10-сынып, Геометрия
(Жаратылыстану-математика
бағыты)
Қысқамерзімді жоспар №1-сабақ
Сабақтың тақырыбы: Векторлардың скаляр көбейтіндісі
|
Бөлім: |
Кеңістіктегі тікбұрышты координаталар жүйесі және векторлар |
|
Педагогтің аты-жөні: |
|
|
Күні: |
|
|
Сыныбы: 10 |
Қатысушылар саны: Қатыспағандар саны: |
|
Сабақтың тақырыбы: |
Векторлардың скаляр көбейтіндісі |
|
Оқу бағдарламасына сәйкес оқу мақсаты: |
10.4.4 - кеңістіктегі векторлардың скаляр көбейтіндісінің анықтамасы мен қасиеттерін білу; |
|
Сабақтың мақсаты: |
Білім алушылар кеңістіктегі векторлардың скаляр көбейтіндісінің анықтамасы мен қасиеттерін біледі. Білім алушылар координаталық түрдегі векторлардың скаляр көбейтіндісі формуласын біледі және оны есептер шығаруда қолданады.. |
Сабақтың барысы:
|
Сабақ кезеңі/Уақыты |
Педагогтің іс-әрекеті |
Оқушының іс-әрекеті |
Бағалау |
Ресурстар |
|
Сабақтың басы Қызығушылықты ояту. 5 мин. |
(Ұ). Ұйымдастыру кезеңі: 1.Оқушылар- мен амандасу, түгендеу. 2.Ынтымақ-тастық атмосферасын қалыптастыру 1.Мұғалім оқушыларды түгендейді. 2.Амандасадыжәне тілектерін білдіреді. |
1.Оқушылар мұғалім- мен амандасады. 2. Сабаққа дайындалады. Мақсаты: Оқушылар бір-біріне тілек білдіреді, тыңдау дағдыларын дамытуға бағытталады, сондай-ақ барлық оқушылардың қатыстырылуы арқылы сабаққа белсенділігі артады. |
Оқушылардың белсенділігі үшін «Жарайсың!», «Керемет!» деген сақтау сөздерімен бағалайды. . |
Оқулық, жұмыс дәптері Кітап, дәптер,
|
|
Жаңа сабаққа кіріспе 10 |
|
Оқушылар жаңа тақырыпты слайдтағы мәліметтерге қарап түсінеді, мысалдары мен формулаларды жазып алады
|
Өз ойын дұрыс мағынада білдіріп, талқылауға белсенділікпен қатысқан оқушыға «Жарайсың!» деген мадақтау сөзімен ынталандыру. |
Оқулық, жұмыс дәптері Кітап, дәптер, қалам ДК экраны |
|
Сабақтың ортасы Мағынаны ашу. 25 мин. |
Тапсырма 1 Векторлардың скаляр көбейтіндісін формуламен табыңдар І топ а⃗(1,2,4) және ?⃗(-8,2,1) ІІ топ ?⃗(-2,-3,1) және ?⃗(2,3,1) ІІІ топ ?⃗(1,-5,2) және ?⃗ (3,1,2) |
Дескриптор: Білім алушы -координаталық түрдегі векторлардың скаляр көбейтіндісі формуласын қолданады; -векторлардың скаляр көбейтіндісін есептейді. -векторлардың скаляр көбейтіндісінің қасиетін қолданады; -векторлардың скаляр көбейтіндісін есептейді |
ҚБ Топтар бірін бірі бас бармақ әдісімен бағалайды |
ДК экраны 10-сынып оқулығы. Жұмыс дәптерлері. Слайд. |
|
|
Тапсырма 2 Векторлардың скаляр көбейтіндісін 2-формуламен табыңдар І топ ?⃗ (5,-2,1) және ?⃗ (2,3,-1) ІІ топ ?⃗(3,-2,4) және ?⃗ (1,2,5) ІІІ топ ?⃗(-2,3,1) және ?⃗(2,-4,1) |
Оқушылар тапсырманы топпен орындайды Есепті шығаруда 2-формуланы қолданады - вектордың скаляр көбейтіндісінің формуласын қолданып есептер шығарады |
Дескриптор: - -Векторлардың сәйкес координаталарын көбейтеді -Қосындысын табады -Жауабын жазады |
ДК экраны 10-сынып оқулығы. Жұмыс дәптерлері. Слайд. |
|
|
3-тапсырма a,b және с векторлары өзара қос-қостан 60°С бұрыш жасаса, және |а|=1, |b|=2, |c|=3болса, (a+b)(a-c) скалярлық көбейтіндісін табады. |
Бұрыштың косинусын табады Тапсырма 4 А(0;1;-1), В(1;-1;2), С(3;1;0) нүктелері берілген. АВС үшбұрышындағы: І топ АВС үшбұрышындағы В -бұрышының косинусын табыңдар ІІ топ АВС үшбұрышындағы А -бұрышының косинусын табыңдар ІІІ топ АВС үшбұрышындағы С -бұрышының косинусын табады |
Дескриптор: - -Векторлардың сәйкес координаталарын көбейтеді -Қосындысын табады -Жауабын жазады -Векторлардың модульін табады -Көбейтіндіні бұрыштың косинусына көбейтеді -Жауабын жазады -Вектор координаталарын анықтайды -Тиімді формуламен есептейді -Жауабын жазады |
ДК экраны 10-сынып оқулығы. Жұмыс дәптерлері. Слайд. |
|
|
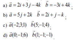
5-тапсырма.Векторлардың скаляр көбейтіндісін тап
|
|
Дескриптор: 1.Скалярлық көбейтіндісін табады. 2.Жауабын анықтайды. |
Слайд ДК экраны Оқу құралдары |
|
Жеке тапсырма
|
|
Дескриптор: 1.Скалярлық көбейтіндісін табады. 2.Жауабын анықтайды. |
ДК экраны 10-сынып оқулығы. Жұмыс дәптерлері. Слайд. |
|
|
Сабақтың соңы Ой толғаныс. Рефлексия 5 мин. |
«Білім поштасы» әдісі. Мұғалім сабақты оқушылардың пікірін анықтайды. Жинақталған деректердің құнды болуын қадағалайды. Саралау: Бұл кезеңде саралаудың «Қорытынды» тәсілі көрінеді. Үйге тапсырма: № есеп.
|
Оқушылар бүгінгі сабақтың мақсатына жеткізетін тапсырмалар орындауына қарай, өз түсінгенін, пікірін, өз ойын айту арқылы сабаққа қорытынды жасайды. Хат толтырып, білім поштасына салады
|
оқушылардың сабаққа қатысу белсенділігі бойынша және сабақ кезеңдерінде жинаған баллдарының жалпы есебі ескеріліп 1-10 баллдық шкаламен бағаланады. |
ДК экраны 10-сынып оқулығы. Жұмыс дәптерлері. Слайд. Білім поштасы, хаттар |
жүктеу мүмкіндігіне ие боласыз
Бұл материал сайт қолданушысы жариялаған. Материалдың ішінде жазылған барлық ақпаратқа жауапкершілікті жариялаған қолданушы жауап береді. Ұстаз тілегі тек ақпаратты таратуға қолдау көрсетеді. Егер материал сіздің авторлық құқығыңызды бұзған болса немесе басқа да себептермен сайттан өшіру керек деп ойласаңыз осында жазыңыз
Векторлардың скаляр көбейтіндісі ҚМЖ
Векторлардың скаляр көбейтіндісі ҚМЖ
10-сынып, Геометрия
(Жаратылыстану-математика
бағыты)
Қысқамерзімді жоспар №1-сабақ
Сабақтың тақырыбы: Векторлардың скаляр көбейтіндісі
|
Бөлім: |
Кеңістіктегі тікбұрышты координаталар жүйесі және векторлар |
|
Педагогтің аты-жөні: |
|
|
Күні: |
|
|
Сыныбы: 10 |
Қатысушылар саны: Қатыспағандар саны: |
|
Сабақтың тақырыбы: |
Векторлардың скаляр көбейтіндісі |
|
Оқу бағдарламасына сәйкес оқу мақсаты: |
10.4.4 - кеңістіктегі векторлардың скаляр көбейтіндісінің анықтамасы мен қасиеттерін білу; |
|
Сабақтың мақсаты: |
Білім алушылар кеңістіктегі векторлардың скаляр көбейтіндісінің анықтамасы мен қасиеттерін біледі. Білім алушылар координаталық түрдегі векторлардың скаляр көбейтіндісі формуласын біледі және оны есептер шығаруда қолданады.. |
Сабақтың барысы:
|
Сабақ кезеңі/Уақыты |
Педагогтің іс-әрекеті |
Оқушының іс-әрекеті |
Бағалау |
Ресурстар |
|
Сабақтың басы Қызығушылықты ояту. 5 мин. |
(Ұ). Ұйымдастыру кезеңі: 1.Оқушылар- мен амандасу, түгендеу. 2.Ынтымақ-тастық атмосферасын қалыптастыру 1.Мұғалім оқушыларды түгендейді. 2.Амандасадыжәне тілектерін білдіреді. |
1.Оқушылар мұғалім- мен амандасады. 2. Сабаққа дайындалады. Мақсаты: Оқушылар бір-біріне тілек білдіреді, тыңдау дағдыларын дамытуға бағытталады, сондай-ақ барлық оқушылардың қатыстырылуы арқылы сабаққа белсенділігі артады. |
Оқушылардың белсенділігі үшін «Жарайсың!», «Керемет!» деген сақтау сөздерімен бағалайды. . |
Оқулық, жұмыс дәптері Кітап, дәптер,
|
|
Жаңа сабаққа кіріспе 10 |
|
Оқушылар жаңа тақырыпты слайдтағы мәліметтерге қарап түсінеді, мысалдары мен формулаларды жазып алады
|
Өз ойын дұрыс мағынада білдіріп, талқылауға белсенділікпен қатысқан оқушыға «Жарайсың!» деген мадақтау сөзімен ынталандыру. |
Оқулық, жұмыс дәптері Кітап, дәптер, қалам ДК экраны |
|
Сабақтың ортасы Мағынаны ашу. 25 мин. |
Тапсырма 1 Векторлардың скаляр көбейтіндісін формуламен табыңдар І топ а⃗(1,2,4) және ?⃗(-8,2,1) ІІ топ ?⃗(-2,-3,1) және ?⃗(2,3,1) ІІІ топ ?⃗(1,-5,2) және ?⃗ (3,1,2) |
Дескриптор: Білім алушы -координаталық түрдегі векторлардың скаляр көбейтіндісі формуласын қолданады; -векторлардың скаляр көбейтіндісін есептейді. -векторлардың скаляр көбейтіндісінің қасиетін қолданады; -векторлардың скаляр көбейтіндісін есептейді |
ҚБ Топтар бірін бірі бас бармақ әдісімен бағалайды |
ДК экраны 10-сынып оқулығы. Жұмыс дәптерлері. Слайд. |
|
|
Тапсырма 2 Векторлардың скаляр көбейтіндісін 2-формуламен табыңдар І топ ?⃗ (5,-2,1) және ?⃗ (2,3,-1) ІІ топ ?⃗(3,-2,4) және ?⃗ (1,2,5) ІІІ топ ?⃗(-2,3,1) және ?⃗(2,-4,1) |
Оқушылар тапсырманы топпен орындайды Есепті шығаруда 2-формуланы қолданады - вектордың скаляр көбейтіндісінің формуласын қолданып есептер шығарады |
Дескриптор: - -Векторлардың сәйкес координаталарын көбейтеді -Қосындысын табады -Жауабын жазады |
ДК экраны 10-сынып оқулығы. Жұмыс дәптерлері. Слайд. |
|
|
3-тапсырма a,b және с векторлары өзара қос-қостан 60°С бұрыш жасаса, және |а|=1, |b|=2, |c|=3болса, (a+b)(a-c) скалярлық көбейтіндісін табады. |
Бұрыштың косинусын табады Тапсырма 4 А(0;1;-1), В(1;-1;2), С(3;1;0) нүктелері берілген. АВС үшбұрышындағы: І топ АВС үшбұрышындағы В -бұрышының косинусын табыңдар ІІ топ АВС үшбұрышындағы А -бұрышының косинусын табыңдар ІІІ топ АВС үшбұрышындағы С -бұрышының косинусын табады |
Дескриптор: - -Векторлардың сәйкес координаталарын көбейтеді -Қосындысын табады -Жауабын жазады -Векторлардың модульін табады -Көбейтіндіні бұрыштың косинусына көбейтеді -Жауабын жазады -Вектор координаталарын анықтайды -Тиімді формуламен есептейді -Жауабын жазады |
ДК экраны 10-сынып оқулығы. Жұмыс дәптерлері. Слайд. |
|
|
5-тапсырма.Векторлардың скаляр көбейтіндісін тап
|
|
Дескриптор: 1.Скалярлық көбейтіндісін табады. 2.Жауабын анықтайды. |
Слайд ДК экраны Оқу құралдары |
|
Жеке тапсырма
|
|
Дескриптор: 1.Скалярлық көбейтіндісін табады. 2.Жауабын анықтайды. |
ДК экраны 10-сынып оқулығы. Жұмыс дәптерлері. Слайд. |
|
|
Сабақтың соңы Ой толғаныс. Рефлексия 5 мин. |
«Білім поштасы» әдісі. Мұғалім сабақты оқушылардың пікірін анықтайды. Жинақталған деректердің құнды болуын қадағалайды. Саралау: Бұл кезеңде саралаудың «Қорытынды» тәсілі көрінеді. Үйге тапсырма: № есеп.
|
Оқушылар бүгінгі сабақтың мақсатына жеткізетін тапсырмалар орындауына қарай, өз түсінгенін, пікірін, өз ойын айту арқылы сабаққа қорытынды жасайды. Хат толтырып, білім поштасына салады
|
оқушылардың сабаққа қатысу белсенділігі бойынша және сабақ кезеңдерінде жинаған баллдарының жалпы есебі ескеріліп 1-10 баллдық шкаламен бағаланады. |
ДК экраны 10-сынып оқулығы. Жұмыс дәптерлері. Слайд. Білім поштасы, хаттар |
шағым қалдыра аласыз






















