеткізетін тапсырмалар орындауына қарай, өз түсінгенін, пікірін, өз ойын айту арқылы сабаққа қорытынды жасайды БАҚЫЛАУ СҰРАҚТАРЫ:
|
Мұғалім оқушыларды 1-10 баллдық жүйе бойынша оқушылардың сабаққа қатысу белсенділігі бойынша бағаланады |
Бағалау парағы Тақта слайд |
жүктеу мүмкіндігіне ие боласыз
Бұл материал сайт қолданушысы жариялаған. Материалдың ішінде жазылған барлық ақпаратқа жауапкершілікті жариялаған қолданушы жауап береді. Ұстаз тілегі тек ақпаратты таратуға қолдау көрсетеді. Егер материал сіздің авторлық құқығыңызды бұзған болса немесе басқа да себептермен сайттан өшіру керек деп ойласаңыз осында жазыңыз
Туындының көмегімен функцияны зерттеу және графигін салу..
Туындының көмегімен функцияны зерттеу және графигін салу..
Қысқамерзімді жоспар
№11-сабақ
Сабақтың тақырыбы: Туындының көмегімен функцияны зерттеу және графигін салу.
|
Бөлім: |
Туындының қолданылуы |
|
Педагогтің аты-жөні: |
|
|
Күні: |
|
|
Сыныбы: 10 «Ә» |
Қатысушылар саны: Қатыспағандар саны: |
|
Сабақтың тақырыбы: |
Туындының көмегімен функцияны зерттеу және графигін салу. |
|
Оқу бағдарламасына сәйкес оқу мақсаты: |
10.4.1.33 - туындының көмегімен функцияның қасиеттерін зерттеу және оның графигін салу |
|
Сабақтың мақсаты: |
Функцияны зерттеу,оның қасиеттерін анықтауда білім мен дағдыларын қалыптастыру, функцияны зерттеуде білімдерін кеңейту, функция графигін салуда туындыны қолдану; |
Сабақтың барысы:
|
Сабақ кезеңі/Уақыты |
Педагогтің іс-әрекеті |
Оқушының іс-әрекеті |
Бағалау |
Ресурстар |
|
Ұйымдастыру кезеңі Қызығушылықты ояту. 5 мин. |
(Ұ). Ұйымдастыру кезеңі: 1.Оқушылар- мен амандасу, түгендеу. 2.Ынтымақ-тастық атмосферасын қалыптастыру 1.Мұғалім оқушыларды түгендейді. 2.Амандасадыжәне тілектерін білдіреді. |
1.Оқушылар мұғалім- мен амандасады. 2. Сабаққа дайындалады. |
Жарайсың!», «Керемет!» деген сақтау сөздерімен бағалайды. |
Оқулық, жұмыс дәптері Кітап, дәптер,
|
|
Сабақтың басы Жаңа сабақты түсіндіру 10мин |
Функцияны зерттеп, графигін салудың толық жоспары.Сонымен,Функцияны зерттеуді мынадай жоспар бойынша орындаған тиімді. 1.Функцияның анықталу облысын табу қажет; 2.Егер бар болса,функцияның үзіліс нүктелерін анықтап,оның вертикаль асимптоталарын табу керек; 3.Функцияның тақ-жұптығын,периодтылығын анықтау қажет; 4.Функцияның графигінің кординаталар осьтерімен қиылысу нүктелерін табу керек; 5.Функцияның қауіпті нүктелерін табу керек; 6.Функцияның өсу және кему аралықтары мен экстремумдарын анықтау қажет; 7.Қажет болса,функция графигіне тиісті тағы бірнеше нүктенің координаталарын тауып,анықталған мәліметтерді кестеге толтырған тиімді. Соңында,осы мәліметтерге сүйене отырып,функция графигінің жобасын салу керек. |
|
«Жарайсың!», «Керемет!» деген сақтау сөздерімен бағалайды |
Оқулық, жұмыс дәптері Кітап, дәптер, Слайд |
|
|
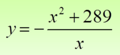
4. Функцияның асимптоталарын табамыз.а) Вертикаль асимптота: х=0 түзуі (Оу өсі), себебі: |
|
«Жарайсың!», «Керемет!» деген сақтау сөздерімен бағалайды |
Оқулық, жұмыс дәптері Кітап, дәптер, Слайд |
|
Сабақтың ортасы 25мин
|
№7.101.функцияның көрсетілген аралықтағы ең үлкен және ең кіші аралықтарын табыңдар |
Дескриптор: -бірінші ретті туындысын табады; -сындық нүктелерін табады; -таңба аралығын анықтайды; -ең үлкен және ең кіші аралығын анықтайды; |
ҚБ: «мен сені , сен мені» жұппен тексеру |
Оқулық, жұмыс дәптері Кітап, дәптер, Слайд |
|
|
Ф
|
Дескриптор: -өрнекті түрлендіріп алады; -сындық нүктелерін табады; -таңба аралыгын анықтайды; -экстремум нүктелерін табады |
ҚБ: «мен сені , сен мені» жұппен тексеру |
Оқулық, жұмыс дәптері Кітап, дәптер, Слайд |
|
|
Функцияны зерттеп , графигін салыңыз |
Дескриптор: 1. анықталу облысын табады; 2. функцияның үзіліс нүктелерін анықтайды 3.Функцияның тақ-жұптығын,периодтылығынтабады 4. кординаталар осьтерімен қиылысу нүктелерін табады; 5.Функцияның қауіпті нүктелерін табады; 6.Функцияның өсу және кему аралықтары мен экстремумдарын анықтайды 7.қосымша нүктелерді таба отырып, графигін сызады. |
ҚБ: «мен сені , сен мені» жұппен тексеру |
Оқулық, жұмыс дәптері Кітап, дәптер, Слайд |
|
Сабақтың соңы 5минут |
|
Оқушылар бүгінгі сабақтың мақсатына жеткізетін тапсырмалар орындауына қарай, өз түсінгенін, пікірін, өз ойын айту арқылы сабаққа қорытынды жасайды БАҚЫЛАУ СҰРАҚТАРЫ:
|
Мұғалім оқушыларды 1-10 баллдық жүйе бойынша оқушылардың сабаққа қатысу белсенділігі бойынша бағаланады |
Бағалау парағы Тақта слайд |
шағым қалдыра аласыз





ункцияны
зерттеп , графигін салыңыз














