Бекітемін:
|
Бөлім: |
Тригонометриялық теңдеулер |
|||||
|
Педагогтің аты-жөні: |
|
|||||
|
Күні: |
|
|||||
|
Сынып: 10 |
Қатысқандар саны: Қатыспағандар саны: |
|||||
|
Сабақтың тақырыбы: |
Тригонометриялық теңдеулер және олардың жүйелерін шешу әдістері |
|||||
|
Оқу бағдарламасына сәйкес оқыту мақсаттары: |
10.2.3.15 - тригонометриялық теңдеулерді универсал алмастыру арқылы шеше алу |
|||||
|
Сабақтың мақсаты: |
-тригонометриялық теңдеулерді тригонометриялық өрнектерді алмастыру әдісін қолдану арқылы шеше алады; - біртекті тригонометриялық теңдеулерді шешу жолдарын біледі. |
|||||
|
Құндылықтар: |
Бірлік және ынтымақ - Командада жұмыс істей білу ; -Өзгелерге мейірімділік, жанашырлық таныта білу ; - Айналасындағыларға көмек көрсету; Әділдік және жауапкершілік - Басқалар үшін маңызды тапсырмаларды орындаудың қажеттілігі мен маңыздылығын түсіну. - Бастаған ісін соңына дейін жеткізе білу |
|||||
|
Уақыты/ кезеңдері |
Педагогтің әрекеті |
Оқушының әрекеті |
Бағалау |
Ресурстар |
||
|
Ұйымдас- тыру кезеңі 5мин |
Сәлемдесу; Сыныптағы оқушылардың көңіл күйлерін сұрап, жағымды ахуал туындату; Оқушыларды түгелдеу; Сабақтың мақсатымен таныстыру |
Мұғаліммен сәлемдесу; Сыныпта жағымды ахуал туындату, бір-біріне жақсы тілектерін білдіру; Сабақтың мақсатын мұғаліммен бірге ашу, сұрақтар туындаса мұғалімнің көмегіне жүгіну |
Ауызша бағалауды қоданамын «Өте жақсы» «Жарайсың» |
Тақта; Оқулық; |
||
|
Сабақтың басы 10 минут |
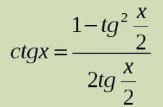
Бүгінгі тақырыпты қысқаша слайдпен түсіндіреді, мысалдар келтіреді Оқушылар берілген тапсырмаларды орындайды; көмек керек болса мұғалім көмегіне жүгінеді Универсал алмастыру формулалары
1-мысал. Теңдеуді униврсал алмастыру әдісімен шығар
|
Мактау мадақтау арқылы бағалау: Жарайсың! Өте жақсы! Жақсы! Керемет! |
Тақта; Слайд; Оқулық 10-сынып, Алгебра, авторы Әбілқасымова А.Е. т.б...-Алматы, Мектеп баспасы 2019 |
|||
|
Сабақтың ортасы 25минут |
Бектіру тапсырмаларын орындатамын 1-тапсырма 10cos2x+8=tgx 10((1-tg2x)\(1+tg2x)+8-tgx=0 tgx=t 10-10t2+8+8t2-t-t3=0 t=2 (t-2)(t2+4t+9)=0 tgx=2 x=arctg2+ Берілген тапсырмаларды орындайды |
«Басбармақ» әдісімен бір – бірін бағалау жүргізіледі |
Тақта; Слайд; Оқулық 10-сынып, Алгебра, авторы Әбілқасымова А.Е. т.б. |
|||
|
№20.12 Алмастыру әдісін қолданып,теңдеулер жүйесін шешіңдер |
|
Тақта Бор Кітап Дәптер Интерактивті тақта Бағалау парақтары |
||||
|
|
ҚБ: «Плюс, минус, қызықты» әдісі арқылы оқушылар бірін бірі бағалайды |
Тақта Бор Кітап Дәптер Интерактивті тақта Бағалау парақтары |
||||
|
Өзіндік жұмыс |
Есепті жалғастыр: 5sinx-12cosx=13
t=5 ары қарай есепті жалғастырыңыз |
ҚБ: «Плюс, минус, қызықты» әдісі арқылы оқушылар бірін бірі бағалайды |
Тақта Бор Кітап Дәптер Интерактивті тақта Бағалау парақтары |
|||
|
Сабақтың соңы 5 минут |
Қорытындылау. Рефлексия. Тіркесті толықтырыңыз: «Бүгін мен сабақта ... білдім» «Бүгін мен сабақта ... үйрендім» «Бүгін мен сабақта ... таныстым» «Бүгін мен сабақта ... қайталадым» «Бүгін мен сабақта ... бекіттім» Үй тапсырмасын беремін |
Сабақты қорытындылау: Өтілген мақсат бойынша сұрақтар қою арқылы сабақты қорытындылаймын. Сабақ соңында оқушылардан рефлексия алу: - тақырып бойынша не білемін? - тағы не білгім келеді? - не істей аламын? |
Ынталандыру сөздерін қолдану «жақсы», «жарайсың», «өте жақсы» 1-10 баллдық жүйеде бағаланады |
Бағалау парақтары; оқулық; |
||
жүктеу мүмкіндігіне ие боласыз
Бұл материал сайт қолданушысы жариялаған. Материалдың ішінде жазылған барлық ақпаратқа жауапкершілікті жариялаған қолданушы жауап береді. Ұстаз тілегі тек ақпаратты таратуға қолдау көрсетеді. Егер материал сіздің авторлық құқығыңызды бұзған болса немесе басқа да себептермен сайттан өшіру керек деп ойласаңыз осында жазыңыз
10 сынып алгебра Тригонометриялық теңдеулер және олардың жүйелерін шешу әдістері
10 сынып алгебра Тригонометриялық теңдеулер және олардың жүйелерін шешу әдістері
Бекітемін:
|
Бөлім: |
Тригонометриялық теңдеулер |
|||||
|
Педагогтің аты-жөні: |
|
|||||
|
Күні: |
|
|||||
|
Сынып: 10 |
Қатысқандар саны: Қатыспағандар саны: |
|||||
|
Сабақтың тақырыбы: |
Тригонометриялық теңдеулер және олардың жүйелерін шешу әдістері |
|||||
|
Оқу бағдарламасына сәйкес оқыту мақсаттары: |
10.2.3.15 - тригонометриялық теңдеулерді универсал алмастыру арқылы шеше алу |
|||||
|
Сабақтың мақсаты: |
-тригонометриялық теңдеулерді тригонометриялық өрнектерді алмастыру әдісін қолдану арқылы шеше алады; - біртекті тригонометриялық теңдеулерді шешу жолдарын біледі. |
|||||
|
Құндылықтар: |
Бірлік және ынтымақ - Командада жұмыс істей білу ; -Өзгелерге мейірімділік, жанашырлық таныта білу ; - Айналасындағыларға көмек көрсету; Әділдік және жауапкершілік - Басқалар үшін маңызды тапсырмаларды орындаудың қажеттілігі мен маңыздылығын түсіну. - Бастаған ісін соңына дейін жеткізе білу |
|||||
|
Уақыты/ кезеңдері |
Педагогтің әрекеті |
Оқушының әрекеті |
Бағалау |
Ресурстар |
||
|
Ұйымдас- тыру кезеңі 5мин |
Сәлемдесу; Сыныптағы оқушылардың көңіл күйлерін сұрап, жағымды ахуал туындату; Оқушыларды түгелдеу; Сабақтың мақсатымен таныстыру |
Мұғаліммен сәлемдесу; Сыныпта жағымды ахуал туындату, бір-біріне жақсы тілектерін білдіру; Сабақтың мақсатын мұғаліммен бірге ашу, сұрақтар туындаса мұғалімнің көмегіне жүгіну |
Ауызша бағалауды қоданамын «Өте жақсы» «Жарайсың» |
Тақта; Оқулық; |
||
|
Сабақтың басы 10 минут |
Бүгінгі тақырыпты қысқаша слайдпен түсіндіреді, мысалдар келтіреді Оқушылар берілген тапсырмаларды орындайды; көмек керек болса мұғалім көмегіне жүгінеді Универсал алмастыру формулалары
1-мысал. Теңдеуді униврсал алмастыру әдісімен шығар
|
Мактау мадақтау арқылы бағалау: Жарайсың! Өте жақсы! Жақсы! Керемет! |
Тақта; Слайд; Оқулық 10-сынып, Алгебра, авторы Әбілқасымова А.Е. т.б...-Алматы, Мектеп баспасы 2019 |
|||
|
Сабақтың ортасы 25минут |
Бектіру тапсырмаларын орындатамын 1-тапсырма 10cos2x+8=tgx 10((1-tg2x)\(1+tg2x)+8-tgx=0 tgx=t 10-10t2+8+8t2-t-t3=0 t=2 (t-2)(t2+4t+9)=0 tgx=2 x=arctg2+ Берілген тапсырмаларды орындайды |
«Басбармақ» әдісімен бір – бірін бағалау жүргізіледі |
Тақта; Слайд; Оқулық 10-сынып, Алгебра, авторы Әбілқасымова А.Е. т.б. |
|||
|
№20.12 Алмастыру әдісін қолданып,теңдеулер жүйесін шешіңдер |
|
Тақта Бор Кітап Дәптер Интерактивті тақта Бағалау парақтары |
||||
|
|
ҚБ: «Плюс, минус, қызықты» әдісі арқылы оқушылар бірін бірі бағалайды |
Тақта Бор Кітап Дәптер Интерактивті тақта Бағалау парақтары |
||||
|
Өзіндік жұмыс |
Есепті жалғастыр: 5sinx-12cosx=13
t=5 ары қарай есепті жалғастырыңыз |
ҚБ: «Плюс, минус, қызықты» әдісі арқылы оқушылар бірін бірі бағалайды |
Тақта Бор Кітап Дәптер Интерактивті тақта Бағалау парақтары |
|||
|
Сабақтың соңы 5 минут |
Қорытындылау. Рефлексия. Тіркесті толықтырыңыз: «Бүгін мен сабақта ... білдім» «Бүгін мен сабақта ... үйрендім» «Бүгін мен сабақта ... таныстым» «Бүгін мен сабақта ... қайталадым» «Бүгін мен сабақта ... бекіттім» Үй тапсырмасын беремін |
Сабақты қорытындылау: Өтілген мақсат бойынша сұрақтар қою арқылы сабақты қорытындылаймын. Сабақ соңында оқушылардан рефлексия алу: - тақырып бойынша не білемін? - тағы не білгім келеді? - не істей аламын? |
Ынталандыру сөздерін қолдану «жақсы», «жарайсың», «өте жақсы» 1-10 баллдық жүйеде бағаланады |
Бағалау парақтары; оқулық; |
||
шағым қалдыра аласыз





























