|
В помощь учителю математики Сборник работ для суммативного оценивания по алгебре и геометрии 9 класс |
2020 |

|
|

|
ТВГ учителей математики |
В помощь учителю математики Сборник работ для суммативного оценивания по алгебре и геометрии 9 класс |
Содержание
|
Введение |
|
Алгебра |
|
Суммативное оценивание за раздел «Уравнения, неравенства с двумя переменными и их системы» |
|
Суммативное оценивание за раздел «Элементы комбинаторики » |
|
Суммативное оценивание за раздел «Последовательности» |
|
Суммативное оценивание за раздел «Тригонометрия» |
|
Суммативное оценивание за раздел «Тригонометрия» |
|
Суммативное оценивание за раздел «Элементы теории вероятностей» |
|
Суммативное оценивание за 1 четверть |
|
Суммативное оценивание за 2 четверть |
|
Суммативное оценивание за 3 четверть |
|
Суммативное оценивание за 4 четверть |
|
Геометрия |
|
Суммативное оценивание за раздел «Векторы на плоскости» |
|
Суммативное оценивание за раздел «Преобразования плоскости» |
|
Суммативное оценивание за раздел «Решение треугольников» |
|
Суммативное оценивание за раздел «Окружность. Многоугольники» |
|
Суммативное оценивание за 1 четверть |
|
Суммативное оценивание за 2 четверть |
|
Суммативное оценивание за 3 четверть |
|
Суммативное оценивание за 4 четверть |
|
Форма анализа суммативного оценивания за учебный период (четверть) |
|
Список литературы |
|
Рецензия |
Рецензент - Даниярова Ж.К. кандидат педагогических наук, доцент кафедры ЭМиИТ ИнЕУ
Авторы составители суммативного оценивания:
Руководитель группы – Середкин В.П. учитель математики, педагог-мастер, Павлодарская область, Павлодарский район, КГУ Чернорецкая СОШ № 1.
Янь-Юй З.К., учитель математики, высшая категория, Алматинская область, Панфиловский район город Жаркент, КГУ СОШ имени Жамбыла.
Белгибаева Н. Б. – учитель математики, высшая категория, город Кызылорда, КГУ средняя школа № 6 имени М.А.Сужикова
Ким Н.А. – учитель математики, высшая категория, Алматинская область, Каратальский район, КГУ имени Р. Кошкарбаева
Закиряева Л.Ю. – учитель математики, первая категория, Акмолинская область, Буландынский район, КГУ Аккайинская ООШ
Бритвак Л.И. – учитель математики, первая категория, Северо-Казахстанская область, Тайыншинский район, КГУ "Краснополянская СШ"
Бредихина Н.В. – учитель математики и информатики, первая категория, Северо-Казахстанская область, район Шал акына КГУ "Афанасьевская средняя школа"
Айтмуханова Ж.А. -учитель математики, педагог-эксперт, Акмолинская область, город Кокшетау, КГУ "Средняя школа № 4".
Бегимова А.Б. - учитель математики, педагог-эксперт, Павлодарская область, г. Павлодар, КГУ СОШ № 40
Щадрина Н.М. – учитель математики, педагог-эксперт, Костанайская область, Денисовский район, с. Некрасовка КГУ Денисовская СОШ № 1
Маркель Т.П. - учитель математики, педагог-эксперт, Северо-Казахстанская область, район им. М.Жумабаева, КГУ ,,Таманский комплекс школа-ясли-сад"
Рубцова В.В – учитель математики, педагог-эксперт, КГУ Новопокровская ОШ, отдела образования Узункольского района, управления образования Костанайской области
Сыздыков М.А. – учитель математики, педагог-модератор, Павлодарская область, Железинский район, КГУ "Новомирская общеобразовательная средняя школа" отдела образования акимата Железинского района.
ВВЕДЕНИЕ
Данный сборник составлен в помощь учителю при планировании, организации и проведении суммативного оценивания за раздел и четверть по предметам алгебра и геометрия для учащихся 9 классов.
Сборник работ по суммативному оцениванию составлен на основе ГОСО, типовой учебной программы и учебного плана. Данные работы позволяют учителю определить уровень достижения учащимися запланированных целей обучения.
Все работы сборника разработаны учителями-практиками на основе своих наблюдений и опыта работы в рамках обновленного содержания образования
В курсе алгебры и геометрии 9 класса в соответствии с учебной программой и долгосрочным планом изучаются следующие разделы: алгебра - «Уравнения, неравенства с двумя переменными и их системы», «Элементы комбинаторики», «Последовательности», «Тригонометрия», «Элементы теории вероятностей», геометрии - «Векторы на плоскости», «Преобразования плоскости», «Решение треугольников», «Окружность. Многоугольники». Каждая из представленных работ для проведения суммативного оценивания за раздел и суммативного оценивание за четверть, состоит из четырех вариантов. Количество вариантов, используемое при проведение суммативного оценивания каждый учитель определяет самостоятельно.
ЗА РАЗДЕЛ «УРАВНЕНИЯ, НЕРАВЕНСТВА С ДВУМЯ ПЕРЕМЕННЫМИ
И ИХ СИСТЕМЫ»
|
Тема |
Нелинейные уравнения с двумя переменными и их системы. Неравенства с двумя переменными. Системы нелинейных неравенств с двумя переменными |
|
Цель обучения |
9.2.2.2 Решать системы нелинейных уравнений с двумя переменными 9.2.3.1 Составлять математическую модель по условию задачи 9.4.2.1Решать текстовые задачи с помощью систем уравнений 9.2.2.3 Решать неравенства с двумя переменными
|
|
Критерий оценивания |
Обучающийся Решает системы нелинейных уравнений с двумя переменными Составляет системы уравнений для решения текстовых задач Решает неравенства с двумя переменными Решает системы нелинейных неравенств с двумя переменными |
|
Уровень мыслительных навыков |
Применение |
|
Время выполнения |
25 минут |
ЗАДАНИЯ
|
Оценивание заданий работы |
|||||
|
№ задания |
1 |
2 |
3 |
4 |
5 |
|
Количество баллов |
4 |
3 |
2 |
2 |
4 |
|
Всего баллов |
15 баллов |
||||
ВАРИАНТ 1
-
Решите систему уравнений:
![]()
-
Решите задачу с помощью системы уравнений.
Расстояние между городами А и В равно 120 км. Из города А в город В вышел автобус, а через 15 мин – легковая машина, скорость которой больше скорости автобуса на 12 км/ч. Легковая машина пришла в город В на 5 мин раньше, чем туда прибыл автобус. Найдите скорости автобуса и легковой машины.
-
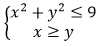
Изобразите на плоскости множество точек, заданных неравенством
![]()
-
Координаты каких из точек являются решением неравенства у ≤ -х2 + 81;
А (4; -2); В (9; 0); С (-10; 1); D (11; -11).
-
Изобразите множество точек, заданных системой неравенств:
![]()
ВАРИАНТ 2
-
Решите систему уравнений:
![]()
-
Решите задачу с помощью системы уравнений.
Из города А в город В одновременно выехали два автомобилиста. Первый проехал с постоянной скоростью весь путь. Второй проехал первую половину пути со скоростью, меньшей скорости первого на 15 км/ч, а вторую половину пути – со скоростью 90 км/ч, в результате чего прибыл в В одновременно с первым автомобилистом. Найдите скорость первого автомобилиста, если известно, что она больше 54 км/ч. Ответ дайте в км/ч
-
Изобразите на плоскости множество точек, заданных неравенством
![]()
-
Координаты каких из точек являются решением неравенства у ≤ -х2 + 81;
А (4; -2); В (9; 0); С (-10; 1); D (11; -11).
-
Изобразите множество точек, заданных системой неравенств:
![]()
ВАРИАНТ 3
-
Решите систему уравнений:
![]()
-
Решите задачу с помощью системы уравнений.
Велосипедист и пешеход вышли из пунктов А и В, расстояние между которыми 12 км, и встретились через 20 мин. Пешеход прибыл в пункт А на 1ч 36 мин позже, чем велосипедист в пункт В. Найти скорость пешехода. Ответ дайте в км/ч.
-
Изобразите на плоскости множество точек, заданных неравенством
![]()
-
Координаты каких из точек являются решением неравенства у ≤ -х2 + 12;
A (-1; 10); B (3; 7); C (-5; 0); D (-3; 4).
-
Изобразите множество точек, заданных системой неравенств:
![]()
ВАРИАНТ 4
-
Решите систему уравнений:
![]()
-
Решите задачу с помощью системы уравнений.
Расстояние между пристанями A и B равно 120 км. Из A в B по течению реки отправился плот, а через час вслед за ним отправилась яхта, которая, прибыв в пункт B, тотчас повернула обратно и возвратилась в A. К этому времени плот прошел 24 км. Найдите скорость яхты в неподвижной воде, если скорость течения реки равна 2 км/ч. Ответ дайте в км/ч.
-
Изобразите на плоскости множество точек, заданных неравенством
![]()
-
Координаты каких из точек являются решением неравенства у ≤ -х2 + 12;
A (-1; 10); B (3; 7); C (-5; 0); D (-3; 4).
-
Изобразите множество точек, заданных системой неравенств:
![]()
-
Критерий оценивания
№
задания
Дескриптор
Балл
Обучающийся
Применяет методы
решения систем нелинейных уравнений с двумя переменными
1
выражает одну переменную через другую;
1
использует метод подстановки;
1
решает полученное уравнение;
1
находит решения системы уравнений;
1
Составляет системы уравнений для решения текстовых задач
2
записывает уравнение, выражая одну
скорость через другую;
1
составляет систему уравнений, используя
разницу во времени;
1
выбирает корни в соответствии с условием задачи;
1
Решает неравенства с двумя переменными
3
строит в системе координат кривую,
заданную в условии;
1
выделяет часть плоскости, соответствующую знаку неравенства;
1
Установление принадлежности точек решению неравенства
4
Усвоение понятия решения неравенств с двумя переменными
1
Совмещение решений неравенств
Выбор ответа
1
Решает системы нелинейных неравенств с двумя переменными.
5
строит в системе координат кривую, заданную первым уравнением системы;
1
строит в системе координат кривую, заданную вторым уравнением системы;
1
изображает множество решений каждого из
данных неравенств;
1
показывает пересечение множеств решений
неравенств.
1
Итого:
15
РУБРИКА ДЛЯ ПРЕДОСТАВЛЕНИЯ ИНФОРМАЦИИ
РОДИТЕЛЯМ
ПО ИТОГАМ СУММАТИВНОГО ОЦЕНИВАНИЯ ЗА РАЗДЕЛ
«УРАВНЕНИЯ, НЕРАВЕНСТВА С ДВУМЯ ПЕРЕМЕННЫМИ И ИХ СИСТЕМЫ»
ФИ ОБУЧАЮЩЕГОСЯ___________________________________________________________
|
Критерий оценивания |
Уровень учебных достижений |
||
|
Низкий |
Средний |
Высокий |
|
|
Применяет методы решения систем нелинейных уравнений с двумя переменными |
Затрудняется в выборе методов решения систем уравнений |
Выбирает способ решения системы уравнений, допускает ошибки в вычислениях |
Находит решение уравнений системы |
|
Составляет системы уравнений для решения текстовых задач |
Затрудняется в составлении системы уравнений по условию задачи |
Допускает ошибки в преобразованиях отдельных математических выражений / в интерпретации ответа |
Составляет систему уравнений по условию задачи и находит решение задачи |
|
Решает неравенства переменными с двумя |
Затрудняется в использовании методов решения неравенств с двумя переменными |
Выполняет построение кривых на плоскости, допускает ошибки при выборе соответствующей области для заданного неравенства |
Изображает неравенствам с переменными по условию решение двумя заданному |
|
Решает системы нелинейных неравенств с двумя переменными |
Затрудняется в использовании методов решения систем нелинейных неравенств с двумя переменными. |
Выполняет построение кривых на плоскости, допускает ошибки при нахождении множеств решений для заданных неравенств |
Изображает решение системы неравенств по заданным условиям |
СУММАТИВНОЕ ОЦЕНИВАНИЕ
ЗА РАЗДЕЛ «ЭЛЕМЕНТЫ КОМБИНАТОРИКИ»
|
Тема |
Основные понятия и правила комбинаторики (правила суммы и произведения). Решение задач с использованием формул комбинаторики Бином Ньютона и его свойства |
|
Цель обучения |
9.3.1.4 Знать формулы комбинаторики для вычисления числа перестановок, размещений, сочетания без повторений 9.3.1.6 Знать и применять формулу бинома Ньютона и его свойства 9.3.1.5 Решать задачи, применяя формулы комбинаторики, для вычисления числа перестановок, размещений, сочетания без повторений 9.3.1.1 Знать правила комбинаторики (правила суммы и произведения) |
|
Критерий оценивания |
Применяет формулы комбинаторики (формулы число перестановок, размещений, сочетания без повторений) для преобразований выражений Использует формулу бинома Ньютона для нахождения биномиального разложения Решает задачи, используя формулы комбинаторики для вычисления числа перестановок, размещений, сочетания без повторений Решает задачи, используя правила комбинаторики |
|
Уровень мыслительных навыков |
Применение |
|
Время выполнения |
25 минут |
ЗАДАНИЯ
|
Оценивание заданий работы |
|||
|
№ задания |
1 |
2 |
3 |
|
Количество баллов |
4 |
5 |
6 |
|
Всего баллов |
15 баллов |
||
ВАРИАНТ 1
1. а)
Вычислите:
.
b) Сколько существует способов из 15 спортсменов отобрать команду, в которую будет входить один командир команды и пять игроков.
2. a) Найдите первые три слагаемых в биномиальном разложении при возрастании степени a и запишите коэффициент при a:
1) (2 - a)6
2) (3+ 2a)6
b) Используя результаты предыдущих действий, найдите коэффициент при a в биномиальном разложении [(2 - a)(3 + 2a)]6 .
3. Предприятие может предоставить работу по одной специальности 4 женщинами, по другой - 6 мужчинам, по третьей - 3 работникам независимо от пола. Сколькими способами можно заполнить вакантные места, если имеются 14 претендентов: 6 женщин и 8 мужчин?
ВАРИАНТ 2
-
a) Вычислите:

b) Сколькими способами можно распределить между 8 спортсменами три призовых места.
-
a) Найдите первые три слагаемых в биномиальном разложении при возрастании степени х и запишите коэффициент при х:
1) (3x +1)5
2) (1- x)5
b) Используя результаты предыдущих действий, найдите коэффициент при х в биномиальном разложении [(3x +1)(1 - x)]5 .
3. Асия собрала цветы: 9 ромашек и 12 незабудок. Сколькими способами можно составить букет из 8 цветов, если:
а) в букете 6 ромашки и 4 незабудки;
b) в букете как минимум должны быть 3 незабудки?
ВАРИАНТ 3
-
a) Вычислите:
- 
b) Сколько существует способов из 9 спортсменов отобрать команду, в которую будет входить один командир команды и пять игроков.
2. a) Найдите первые три слагаемых в биномиальном разложении при возрастании степени z и запишите коэффициент при z:
1) (4 z)6
2) (2 z)6
b) Используя результаты предыдущих действий, найдите коэффициент при z в биномиальном разложении [(4 +z)(2 - z)]6 .
3. У Васи дома живут 4 кота.
а) сколькими способами можно рассадить котов
по углам комнаты?
b) сколькими способами
Вася может взять на руки двух котов (одного на левую, другого – на
правую)?
ВАРИАНТ 4
-
a) Вычислите:
–

b) Сколькими способами можно распределить между 13 спортсменами три призовых места.
-
a) Найдите первые три слагаемых в биномиальном разложении при возрастании степени m и запишите коэффициент при m:
1) (1 2m)7
2) (3 2m)7
b) Используя результаты предыдущих действий, найдите коэффициент при m в биномиальном разложении [(1 -2m)(3 + 2m)]7 .
3. В лифт 12-этажного дома сели 3 пассажира. Каждый независимо от других с одинаковой вероятностью может выйти на любом (начиная со 2-го) этаже. Сколькими способами:
a) пассажиры могут
выйти на одном и том же этаже (порядок выхода не имеет
значения);
b) два человека могут
выйти на одном этаже, а третий – на другом;
|
Критерий оценивания |
№ задани я |
Дескриптор |
Балл |
|
Обучающийся |
|||
|
Применяет формулы комбинаторики (формулы числа перестановок, размещений, сочетания без повторений) для преобразований выражений |
1а |
использует формулу числа размещений; |
1 |
|
использует формулу числа сочетаний и находит разность; |
1 |
||
|
1b |
Использует формулу числа перестановок; |
1 |
|
|
Сокращает выражениеи записывает ответ; |
1 |
||
|
Использует формулу бинома Ньютона для нахождения биномиального разложения |
2a |
использует формулу бинома Ньютона; |
1 |
|
Находит коэффициент при х биномиального разложения первого выражения; |
1 |
||
|
находит коэффициент при x биномиального разложения второго выражения; |
1 |
||
|
2b |
умножает результаты биномиальных разложений для нахождения требуемого коэффициента; |
1 |
|
|
находит коэффициент при х выражения [(2 x)(1 2x)]6 ; |
1 |
||
|
Решает задачи, используя формулы комбинаторики для вычисления числа перестановок, размещений, сочетания без повторений |
3a |
Использует формулу числа сочетаний |
1 |
|
использует правило произведения и находит ответ; |
1 |
||
|
Решает задачи, используя правила комбинаторики |
3b |
Использует формулу числа сочетаний; |
1 |
|
использует правило произведения; |
1 |
||
|
использует правило суммы; |
1 |
||
|
выполняет вычисления и находит ответ. |
1 |
||
|
Итого: |
15 |
||
РУБРИКА ДЛЯ ПРЕДОСТАВЛЕНИЯ
ИНФОРМАЦИИ РОДИТЕЛЯМ
ПО ИТОГАМ СУММАТИВНОГО ОЦЕНИВАНИЯ
РАЗДЕЛ «ЭЛЕМЕНТЫ КОМБИНАТОРИКИ»
ФИ ОБУЧАЮЩЕГОСЯ _________________________________________________________
|
Критерий оценивания |
Уровень учебных достижений |
||
|
Низкий |
Средний |
Высокий |
|
|
Применяет формулы комбинаторики (формулы числа перестановок, размещений, сочетания без повторений) для преобразований выражений |
Затрудняется в применении формул числа перестановок/ размещений /сочетаний без повторений для преобразований выражений |
Допускает ошибки в применении формул числа перестановок / размещений / сочетаний без повторений для преобразований выражений |
Применяет формулы комбинаторики для вычисления значения и преобразования выражений |
|
Использует формулу бинома Ньютона для нахождения биномиального разложения |
Затрудняется в применении формулы бинома Ньютона для нахождения биномиального разложения |
Использует формулу бинома Ньютона, находит коэффициенты в простых выражениях, допускает ошибки в нахождении коэффициента в произведении выражений / вычислительные ошибки |
Применяет формулу бинома Ньютона для нахождения биномиального разложения |
|
Решает задачи, используя формулы комбинаторики для вычисления числа перестановок, размещений, сочетания без повторений |
Затрудняется в применении формул комбинаторики для вычисления числа перестановок/ размещений/ сочетания без повторений при решении задач |
Допускает вычислительные ошибки в применении формул числа сочетаний /перестановок/ размещений без повторений |
Решает задачи на применение формул комбинаторики для вычисления числа перестановок, размещений, сочетания без повторений |
|
Решает задачи, используя правила комбинаторики |
Затрудняется в применении правил произведения /суммы при решении задач |
Допускает вычислительные ошибки в применении правила суммы / произведения |
Решает задачи на применение правил комбинаторики |
СУММАТИВНОЕ ОЦЕНИВАНИЕ ЗА РАЗДЕЛ «ПОСЛЕДОВАТЕЛЬНОСТИ»
|
Тема |
Числовая последовательность, способы её задания и свойства Арифметическая и геометрическая прогрессии Бесконечно убывающая геометрическая прогрессия Решение текстовых задач |
|
Цели обучения |
9.2.3.2
Находить n-й член последовательности, например:
9.2.3.5 Знать и применять формулы n-го члена, суммы n- первых членов и характеристическое свойство арифметической прогрессии 9.2.3.6 Знать и применять формулы n-го члена, суммы n первых членов и характеристическое свойство геометрической прогрессии |
|
Критерии оценивания |
Обучающийся Находит значение номера члена последовательности. Применяет характеристическое свойство арифметической прогрессии, находит n-й член Применяет формулы и свойства арифметической прогрессии Применяет формулы и свойства геометрической прогрессии Использует формулу суммы бесконечно убывающей геометрической прогрессии при решении задач |
|
Уровень мыслительных навыков |
Применение Навыки высокого порядка |
|
Время выполнения |
25 минут |
ЗАДАНИЯ
|
Оценивание заданий работы |
|||||
|
№ задания |
1 |
2 |
3 |
4 |
5 |
|
Количество баллов |
2 |
3 |
2 |
4 |
3 |
|
Всего баллов |
14 баллов |
||||
1 ВАРИАНТ
1. Последовательность задана формулой
. Найдите ее восьмой
член.
2. Пусть
есть арифметическая прогрессия. Если
и
, с помощью характеристического
свойства найдите
. Определите значение девятого члена
прогрессии .
3. (
) – геометрическая прогрессия
-5; 10; -20… Найдите шестой член прогрессии.
4. В геометрической прогрессии (
) известно, что
, а
.
a) Найдите первый член и знаменатель этой прогрессии. b) Найдите сумму первых восьми членов геометрической прогрессии.
5. Найдите сумму бесконечно убывающей геометрической прогрессии: 25; 5; 1; 0,2; …..
2 ВАРИАНТ
1. Последовательность задана формулой
. Найдите ее восьмой
член.
2. Пусть
есть арифметическая прогрессия. Если
и
, с помощью характеристического
свойства найдите
. Определите значение седьмого члена
прогрессии .
3. (
) – геометрическая прогрессия
4; 2; 1;… Найдите пятый член прогрессии.
4. В геометрической прогрессии (
) известно, что
, а
. a) Найдите первый член и
четвертый член прогрессии. b) Найдите сумму первых восьми членов
геометрической прогрессии.
5. Найдите сумму бесконечно убывающей геометрической прогрессии: 10; 1; 0,1;…..
3 ВАРИАНТ
1. Последовательность задана формулой
. Найдите ее пятый член.
2. Пусть
есть арифметическая прогрессия. Если
и
. Определите значение третьего
и девятого члена прогрессии. С помощью характеристического свойства
найдите
.
3. (
) – геометрическая прогрессия.
Первый член равен 7,а знаменатель – (-2). Найдите первые шесть
членов прогрессии.
4. В геометрической прогрессии (
) известно, что
, а
.
a) Найдите первый член и шестой член этой прогрессии. b) Найдите сумму первых пяти членов геометрической прогрессии.
5. Найдите сумму бесконечно убывающей геометрической прогрессии: 3; -1; 1/3;…..
4 ВАРИАНТ
1. Последовательность задана
формулой
. Найдите ее седьмой член. 2. Пусть
есть арифметическая прогрессия. Если
и
. Определите значение третьего
и пятого члена прогрессии . С помощью характеристического свойства
найдите
.
3. (
) – геометрическая прогрессия.
Первый член равен 4, а знаменатель – (-3 ). Найдите первые шесть
членов прогрессии.
4. В геометрической прогрессии (
) известно, что
, а ![]()
a) Найдите первый и третий член прогрессии.
b) Найдите сумму первых трех членов геометрической прогрессии.
5. Найдите сумму бесконечно убывающей геометрической прогрессии: -36; 18; -9;…...
|
Критерий оценивания |
№ задания |
Дескриптор |
Балл |
|
Обучающийся |
|||
|
Находит значение номера члена последовательности. |
1 |
Определяет формулу общего члена последовательности |
2 |
|
Находит n-член последовательности |
|||
|
Применяет свойство и определение арифметической прогрессии, находит n-й член арифметической прогрессии |
2 |
Определяет вид и члены последовательности |
3 |
|
Записывает формулу n-члена арифметической прогрессии |
|||
|
Вычисляет значение n-члена для одного показателя |
|||
|
Применяет формулы и свойства геометрической прогрессии ,находит n-й член геометрической прогрессии |
3 |
Записывает по условию члены геометрической прогрессии |
3 |
|
Вычисляет значение n-члена для одного показателя |
|||
|
Находит сумму n первых членов геометрической прогрессии. |
4 |
Записывает формулу, находит первый геометрической прогрессии |
4 |
|
Записывает формулу, находит n-член геометрической прогрессии |
|||
|
Записывает формулу суммы n-первых членов геометрической прогрессии |
|||
|
Находит значение |
|||
|
Применяет формулу суммы бесконечно убывающей геометрической прогрессии при решении задач. |
5 |
находит первый член и знаменатель бесконечно убывающей прогрессии из условия задачи; |
3 |
|
использует формулу суммы бесконечно убывающей прогрессии; |
|||
|
находит значение суммы бесконечно убывающей геометрической прогрессии |
|||
|
Общий балл |
15 |
||
РУБРИКА ДЛЯ ПРЕДОСТАВЛЕНИЯ ИНФОРМАЦИИ РОДИТЕЛЯМ
ПО ИТОГАМ СУММАТИВНОГО ОЦЕНИВАНИЯ ЗА РАЗДЕЛ «ПОСЛЕДОВАТЕЛЬНОСТИ»
ФИ ОБУЧАЮЩЕГОСЯ________________________________________________________________
|
Критерий оценивания |
Уровень учебных достижений |
||
|
Низкий |
Средний |
Высокий |
|
|
Определяет закономерность последовательности и находит недостающие члены |
Затрудняется в определении закономерности последовательности/в нахождении недостающих членов |
Находит формулу общего члена последовательности, допускает ошибки при определении недостающих членов последовательности / определении принадлежности члена последовательности |
Определяет закономерность последовательности, находит ее недостающие члены |
|
Применяет формулы и свойства арифметической прогрессии |
Затрудняется в применении формул и свойств арифметической прогрессии |
Составляет выражение по условию задачи, допускает ошибки при вычислении |
Решает задачи на применение формул и свойств арифметической прогрессии |
|
Применяет формулы и свойства геометрической прогрессии |
Затрудняется в применении формулы свойств геометрической прогрессии |
Допускает ошибки при вычислении n-члена геометрической прогрессии |
Решает задачи на применение формул и свойств геометрической прогрессии |
|
Использует формулу суммы бесконечно убывающей геометрической прогрессии при решении задач |
Затрудняется в решении задач на применение формулы суммы бесконечно убывающей геометрической прогрессии |
Допускает вычислительные ошибки / при решении задачи на применение формулы суммы бесконечно убывающей геометрической прогрессии |
Решает задачу на применение формулы суммы бесконечно убывающей геометрической прогрессии |
СУММАТИВНОЕ ОЦЕНИВАНИЕ ЗА РАЗДЕЛ «ТРИГОНОМЕТРИЯ»
|
Тема |
Градусная и радианная меры углов и дуги Синус, косинус, тангенс и котангенс произвольного угла Значения синуса, косинуса, тангенса и котангенса углов Формулы тригонометрии |
|
Цели обучения |
9.1.2.1 переводить градусы в радианы и радианы в градусы 9.2.4.4 выводить и применять формулы приведения 9.2.4.3 выводить и применять тригонометрические формулы суммы и разности углов, формулы двойного и половинного угла |
|
Критерии оценивания |
Обучающийся: Переводит градусы в радианы и радианы в градусы Применяет формулы приведения для преобразования выражений Применяет формулы суммы и разности углов Применяет формулы двойного и половинного углов |
|
Уровень мыслительных навыков |
применение |
|
Время выполнения |
25 минут |
ЗАДАНИЯ
|
Оценивание заданий работы |
||||
|
№ задания |
1 |
2 |
3 |
4 |
|
Количество баллов |
4 |
4 |
3 |
4 |
|
Всего баллов |
15 баллов |
|||
1 ВАРИАНТ
-
а) Найдите радианную меру углов и укажите в какой четверти находится угол:
;
б) Найдите
градусную меру углов и укажите в какой четверти находится угол:
;
.
2)
упростите выражение:
3)
Вычислите:
4) Вычислите
, если
|
Критерий оценивания |
№ задания |
Дескриптор |
Балл |
|
Обучающихся |
|||
|
Переводит градусы в радианы и радианы в градусы |
1 |
Переводит градусы в радианы. |
1 |
|
Определяет четверть |
1 |
||
|
Переводит радианы в градусы. |
1 |
||
|
Определяет четверть |
1 |
||
|
Применяет формулы приведения для преобразования выражений |
2 |
Использует
формулу приведения для |
1 |
|
Использует
формулу приведения для |
1 |
||
|
Использует
формулу приведения для |
1 |
||
|
Упрощает выражение |
1 |
||
|
Применяет тригонометрические формулы суммы (разности) углов |
3 |
представляет заданный угол в виде суммы (разности) двух углов |
1 |
|
применяет формулу синуса (косинуса) суммы углов |
1 |
||
|
упрощает полученное выражение |
1 |
||
|
Применяет тригонометрические формулы половинного угла |
4 |
применяет формулу для нахождения синуса (косинуса) |
1 |
|
находит значение синуса (косинуса) |
1 |
||
|
применяет формулу половинного угла |
1 |
||
|
находит значение половинного угла синуса (косинуса, тангенса) |
1 |
||
|
Всего |
15 |
||
2 ВАРИАНТ
1) а) Найдите радианную меру углов и
укажите в какой четверти находится угол:
;
.
б) Найдите
градусную меру углов и укажите, в какой четверти находится угол:
; ![]()
2)
Упростите выражение:
3)
Вычислите:
4) Вычислите
, если
|
Критерий оценивания |
№ задания |
Дескриптор |
Балл |
|
Обучающихся |
|||
|
Переводит градусы в радианы и радианы в градусы |
1 |
Переводит градусы в радианы. |
1 |
|
Определяет четверть |
1 |
||
|
Переводит радианы в градусы. |
1 |
||
|
Определяет четверть |
1 |
||
|
Применяет формулы приведения для преобразования выражений |
2 |
Использует формулу приведения для
|
1 |
|
Использует формулу приведения для
|
1 |
||
|
Использует формулу приведения для
|
1 |
||
|
Упрощает выражение |
1 |
||
|
Применяет тригонометрические формулы суммы (разности) углов |
3 |
представляет заданный угол в виде суммы (разности) двух углов |
1 |
|
применяет формулу синуса (косинуса) суммы углов |
1 |
||
|
упрощает полученное выражение |
1 |
||
|
Применяет тригонометрические формулы половинного угла |
4 |
применяет формулу для нахождения синуса (косинуса) |
1 |
|
находит значение синуса (косинуса) |
1 |
||
|
применяет формулу половинного угла |
1 |
||
|
находит значение половинного угла синуса (косинуса, тангенса) |
1 |
||
|
Всего |
15 |
||
3 ВАРИАНТ
1) а)
Найдите радианную меру углов и укажите, в какой четверти находится
угол:
.
б) Найдите
градусную меру углов и укажите, в какой четверти находится угол:
; ![]()
2)
Упростите выражение:
3)
Вычислите:
4)
Вычислите
,
если
;
|
Критерий оценивания |
№ задания |
Дескриптор |
Балл |
|
обучающихся |
|||
|
Переводит градусы в радианы и радианы в градусы |
1 |
Переводит градусы в радианы. |
1 |
|
Определяет четверть |
1 |
||
|
Переводит радианы в градусы. |
1 |
||
|
Определяет четверть |
1 |
||
|
Применяет формулы приведения для преобразования выражений |
2 |
Использует формулу приведения для
|
1 |
|
Использует формулу приведения для (
|
1 |
||
|
Использует формулу приведения для(
|
1 |
||
|
Упрощает выражение |
1 |
||
|
Применяет тригонометрические формулы суммы (разности) углов |
3 |
представляет заданный угол в виде суммы (разности) двух углов |
1 |
|
применяет формулу синуса (косинуса) суммы углов |
1 |
||
|
упрощает полученное выражение |
1 |
||
|
Применяет тригонометрические формулы половинного угла |
4 |
применяет формулу для нахождения синуса (косинуса) |
1 |
|
находит значение синуса (косинуса) |
1 |
||
|
применяет формулу половинного угла |
1 |
||
|
находит значение половинного угла синуса (косинуса, тангенса) |
1 |
||
|
Всего |
15 |
||
4 ВАРИАНТ
-
а) Найдите радианную меру углов и укажите в какой четверти находится угол: 1200; -2400.
б) Найдите
градусную меру углов и укажите в какой четверти находится угол:
-
;
.
2)
упростите выражение:
3)
вычислите:
4)
Вычислите
, если
|
Критерий оценивания |
№ задания |
обучающихся Дескриптор |
Балл |
|
Переводит градусы в радианы и радианы в градусы |
1 |
Переводит градусы в радианы. |
1 |
|
Определяет четверть |
1 |
||
|
Переводит радианы в градусы. |
1 |
||
|
Определяет четверть |
1 |
||
|
Применяет формулы приведения для преобразования выражений |
2 |
Использует формулу приведения для (
|
1 |
|
Использует формулу приведения для (
|
1 |
||
|
Использует формулу приведения для (
|
1 |
||
|
Упрощает выражение |
1 |
||
|
Применяет тригонометрические формулы суммы (разности) углов |
3 |
представляет заданный угол в виде суммы (разности) двух углов |
1 |
|
применяет формулу синуса (косинуса) суммы углов |
1 |
||
|
упрощает полученное выражение |
1 |
||
|
Применяет тригонометрические формулы половинного угла |
4 |
применяет формулу для нахождения синуса (косинуса) |
1 |
|
находит значение синуса (косинуса) |
1 |
||
|
применяет формулу половинного угла |
1 |
||
|
находит значение половинного угла синуса (косинуса, тангенса) |
1 |
||
|
Всего |
15 |
||
РУБРИКА ДЛЯ ПРЕДОСТАВЛЕНИЯ ИНФОРМАЦИИ РОДИТЕЛЯМ
ПО ИТОГАМ СУММАТИВНОГО ОЦЕНИВАНИЯ ЗА РАЗДЕЛ «ТРИГОНОМЕТРИЯ»
ФИ ОБУЧАЮЩЕГОСЯ________________________________________________________________
|
Критерий оценивания |
Уровень учебных достижений |
||
|
Низкий |
Средний |
Высокий |
|
|
Переводит градусы в радианы и радианы в градусы |
Затрудняется в переводе градусов в радианы и радианы в градусы |
Допускает ошибки при переводе градусов в радианы и радиан в градусы |
Верно, переводит градусы в радианы и радианы в градусы |
|
Применяет формулы приведения для преобразования выражений |
Затрудняется в применении формул приведения при преобразования выражений |
Допускает ошибки в применении формул приведения при преобразовании выражений |
Верно, применяет формулы приведения при преобразовании выражений |
|
Применяет тригонометрические формулы суммы (разности) углов |
Затрудняется в применении тригонометрических формул суммы (разности) углов |
Допускает ошибки при применении тригонометрических формул суммы (разности) углов |
Верно, применяет тригонометрические формулы суммы (разности) углов |
|
Применяет тригонометрические формулы половинного угла |
Затрудняется в применении тригонометрических формул половинного угла |
Допускает ошибки при применении тригонометрических формул половинного угла |
Верно, применяет тригонометрические формулы половинного угла |
СУММАТИВНОЕ ОЦЕНИВАНИЕ ЗА РАЗДЕЛ «ТРИГОНОМЕТРИЯ»
|
Тема |
Формулы тригонометрии. Тождественные преобразования тригонометрических выражений |
|
Цели обучения |
9.2.4.7 Выводить и применять формулы преобразования суммы и разности тригонометрических функций в произведение и произведение в сумму или разность 9.2.4.8 Выполнять тождественные преобразования тригонометрических выражений |
|
Критерии оценивания |
Обучающийся: Упрощает выражения с помощью формул преобразования суммы и разности тригонометрических функций в произведение Выполняет тождественные преобразования тригонометрических выражений |
|
Уровень мыслительных навыков |
применение |
|
Время выполнения |
25 минут |
ЗАДАНИЯ
|
Оценивание заданий работы |
|||
|
№ задания |
1 |
2 |
3 |
|
Количество баллов |
4 |
2 |
9 |
|
Всего баллов |
15 баллов |
||
ВАРИАНТ 1
1
Докажите, что
.
2.
Представьте в виде суммы или разности выражение:
![]()
3.
Упростите выражение: а) ![]()
б)
![]()
ВАРИАНТ 2
1.
Докажите, что ![]()
2.
Представьте в виде суммы или разности выражение:
![]()
3.
Упростите выражение: а) ![]()
б)
![]()
ВАРИАНТ 3
1.
Докажите, что
2.
Представьте в виде суммы или разности выражение:
2![]()
3.
Упростите выражение: а) ![]()
б)
![]()
ВАРИАНТ 4
1.
Докажите, что ![]()
2.
Представьте в виде суммы или разности выражение:
![]()
3.
Упростите выражение: а)
;
б) ![]()
|
Критерий оценивания |
№ задания |
Дескриптор |
Балл |
|
Обучающийся |
|||
|
Упрощает выражения с помощью формул преобразования суммы и разности тригонометрических функций в произведение |
1 |
использует формулу преобразования разности косинусов/синусов в произведение в числителе; |
1 |
|
использует формулу преобразования разности/сложение косинусов/синусов в произведение в знаменателе; |
1 |
||
|
делает сокращение |
1 |
||
|
выполняет преобразование и делает вывод о равенстве; |
1 |
||
|
2 |
использует формулу произведений в сумму или разность |
1 |
|
|
выполняет преобразование |
1 |
||
|
Выполняет тождественные преобразования тригонометрических выражений |
3а |
приводит выражения в скобках к общему знаменателю; |
1 |
|
выполняет раскрытие скобок в числителе |
1 |
||
|
выполняет преобразование в числителе |
1 |
||
|
применяет основное тригонометрическое тождество; |
1 |
||
|
выполняет сокращение и записывает ответ |
1 |
||
|
3б |
применяет формулу косинус двойного угла; |
1 |
|
|
применяет формулу привидения; |
1 |
||
|
применяет основное тригонометрическое тождество и делает сокращение; |
1 |
||
|
применяет формулу синус двойного угла; |
1 |
||
|
Итого: |
|
|
15 |
РУБРИКА ДЛЯ ПРЕДОСТАВЛЕНИЯ ИНФОРМАЦИИ РОДИТЕЛЯМ
ПО ИТОГАМ СУММАТИВНОГО ОЦЕНИВАНИЯ ЗА РАЗДЕЛ «ТРИГОНОМЕТРИЯ»
ФИ ОБУЧАЮЩЕГОСЯ________________________________________________________________
|
Критерий оценивания |
Уровень учебных достижений |
||
|
Низкий |
Средний |
Высокий |
|
|
Упрощает выражения с помощью формул преобразования суммы и разности тригонометрических функций в произведение |
Затрудняется в упрощении выражений с помощью формул преобразования суммы и разности тригонометрических функций в произведение |
Допускает ошибки упрощении выражений с помощью формул преобразования суммы и разности тригонометрических функций в произведение |
Верно, выполняет упрощение выражений с помощью формул преобразования суммы и разности тригонометрических функций в произведение |
|
Выполняет тождественные преобразования тригонометрических выражений |
Затрудняется в выполнении тождественных преобразований тригонометрических выражений |
Допускает ошибки при выполнении преобразований тригонометрических выражений |
Верно, выполняет преобразования тригонометрических выражений |
СУММАТИВНОЕ ОЦЕНИВАНИЕ
ЗА РАЗДЕЛ «ЭЛЕМЕНТЫ ТЕОРИИ ВЕРОЯТНОСТЕЙ»
|
Тема |
Основы теории вероятностей . Решение текстовых задач |
|
Цель обучения |
9.3.2.3 Знать классическое определение вероятности и применять его для решения задач 9.3.2.5 Применять геометрическую вероятность при решении задач |
|
Критерий оценивания |
Обучающийся Применяет геометрическое определение вероятности при решении задач Применяет классическую формулу вероятности при решении задач |
|
Уровень мыслительных навыков |
Применение Навыки высокого порядка |
|
Время выполнения |
25 минут |
ЗАДАНИЯ
|
Оценивание заданий работы |
|||
|
№ задания |
1 |
2 |
3 |
|
Количество баллов |
8 |
4 |
3 |
|
Всего баллов |
15 баллов |
||
ВАРИАНТ 1
1. Середины сторон прямоугольника АВСD являются вершинами четырехугольника MNPK. Периметр прямоугольника равен 40 см, одна сторона в три раза больше другой. Из прямоугольника случайным образом выбирается точка. Найдите вероятность того, что она принадлежит четырехугольнику MNPK.
2. В коробке 3 красных, 3 жёлтых, 3 зелёных шара. Вынимают наугад 4 шара.
Какие из следующих событий невозможные, какие – случайные, какие –достоверные:
А={все вынутые шары одного цвета}
В={все вынутые шары разных цветов}
С={среди вынутых шаров есть шары разных цветов}
D={ среди вынутых шаров есть шары всех трёх цветов}
-
На борту самолёта 12 мест рядом с запасными выходами и 18 мест за перегородками, разделяющими салоны. Остальные места неудобны для пассажира высокого роста. Пассажир В. высокого роста. Найдите вероятность того, что на регистрации при случайном выборе места пассажиру В. достанется удобное место, если всего в самолёте 300 мест.
ВАРИАНТ 2
1. Стороны равнобедренной трапеции касаются окружности с центром в точке О. Основания трапеции равны 4 см и 16 см. Из трапеции случайным образом выбирается точка. Найдите вероятность того, что она не принадлежит кругу, ограниченному данной окружностью.
2. Исследуйте виды событий. Результаты исследования занесите в таблицу:
1) 1 января – праздничный день
2) Футбольный матч «Спартак» - «Динамо» закончится вничью
3) При броске игральной кости выпало 7 очков
4) При броске игральной кости выпало число очков, меньше 7
5) При телефонном звонке абонент оказался занят
6) Учебный год когда-нибудь закончится
7) Отличник получил на экзамене по математике пятерку
8) Вы проиграете партию в шашки
9) При броске игральной кости выпало четное число очков
10) В этом году президентом РК изберут тебя
|
Событие |
1 |
2 |
3 |
4 |
5 |
6 |
7 |
8 |
9 |
10 |
|
Достоверное |
|
|
|
|
|
|
|
|
|
|
|
Случайное |
|
|
|
|
|
|
|
|
|
|
|
Невозможное |
|
|
|
|
|
|
|
|
|
|
3. Пятитомное собрание сочинений расположено на полке в случайном порядке. Какова вероятность того, что книги стоят с лева на право в порядке нумерации томов ( от 1 до 5)?
Вариант 1.
|
Критерий оценивания |
№ задания |
Дескриптор |
Балл |
|
Обучающийся |
|||
|
Применяет геометрическое определение вероятности при решении задач |
1 |
делает чертеж |
1 |
|
докажите равенство сторон MN, NP, PK, MK. |
1 |
||
|
доказывает, что MNPK – ромб. |
1 |
||
|
обозначает меньшую сторону за «х» и составьте уравнение; |
1 |
||
|
решает уравнение и найдите стороны прямоугольника. |
1 |
||
|
Находит площадь прямоугольника АВСD. |
1 |
||
|
Находит площадь четырехугольника MNPK. |
1 |
||
|
Вычисляет вероятность. |
1 |
||
|
Применяет классическую формулу вероятности для решения задач |
2 |
событие А –невозможное: нельзя вынуть из коробки четыре шара одного цвета, так как в ней только по три шара каждого цвета. |
1 |
|
событие В –невозможное: шары в коробке трёх цветов, а вынимаем мы 4 шара. |
1 |
||
|
событие С –достоверное: ведь среди четырёх шаров не могут быть шары одного цвета, поэтому среди них обязательно есть шары хотя бы двух цветов. |
1 |
||
|
событие D- случайное. (КЖЖЗ или ККЖЖ – третьего цвета нет) |
1 |
||
|
3 |
определяет количество «удобных» мест |
1 |
|
|
использует классическую формулу вероятности |
1 |
||
|
вычисляет вероятность |
1 |
||
|
Итого: |
|
|
15 |
Вариант 2.
|
Критерий оценивания |
№ задания |
Дескриптор |
Балл |
|
Обучающийся |
|||
|
Применяет геометрическое определение вероятности при решении задач |
1 |
Делает чертеж |
1 |
|
использует свойство, находит сумму боковых сторон трапеции. |
1 |
||
|
использует определит равнобедренной трапеции и найдет каждую из боковых сторон. |
1 |
||
|
находит длины отрезков, отсекаемых высотами. |
1 |
||
|
найдет высоту трапеции. |
|||
|
найдит площадь трапеции. |
1 |
||
|
найдите радиус окружности и площадь круга. |
1 |
||
|
вычислите вероятность |
1 |
||
|
Применяет классическую формулу вероятности для решения задач |
2 |
определяет достоверное событие |
1 |
|
определяет случайное событие |
1 |
||
|
определяет невозможное событие |
1 |
||
|
3 |
определяет число всех возможных элементарных исходов (n). |
1 |
|
|
находит число благоприятствующих исходов (m) |
1 |
||
|
Использует классическое определение вероятности |
1 |
||
|
вычислите вероятность |
1 |
||
|
Итого: |
|
|
15 |
ЗАДАНИЯ
|
Оценивание заданий работы |
|||||
|
№ задания |
1 |
2 |
3 |
4 |
5 |
|
Количество баллов |
4 |
4 |
4 |
1 |
2 |
|
Всего баллов |
15 баллов |
||||
ВАРИАНТ 3
1. Оконная решетка состоит из клеток со стороной 20см. Какова вероятность того, что попавший в окно мяч, пролетит через решетку, не задев ее, если радиус мяча равен 10см.
2. В круг, радиус которого равен R, вписан правильный треугольник. Какова вероятность того, что на удачу взятая точка круга окажется внутри треугольника?
3. На полке в случайном порядке расставлено 40 книг, среди которых находится трехтомник Пушкина. Найти вероятность того, что эти тома стоят в порядке возрастания номера слева направо, но не обязательно рядом.
4. Из 28 костей домино выбирают наугад одну кость. Какова вероятность того, что выбранная кость содержит в сумме 6.
5.. На каждые из пяти одинаковых карточек напечатана одна из следующих букв: «а», «м», «р», «т», «ю». Карточки тщательно перемешаны. Найти вероятность того , что на четырех по одной карточке можно прочесть слово «юрта»
ВАРИАНТ 4
1. В круг вписан правильный шестиугольник. Найти вероятность того, что точка, наудачу брошенная в круг, не попадёт в правильный шестиугольник, вписанный в него.
2. Метровую ленту случайным образом разрезают ножницами. Найдите вероятность того , что длина обрезка составит не менее 80 см
3. Шесть рукописей случайно раскладывают по пяти папкам. Какова вероятность того, что ровно одна папка останется пустой?
4. На учениях по стрельбе из пистолета частота поражения мишени оказалась равной 0,85. Сколько попаданий в цель можно ожидать, если по мишени было произведено 120 выстрелов?
5. В шахматном турнире участвуют 16 человек. Сколько партий должно быть сыграно в турнире, если между любыми двумя участниками должна быть сыграна одна партия?
Вариант 3
|
Критерий оценивания |
№ задания |
Дескриптор |
Балл |
|
Обучающийся |
|||
|
Применяет геометрическое определение вероятности при решении задач |
1 |
определяет событие |
1 |
|
определяет площадь круга |
1 |
||
|
определяет площадь квадрата |
1 |
||
|
Вычислите вероятность |
1 |
||
|
2 |
определяет площадь треугольника |
1 |
|
|
определяет площадь круга |
1 |
||
|
вычислите вероятность |
1 |
||
|
Применяет классическую формулу вероятности для решения задач |
3 |
находит все возможные элементарные исходы (n) |
1 |
|
находит число благоприятствующие исходы (m) |
|
||
|
Вычисляет вероятность |
1 |
||
|
4 |
Обозначает общее число испытаний и число появлений события А. |
1 |
|
|
Определяет частоту случайного события |
1 |
||
|
5 |
определяет число всех равновозможных элементарных исходов |
1 |
|
|
определяет число исходов |
1 |
||
|
использует определение вероятности |
1 |
||
|
Итого: |
|
|
15 |
Вариант 4
|
Критерий оценивания |
№ задания |
Дескриптор |
Балл |
|
Обучающийся |
|||
|
Применяет геометрическое определение вероятности при решении задач |
1 |
записывает формулу площади окружности |
1 |
|
записывает формулу площади шестиугольника |
1 |
||
|
записывает вероятность искомого события |
1 |
||
|
вычисляет значения вероятность искомого события |
1 |
||
|
2 |
определяет, что искомый разрез можно сделать с двух сторон ленты |
1 |
|
|
находит все возможные элементарные исходы (n) |
1 |
||
|
находит число благоприятствующие исходы (m) |
1 |
||
|
Вычисляет вероятность |
1 |
||
|
Применяет классическую формулу вероятности для решения задач |
3 |
записывает формулу для нахождения всех возможных элементарных исходов (n) |
1 |
|
записывает формулу для нахождения числа благоприятствующих исходов (m) |
1 |
||
|
вычисляет n и m |
1 |
||
|
вычисляет вероятность |
1 |
||
|
4 |
Применяет формулу сочетания из 16 элементов по 2 |
1 |
|
|
5 |
использует классическую формулу вероятности; |
1 |
|
|
находит вероятность попадание в мишень |
1 |
||
|
Итого: |
|
|
15 |
СПЕЦИФИКАЦИЯ СУММАТИВНОГО ОЦЕНИВАНИЯ ЗА 1 ЧЕТВЕРТЬ
Обзор суммативного оценивания за 1 четверть
Продолжительность – 40 минут
Количество баллов – 20
Типы заданий:
КО – задания, требующие краткого ответа
РО – задания, требующие развернутого ответа
Структура суммативного оценивания
Данный вариант состоит из 6 заданий, включающих вопросы с кратким и развернутым ответами.
В вопросах, требующих краткого ответа, обучающийся записывает ответ в виде численного значения, слова или короткого предложения.
В вопросах, требующих развернутого ответа, обучающийся должен показать всю последовательность действий в решении заданий для получения максимального балла. Оценивается способность обучающегося выбирать и применять математические приемы в ряде математических контекстов. Задание может содержать несколько структурных частей/вопросов.
Характеристика заданий суммативного оценивания за 1 четверть
|
Раздел |
Проверяемая цель |
Уровень мыслительных навыков |
Кол. заданий* |
№ задания* |
Тип задания* |
Время на выполнение, мин* |
Балл* |
Бал л за разд ел |
|
Уравнения, неравенства с двумя переменными и их системы |
9.2.2.4 Решать системы нелинейных неравенств с двумя переменными |
Применение |
1 |
2 |
РО |
7 |
3 |
10 |
|
9.2.2.2 Решать системы нелинейных уравнений с двумя переменными |
Применение |
1 |
3 |
КО |
8 |
3 |
||
|
9.4.2.1 Решать текстовые задачи с помощью систем уравнений |
Навыки высокого порядка |
1 |
1 |
РО |
10 |
4 |
||
|
Элементы комбинаторик и |
9.3.1.6 Знать и применять формулу бинома Ньютона и его свойства |
Применение |
1 |
6 |
КО |
5 |
2 |
10 |
|
9.3.1.1 Знать правила комбинаторики (правила суммы и произведения) |
Знание и понимание |
1 |
5 |
РО |
5 |
3 |
||
|
9.3.1.5 Решать задачи, применяя формулы комбинаторики для вычисления числа перестановок, размещений, сочетаний без повторений |
Навыки высокого порядка |
2 |
4 |
РО |
5 |
5 |
||
|
ИТОГО: |
7 |
40 |
20 |
20 |
||||
|
Примечание: * - разделы, в которые можно вносить изменения |
|
|
|
|
|
|
||
ЗАДАНИЯ И СХЕМА ВЫСТАВЛЕНИЯ БАЛЛОВ
ВАРИАНТ 1
|
Оценивание заданий работы |
||||||
|
№ задания |
1 |
2 |
3 |
4 |
5 |
6 |
|
Количество баллов |
4 |
3 |
3 |
3 |
3 |
4 |
|
Всего баллов |
20 баллов |
|||||
1. Решите задачу с помощью системы уравнений.
Сумма цифр двузначного числа равна 12. Если цифры этого числа переставить, то получиться число, большее искомого на 18. Найдите это число.
2. Найдите множество точек координатной плоскости, которое задано системой неравенств:
![]()
3. Решите систему уравнений:
![]()
4. Из вазы с цветами, в которой стоят 10 веточек желтой мимозы и 5 белой, выбирают 2 желтой и одну белую. Сколькими способами можно сделать такой выбор букета?
5. Сигнальщик на корабле для передачи сообщений пользуется флажками пяти цветов. Сколько видов сигнала он сможет дать, если будет изображать различные сигналы двумя, тремя, четырьмя флажками?
6.
Разложите по формуле бинома
Ньютона
ВАРИАНТ 2
|
Оценивание заданий работы |
||||||
|
№ задания |
1 |
2 |
3 |
4 |
5 |
6 |
|
Количество баллов |
4 |
3 |
3 |
3 |
3 |
4 |
|
Всего баллов |
20 баллов |
|||||
1. Решите задачу с помощью системы уравнений.
Найдите двузначное число, если его единиц на 2 больше его десятков, а произведение искомого числа на сумму его цифр равно 144.
2. Найдите множество точек координатной плоскости, которое задано системой неравенств:
![]()
3. Решите систему уравнений:
![]()
4. Всего 15 мальчика и 12 девочек. Сколькими способами можно составить команды, если в каждой команде должно быть 5 мальчика и 4 девочка.
5. Определим, сколько трехзначных чисел с неповторяющимися цифрами можно записать, используя цифры от 0 до 9.
6. Разложите по формуле бинома Ньютона (2а +3 b)4
ВАРИАНТ 3
|
Оценивание заданий работы |
||||||
|
№ задания |
1 |
2 |
3 |
4 |
5 |
6 |
|
Количество баллов |
4 |
3 |
3 |
3 |
3 |
4 |
|
Всего баллов |
20 баллов |
|||||
1. Решите задачу с помощью системы уравнений.
Знаменатель обыкновенной дроби на 3 больше
числителя. Если к числителю прибавить 8, а к знаменателю – 2, то
данная дробь увеличивается на
. Найдите
исходную дробь.
2. Найдите множество точек координатной плоскости, которое задано системой неравенств:
![]()
3. Решите систему уравнений:
![]()
4. В классе 15 девочек и 10 мальчиков. Сколькими способами можно выбрать дежурных, состоящих их трех девочек и двух мальчиков?
5. Определи, сколько четырехзначных чисел с неповторяющимися цифрами можно записать, используя цифры от 0 до 9.
6. Разложите по формуле бинома Ньютона (2а – 3b)4
ВАРИАНТ 4
|
Оценивание заданий работы |
||||||
|
№ задания |
1 |
2 |
3 |
4 |
5 |
6 |
|
Количество баллов |
4 |
3 |
3 |
3 |
3 |
4 |
|
Всего баллов |
20 баллов |
|||||
1. Решите задачу с помощью системы уравнений.
Если
числитель дроби уменьшить на единицу, то дробь становиться
равной
, а если знаменатель уменьшить на
единицу, то дробь становиться равной
. Найдите эту дробь.
2. Найдите множество точек координатной плоскости, которое задано системой неравенств:
![]()
3. Решите систему уравнений:
![]()
4. В корзине 16 яблок и 8 бананов . Сколькими способами можно раздать фрукты обезьянкам, если каждое животное должно получить по 4 яблок и 2 банана ?
5. Стрелочник железной дороги для согласования проезда поездов пользуется флажками пяти цветов. Сколько видов сигнала он сможет дать, если будет изображать различные сигналы одним, двумя тремя флажками?
6.
Разложите по формуле бинома
Ньютона ![]()
Схема выставления баллов
Вариант 1
|
№ |
Ответ |
Балл |
Доолнительная информация |
|
1 |
Определяет переменые и 10х +у – искомое двузначное число Записывает условие задачи |
1 |
Принимается любая правильная запись системы уравнений |
|
10у + х – 10х – у = 18 |
1 |
||
|
х = 5 и у = 7 |
1 |
||
|
57 – искомое число |
1 |
||
|
2 |
|
1 |
|
|
|
1 |
||
|
|
1 |
||
|
3 |
х2 +2х(4х – 5 )= 16 |
1 |
|
|
9х2 – 10х – 16 = 0 |
1 |
||
|
(2; 3); (
|
1 |
||
|
4 |
|
1 |
|
|
|
1 |
||
|
|
1 |
||
|
5 |
. |
1 |
|
|
Применяет правило
суммы |
1 |
||
|
20+60+120=200 |
1 |
||
|
6 |
. применяет формулу бинома Ньютона:
|
1 |
Принимается альтернотивное решение |
|
(1+2х)6=16+ |
1 |
||
|
вычисляет
коэффициенты |
1 |
||
|
записывает разложение. 1+12х+60х2+160х3+480х4+384х5+64х6 |
1 |
||
|
ВСЕГО БАЛЛОВ |
20 |
|
|
|
|
|
|
|
Схема выставления
баллов
Вариант 2
|
№ |
Ответ |
Балл |
Доолнительная информация |
|
1 |
Определяет переменые и 10х +у – искомое двузначное число Записывает условие задачи |
1 |
Принимается любая правильная запись системы уравнений |
|
(10у + х) · ( х + у ) = 144, 11х2 13 х – 70 = 0 |
1 |
||
|
х =
х = 2 и у = 4 |
1 |
||
|
24 – искомое число |
1 |
||
|
2 |
|
1 |
|
|
|
1 |
||
|
|
1 |
||
|
3 |
у =
|
1 |
Принимается альтернативное решение |
|
х4 – 29х + 100 = 0 х2 = t. t = 25 или t = 4 |
1 |
||
|
(2;5), (5;2); ( - 2 ; - 5 ); ( - 5; - 2) |
1 |
||
|
4 |
|
1 |
|
|
|
1 |
||
|
|
1 |
||
|
5 |
.Сотни
- |
1 |
|
|
Применяет
правило умножения |
1 |
||
|
9·9·8=648 |
1 |
||
|
6 |
применяет формулу бинома Ньютона:
|
1 |
|
|
(2а +3
b)4= |
1 |
||
|
вычисляет
коэффициенты |
1 |
||
|
16a4+96a3b+216a2b2+216ab3+81b4 |
1 |
||
|
ВСЕГО БАЛЛОВ |
20 |
|
|
|
|
|
|
|
Схема выставления баллов
Вариант 3
|
№ |
Ответ |
Балл |
Доолнительная информация |
|
1 |
Определяет переменые
и Записывает условие задачи |
1 |
Принимается любая правильная запись системы уравнений |
|
|
1 |
||
|
х =
|
1 |
||
|
|
1 |
||
|
2 |
|
1 |
|
|
|
1 |
||
|
|
1 |
||
|
3 |
х = 1 – 2у ( 1 – 2у )2 – 3у( 1 – 2у ) – 2у2 = 2 |
1 |
|
|
8х2 – 7у – 1 = 0 |
1 |
||
|
х1
= |
1 |
||
|
4 |
|
1 |
|
|
|
1 |
||
|
|
1 |
||
|
|
.Тысячи
- |
1 |
|
|
Применяет
правило умножения |
1 |
||
|
9·9·8·7= 4536 |
1 |
||
|
6 |
применяет формулу бинома Ньютона:
|
1 |
|
|
(2а +3
b)4= |
|||
|
вычисляет
коэффициенты |
1 |
||
|
16a4 - 96a3b +216a2b2 - 216ab3 +81b4 |
1 |
||
|
ВСЕГО БАЛЛОВ |
20 |
|
|
|
|
|
|
|
Схема выставления баллов
Вариант 4
|
№ |
Ответ |
Балл |
Доолнительная информация |
|
1 |
Определяет переменые
и Записывает условие задачи |
1 |
Принимается любая правильная запись системы уравнений |
|
|
1 |
||
|
х = 6 и у = 25 |
1 |
||
|
|
1 |
||
|
2 |
|
1 |
|
|
|
1 |
||
|
|
1 |
||
|
3 |
у =
|
1 |
|
|
х4 – 5х – 36 = 0 х2 = t. t = 9 или t = - 4 – лишний корень |
1 |
||
|
( - 3 ; - 2 ), ( 3; 2 ) |
1 |
||
|
4 |
|
1 |
|
|
|
1 |
||
|
|
1 |
||
|
5 |
. |
1 |
|
|
Применяет правило
суммы |
1 |
||
|
5+20+60=85 |
1 |
||
|
6 |
применяет формулу бинома Ньютона:
|
1 |
|
|
(1 – х
)5=15 - |
|||
|
вычисляет
коэффициенты |
1 |
||
|
1 – 5х +10х2 – 10х3 + 5х4 – х5 |
1 |
||
|
ВСЕГО БАЛЛОВ |
20 |
|
|
|
|
|
|
|
CПЕЦИФИКАЦИЯ СУММАТИВНОГО ОЦЕНИВАНИЯ ЗА II ЧЕТВЕРТЬ
Обзор суммативного оценивания за II четверть
Продолжительность - 40 минут
Количество баллов – 20
Типы заданий:
МВО – задания с множественным выбором ответов;
КО – задания, требующие краткого ответа;
РО – задания, требующие развернутого ответа.
Структура суммативного оценивания
Данный вариант состоит из 6 заданий, включающих вопросы с кратким и развернутым ответами.
В вопросах, требующих краткого ответа, обучающийся записывает ответ в виде численного значения, слова или короткого предложения.
В вопросах, требующих развернутого ответа, обучающийся должен показать всю последовательность действий в решении заданий для получения максимального балла. Оценивается способность обучающегося выбирать и применять математические приемы в ряде математических контекстов. Задание может содержать несколько структурных частей/вопросов.
Характеристика заданий суммативного оценивания за II четверть
|
Раздел |
Проверяемая цель |
Уровень мыслительных навыков |
Количество заданий |
№ задания |
Тип задания |
Время на выполнение , мин |
Балл |
Балл за раздел |
|
Последовательности |
9.2.3.2
Находить n-й член последовательности, например
|
Применение |
1 |
1 |
КО |
2 |
1 |
20 |
|
9.2.3.5 Знать и применять формулы n-го члена, суммы n первых членов и характеристическое свойство арифметической прогрессии |
Применение |
1 |
2 |
РО |
10 |
6 |
||
|
9.2.3.6 Знать и применять формулы n-го члена, суммы n первых членов и характеристическое свойство геометрической прогрессии |
Применение |
1 |
3 |
РО |
8 |
4 |
||
|
9.2.3.9 Применять формулу суммы бесконечно убывающей геометрической прогрессии к решению задач |
Навыки высокого порядка |
1 |
4 |
РО |
10 |
4 |
||
|
|
9.2.3.7 Решать текстовые задачи, связанные с геометрической и /или арифметической прогрессиями |
Навыки высокого порядка |
1 |
5 |
РО |
10 |
5 |
|
|
ИТОГО: |
|
5 |
|
|
40 |
20 |
20 |
|
ЗАДАНИЯ СУММАТИВНОГО ОЦЕНИВАНИЯ
1 ВАРИАНТ
|
Оценивание заданий работы |
||||||
|
№ задания |
1 |
2 |
3 |
4 |
5 |
6 |
|
Количество баллов |
1 |
3 |
5 |
5 |
4 |
2 |
|
Всего баллов |
20 баллов |
|||||
1.
Составьте одну из возможных формул n-го члена последовательности по первым шести ее
членам:
;
;
;
;
;….
2. Дана арифметическая прогрессия : -7,8; 5,4;3 ;0,6;… .Найдите шестнадцатый член данной прогрессии.
3. Сумма второго и восьмого членов арифметической прогрессии равна 10 , а сумма третьего и четырнадцатого равна(- 32) . Найдите разность и сумму первых пяти членов арифметической прогрессии.
4. Известно ,что в геометрической прогрессии разность четвертого и второго членов равна 18,а разность пятого и третьего членов равна (-36). Найдите первый член данной прогрессии и знаменатель.
5. Наташе надо решить 355 задач. Ежедневно она решает на одно и то же количество задач больше по сравнению с предыдущим днем. Известно, что Наташа за первый день решила 22 задачи. Определите , сколько задач Наташа решила в последний день ,если со всеми задачами она справилась за 10 дней.
6. Найдите
сумму бесконечно убывающей прогрессии 25;5;1;
:
;…..
2 ВАРИАНТ
|
Оценивание заданий работы |
||||||
|
№ задания |
1 |
2 |
3 |
4 |
5 |
6 |
|
Количество баллов |
1 |
3 |
5 |
5 |
4 |
2 |
|
Всего баллов |
20 баллов |
|||||
1.
Составьте одну из возможных формул n-го члена последовательности по первым шести ее
членам:
;
;
;
;
;….
2. Дана арифметическая прогрессия : 5,6; 4,1;2,6 ;1,1;-0,4;… .Найдите пятнадцатый член данной прогрессии.
3. Разность десятого и четвертого членов арифметической прогрессии равна (-90) ,а шестой член равен (-55).Найдите первый член и сумму первых пяти членов арифметической прогрессии.
4. Известно ,что в геометрической прогрессии разность четвертого и второго членов равна 24,а сумма второго и третьего членов равна 6. Найдите первый член данной прогрессии и знаменатель.
5. Сергею надо решить 560 задач. Ежедневно он решает на одно и то же количество задач больше по сравнению с предыдущим днем. Известно, что Сергей за первый день решил 25 задач. Определите , сколько задач Сергей решил в последний день ,если со всеми задачами он справился за 14 дней.
6. [
Найдите сумму бесконечно убывающей прогрессии
10;1;
;…..
|
|
1 вариант |
2 вариант |
Баллы |
|
№ |
Ответы |
Ответы |
|
|
1 |
|
|
1 |
|
2 |
|
|
1 |
|
|
|
1 |
|
|
|
|
1 |
|
|
3 |
|
|
1 |
|
|
|
1 |
|
|
|
|
1 |
|
|
|
|
1 |
|
|
4 |
|
|
1 |
|
|
|
1 |
|
|
q =-2;
|
q =5; |
1 |
|
|
|
|
1 |
|
|
5 |
Найти |
Найти |
1 |
|
|
|
1 |
|
|
|
|
1 |
|
|
6 |
|
|
1 |
|
|
|
1 |
|
|
Всего баллов |
20 |
||
3 ВАРИАНТ
|
Оценивание заданий работы |
||||||
|
№ задания |
1 |
2 |
3 |
4 |
5 |
6 |
|
Количество баллов |
1 |
3 |
5 |
5 |
4 |
2 |
|
Всего баллов |
20 баллов |
|||||
1. Найди
три первые члена последовательности
=(-1)
+ 6n
и вычисли их
сумму.
2.Дана арифметическая прогрессия : 4; 7 ;… .Найдите сороковой член данной прогрессии.
3.Найти
число членов арифметической прогрессии ,если
;
.
111.
4. Известно ,что в геометрической прогрессии разность шестого и четвертого членов равна 56,а разность третьего и пятого членов равна 14. Найдите первый член данной прогрессии и знаменатель.
5. В оранжерее должны расцвести 900 тюльпанов. Ежедневно расцветает на одно и то же количество цветов больше по сравнению с предыдущим днем. Известно, что за первый день расцвело 42 тюльпана. Определите , сколько тюльпанов расцвело в последний день ,если все цветы открылись за 10 дней.
6. Напишите бесконечную периодическую десятичную дробь 0,2(5) в виде обыкновенной дроби .
4 ВАРИАНТ
|
Оценивание заданий работы |
||||||
|
№ задания |
1 |
2 |
3 |
4 |
5 |
6 |
|
Количество баллов |
1 |
3 |
5 |
5 |
4 |
2 |
|
Всего баллов |
20 баллов |
|||||
1. Найди
три первые члена последовательности
=9n
-7n и вычисли их сумму.
2. Дана арифметическая прогрессия : 29;22;15;… .Найдите двадцатый член данной прогрессии.
3. Найти
число членов убывающей арифметической прогрессии ,если
;
.
88.
4. Известно ,что в геометрической прогрессии разность четвертого и второго членов равна 42,а сумма второго и третьего членов равна 7. Найдите первый член данной прогрессии и знаменатель.
5. В оранжерее должны расцвести 720 тюльпанов. Ежедневно расцветает на одно и то же количество цветов больше по сравнению с предыдущим днем. Известно, что за первый день расцвело 44 тюльпана. Определите , сколько тюльпанов расцвело в последний день ,если все цветы открылись за 10 дней.
6. Напишите бесконечную периодическую десятичную дробь 0,(32) в виде обыкновенной дроби .
|
|
III вариант |
IV вариант |
Баллы |
|
№ |
Ответы |
Ответы |
|
|
1 |
|
|
1 |
|
2 |
|
|
1 |
|
d=7 -4= 3 |
d=22-29=-7 |
1 |
|
|
|
|
1 |
|
|
3 |
|
|
1 |
|
|
|
1 |
|
|
|
Подставим
в равенство |
1 |
|
|
2 D=225, Из полученных чисел выбрать число ,удовлетворяющий условию. Ответ :7 . |
D=9, Из полученных чисел выбрать число ,удовлетворяющий условию. Ответ :8 . |
1 |
|
|
4 |
|
|
1 |
|
|
|
1 |
|
|
q =-4;
|
q =7; |
1 |
|
|
|
|
1 |
|
|
5 |
Найти |
Найти |
1 |
|
|
|
1 |
|
|
|
|
1 |
|
|
6 |
|
|
1 |
|
Из числа, стоящего до второго периода вычесть число, стоящее до первого периода, и записать эту разность числителем, а в знаменателе написать цифру 9 столько раз, сколько цифр в периоде, и после 9 приписать столько нулей, сколько цифр между запятой и первым периодом.
|
Из числа, стоящего до второго периода вычесть число, стоящее до первого периода, и записать эту разность числителем, а в знаменателе написать цифру 9 столько раз, сколько цифр в периоде, и после 9 приписать столько нулей, сколько цифр между запятой и первым периодом.
|
1 |
|
|
Всего баллов |
20 |
||
СПЕЦИФИКАЦИЯ СУММАТИВНОГО ОЦЕНИВАНИЯ
ЗА 3 ЧЕТВЕРТЬ
Обзор суммативного оценивания за 3 четверть.
Продолжительность – 40 минут.
Количество баллов – 20.
Типы заданий:
МВО – задания с множественным выбором ответов;
КО – задания, требующие краткого ответа;
РО – задания, требующие развернутого ответа.
Структура суммативного оценивания:
Данный вариант состоит из 6 заданий, включающих вопросы с кратким и развернутым ответами. В вопросах, требующих краткого ответа, обучающейся записывает ответ в виде численного значения, слова или короткого предложения. В вопросах, требующих развернутого ответа, обучающийся должен показать всю последовательность действий в решении заданий для получения максимального балла. Оценивается способность обучающегося выбирать и применять математические приемы в ряде математических контекстов. Задание может содержать несколько структурных частей/ вопросов.
|
Раздел. |
Проверяемая цель. |
Уровень мыслительных навыков. |
Количество заданий. |
№ задания. |
Тип задания. |
Время на выполнение, (мин). |
Балл. |
Балл за раздел. |
|
Тригонометрия. |
9.1.2.1 переводить градусы в радианы и радианы в градусы; |
Знание и понимание. |
1 |
1 |
КО |
3 |
2 |
20 |
|
9.2.4.1 Знать определения тригонометрических функций; |
Знание и понимание. |
1 |
2 |
КО |
6 |
3 |
||
|
9.2.4.5 находить с помощью единичной окружности область определения и множество значений тригонометрических функций; |
Знание и понимание. |
1 |
3 |
КО |
2 |
1 |
||
|
9.2.4.6 объяснять с помощью единичной окружности чётность (нечётность), периодичность, монотонность и промежутки знакопостоянства тригонометрических функций; |
Знание и понимание |
1 |
4 |
КО |
3 |
2 |
||
|
9.2.4.3 выводить и применять тригонометрические формулы суммы и разности углов, формулы двойного и половинного угла; |
Применение. |
1 |
5 |
РО |
14 |
6 |
||
|
9.2.4.4 выводить и применять формулы приведения; |
Применение. |
1 |
6 |
РО |
12 |
6 |
||
|
ИТОГО: |
|
|
6 |
|
|
40 |
20 |
20 |
ЗАДАНИЯ СУММАТИВНОГО ОЦЕНИВАНИЯ.
1 ВАРИАНТ
|
Оценивание заданий работы |
||||||
|
№ задания |
1 |
2 |
3 |
4 |
5 |
6 |
|
Количество баллов |
2 |
3 |
1 |
2 |
6 |
6 |
|
Всего баллов |
20 баллов |
|||||
1. В
прямоугольном треугольнике один острый угол равен
. Найдите градусные и
радианные меры недостающих углов этого
треугольника.

2.Используя данные рисунка,
найдите значение тригонометрических функций
синуса,
косинуса и тангенса для угла
.
3.Найдите
наибольшее и наименьшее значение выражения
4.Определите четность (нечетность) и
периодичность функции
.
5. Докажи,
что значение выражения не зависит от синуса и косинуса
.
6.Докажи
тождество:
Схема выставления баллов 1 варианта.
|
№ п/п |
Ответ. |
Балл |
Дополнительная информация. |
|
1. |
|
1 |
Углы А и В могут быть записаны наоборот. |
|
|
1 |
|
|
|
2. |
|
1 |
Принимается альтернативный ответ. |
|
|
1 |
|
|
|
|
1 |
|
|
|
3. |
|
1 |
|
|
4. |
|
1 |
|
|
|
1 |
Принимается альтернативный ответ. |
|
|
5. |
ОЗ:
|
1 |
|
|
|
1 |
|
|
|
|
1 |
|
|
|
|
1 |
|
|
|
|
1 |
|
|
|
|
1 |
|
|
|
6. |
|
1 |
|
|
|
1 |
|
|
|
|
1 |
|
|
|
|
1 |
|
|
|
|
1 |
|
|
|
|
1 |
Принимается альтернативный ответ. |
|
|
ИТОГО: |
20 |
|
|
2 ВАРИАНТ
|
Оценивание заданий работы |
||||||
|
№ задания |
1 |
2 |
3 |
4 |
5 |
6 |
|
Количество баллов |
2 |
3 |
1 |
2 |
6 |
6 |
|
Всего баллов |
20 баллов |
|||||
1. В
прямоугольном треугольнике один острый угол равен
. Найдите градусные и
радианные меры недостающих углов этого
треугольника.

2.Используя данные рисунка,
найдите значение тригонометрических функций
синуса,
косинуса и котангенса для угла
.
3.Найдите
наибольшее и наименьшее значение выражения
4.Определите четность (нечетность) и
периодичность функции
.
5. Докажи,
что значение выражения не зависит от синуса и косинуса
.
6.Докажи
тождество:
Схема выставления баллов 2 варианта.
|
№ п/п |
Ответ. |
Балл |
Дополнительная информация. |
|
1. |
|
1 |
Углы А и В могут быть записаны наоборот. |
|
|
1 |
|
|
|
2. |
|
1 |
Принимается альтернативный ответ. |
|
|
1 |
|
|
|
|
1 |
|
|
|
3. |
|
1 |
|
|
4. |
|
1 |
|
|
|
1 |
Принимается альтернативный ответ. |
|
|
5. |
ОЗ:
|
1 |
|
|
|
1 |
|
|
|
|
1 |
|
|
|
|
1 |
|
|
|
|
1 |
|
|
|
|
1 |
|
|
|
6. |
|
1 |
|
|
|
1 |
|
|
|
|
1 |
|
|
|
|
1 |
|
|
|
|
1 |
|
|
|
|
1 |
Принимается альтернативный ответ. |
|
|
ИТОГО: |
20 |
|
|
3 ВАРИАНТ
|
Оценивание заданий работы |
||||||
|
№ задания |
1 |
2 |
3 |
4 |
5 |
6 |
|
Количество баллов |
2 |
3 |
1 |
2 |
6 |
6 |
|
Всего баллов |
20 баллов |
|||||
-
В
прямоугольном треугольнике катеты равны между собой. Найдите
градусные и радианные меры углов этого
треугольника.
-
Используя данные рисунка,
найдите значение тригонометрических функций
синуса,
косинуса и тангенса для угла
.
-
Найдите наибольшее и наименьшее значение выражения
-
Определите четность (нечетность) и периодичность функции
. -
Вычисли
,
если
. -
Докажи тождество:
Схема выставления баллов 3 варианта.
|
№ п/п |
Ответ. |
Балл |
Дополнительная информация. |
|
1. |
|
1 |
|
|
|
1 |
|
|
|
2. |
|
1 |
|
|
|
1 |
Принимается альтернативный ответ. |
|
|
|
1 |
|
|
|
3. |
|
1 |
|
|
4. |
|
1 |
|
|
|
1 |
Принимается альтернативный ответ. |
|
|
5. |
|
1 |
|
|
|
1 |
|
|
|
|
1 |
|
|
|
|
1 |
|
|
|
|
1 |
|
|
|
|
1 |
|
|
|
6. |
|
1 |
|
|
|
1 |
|
|
|
|
1 |
|
|
|
|
1 |
|
|
|
|
1 |
|
|
|
|
1 |
Принимается альтернативный ответ. |
|
|
ИТОГО: |
20 |
|
|
4 ВАРИАНТ
|
Оценивание заданий работы |
||||||
|
№ задания |
1 |
2 |
3 |
4 |
5 |
6 |
|
Количество баллов |
2 |
3 |
1 |
2 |
6 |
6 |
|
Всего баллов |
20 баллов |
|||||
1
. В
прямоугольном треугольнике один из катетов равен половине
гипотенузы. Найдите градусные и радианные меры углов этого
треугольника.
2.Используя данные рисунка,
найдите значение тригонометрических функций
синуса,
косинуса и котангенса для угла
.
3.Найдите
наибольшее и наименьшее значение выражения
4.Определите четность (нечетность) и
периодичность функции
.
5.
Вычисли
,
если
.
6.Докажи
тождество:
Схема выставления баллов 4 варианта.
|
№ п/п |
Ответ. |
Балл |
Дополнительная информация. |
|
1. |
|
1 |
Углы А и В могут быть записаны наоборот. |
|
|
1 |
|
|
|
2. |
|
1 |
|
|
|
1 |
Принимается альтернативный ответ. |
|
|
|
1 |
|
|
|
3. |
|
1 |
|
|
4. |
|
1 |
|
|
|
1 |
Принимается альтернативный ответ. |
|
|
5. |
|
1 |
|
|
|
1 |
|
|
|
|
1 |
|
|
|
|
1 |
|
|
|
|
1 |
|
|
|
|
1 |
|
|
|
6. |
|
1 |
|
|
|
1 |
|
|
|
|
1 |
|
|
|
|
1 |
|
|
|
|
1 |
|
|
|
|
1 |
Принимается альтернативный ответ. |
|
|
ИТОГО: |
20 |
|
|
СПЕЦИФИКАЦИЯ СУММАТИВНОГО ОЦЕНИВАНИЯ ЗА 4 ЧЕТВЕРТЬ
Обзор суммативного оценивания за 4 четверть
Продолжительность – 40 минут
Количество баллов – 20
Типы заданий:
КО – задания, требующие краткого ответа;
РО – задания, требующие развернутого ответа.
Структура суммативного оценивания
Данный вариант состоит из 6 заданий, включающих вопросы с кратким и развернутым ответами.
В вопросах, требующих краткого ответа, обучающийся записывает ответ в виде численного значения, слова или короткого предложения.
В вопросах, требующих развернутого ответа, обучающийся должен показать всю последовательность действий в решении заданий для получения максимального балла. Оценивается способность обучающегося выбирать и применять математические приемы в ряде математических контекстов. Задание может содержать несколько структурных частей/ вопросов.
Характеристика заданий суммативного оценивания за 4 четверть
|
Раздел |
Проверяемая цель |
Уровень мыслительных навыков |
Кол. заданий |
№ задания |
Тип задания |
Время выполнения, мин |
Балл |
Балл за раздел |
|
Тригонометрия |
9.2.4.7 выводить и применять формулы преобразования суммы и разности тригонометрических функций в произведение и произведение в сумму и разность |
Применение |
1 |
5 |
РО |
8 |
3 |
8 |
|
9.2.4.8 Выполнять тождественные преобразования тригонометрических выражений |
Навыки высокого порядка |
1 |
6 |
РО |
8 |
5 |
||
|
Элементы теории вероятности |
9.3.2.2 различать элементарные события от неэлементарных |
Знание и понимание |
1 |
1 |
КО |
4 |
2 |
12 |
|
9.3.2.4 знать статистическое определение вероятности |
Знание и понимание |
1 |
3 |
КО |
5 |
2 |
||
|
9.3.2.3 знать классическое определение вероятности и применять его для решения задач |
Применение |
1 |
2 |
РО |
10 |
5 |
||
|
9.3.2.5 применять геометрическую вероятность при решении задач |
Применение |
1 |
4 |
КО |
5 |
3 |
||
|
Итого |
6 |
|
|
40 |
20 |
20 |
||
Задания и схема выставления баллов
|
Оценивание заданий работы |
|||||
|
№ задания |
1 |
2 |
3 |
4 |
5 |
|
Количество баллов |
5 |
3 |
5 |
4 |
3 |
|
Всего баллов |
20 баллов |
||||
ВАРИАНТ 1
1. Проверьте,
что:
.
2. Преобразовать в
произведение ![]()
3. Из квадрата ABCD со стороной 12 см случайным образом выбирается точка Х. Найдите вероятность того, что эта точка принадлежит трапеции AMСD, если точка M делит отрезок BС в отношении 1:2, считая от точки В.
4. Из собранных 10 велосипедов только 7 не имеют дифектов. Какова вероятность того, что 4 выбранных велосипеда из этих 10 окажутся без дифекта?
5. В урне 10 шаров: 6 белых и 4 черных. Вынули два шара. Какова вероятность, что оба шара белые?
ВАРИАНТ 2
1.
Проверьте, что:
2. Преобразовать в
произведение ![]()
3. Из урны, в которой находится 4 белых, 9 чёрных и 7 красных шаров, наугад вынимают один шар. Какова вероятность событий: А- появление белого шара; В- появление чёрного шара; С- появление красного шара; D- появление зелёного шара?
4. Что вероятнее: А={получить шестёрку при подбрасывании кубика} или В={вытянуть шестерку из перетасованной колоды карт}?
5. В круг вписан правильный шестиугольник. Найти вероятность того, что точка, наудачу брошенная в круг, не попадёт в правильный шестиугольник, вписанный в него.
ВАРИАНТ 3
1.
Проверьте, что: ![]()
2. Преобразовать в
произведение ![]()
3. В урне находится 30 шаров: 10 белых 15 красных и 5 синих. Найдите вероятность появления цветного шара.
4. Из колоды в 32 карты вынимают наугад три карты. Найдем вероятность того, что среди вынутых карт будет хотя бы один туз.
5. В квадрат со стороной 4 см «бросают» точку. Какова вероятность, что расстояние от этой точки до ближайшей стороны квадрата будет меньше 1 см?
ВАРИАНТ 4
1.
Проверьте, что: ![]()
2. Преобразовать в
произведение ![]()
3.В урне находится 36 шаров: 8 белых, 4 черных, 16 синих и 8 красных. Из урны извлекают один шар, Какова вероятность того, что этод шар окажется: а) белым или черным; б) синим или красным; в) не белым?
4. Вероятность попадания в цель при стрельбе из первого орудия равна 0,8, а при стрельбе из второго орудия равна 0,7. Найдем вероятность хотя бы одного попадания в цель, если каждое орудие сделало по одному выстрелу.
5. В круг с радиусом 8 см «бросают» точку. Какова вероятность, что расстояние от этой точки до ближайшей стороны круга будет меньше 2 см?
Схема выставления баллов
Вариант 1
|
№ |
Ответ |
Балл |
Доолнительная информация |
|
1 |
|
1 |
|
|
|
1 |
||
|
|
1 |
||
|
|
1 |
||
|
выполняет преобразование и делает вывод о равенстве:
|
1 |
||
|
2 |
|
1 |
|
|
|
1 |
||
|
= |
1 |
||
|
3 |
Верно построен чертёж по условию задачи
|
1 |
|
|
Вычислил основания трапеции: АД=12см ВМ=8 см |
1 |
||
|
Вычислил
площадь трапеции SAMCD= |
1 |
||
|
SABCD=AB2= 122=144 |
1 |
||
|
Вычислил вероятность попадания точки в трапецию
|
1 |
||
|
4 |
|
1 |
|
|
|
1 |
||
|
. |
1 |
||
|
Делает
вычисление |
1 |
||
|
5 |
|
1 |
|
|
|
1 |
||
|
|
1 |
||
|
ВСЕГО БАЛЛОВ |
20 |
|
|
Вариант 2
|
№ |
Ответ |
Балл |
Доолнительная информация |
|
1 |
|
1 |
|
|
|
1 |
||
|
|
1 |
||
|
|
1 |
||
|
выполняет преобразование и делает вывод о равенстве:
|
1 |
||
|
2 |
|
1 |
|
|
|
1 |
||
|
|
1 |
||
|
3 |
|
1 |
|
|
|
1 |
||
|
|
1 |
||
|
Опытов, в результате которых может быть вынут зеленый шар m=0 и P(D)=0. |
1 |
||
|
4 |
Вероятность получить шестёрку на кубике |
1 |
|
|
Вероятность вытянуть шестёрку из колоды карт
|
1 |
|
|
|
Ответ:
|
1 |
|
|
|
5 |
Определяет соотношение между радиусом и круга и и стороной шестиугольника ( r=а) |
1 |
|
|
Sкруга= πr2 |
1 |
|
|
|
|
1 |
|
|
|
|
1 |
|
|
|
|
1 |
|
|
|
ВСЕГО БАЛЛОВ |
20 |
|
|
Вариант 3
|
№ |
Ответ |
Балл |
Доолнительная информация |
|
1 |
|
1 |
|
|
|
1 |
||
|
|
1 |
||
|
|
1 |
||
|
выполняет преобразование и делает вывод о равенстве:
|
1 |
||
|
2 |
|
1 |
|
|
|
1 |
||
|
|
1 |
||
|
3 |
Вероятность появления красного шара (А) равна
|
1 |
|
|
Вероятность появления синиго шара (В) равна
|
1 |
||
|
Вероятность появления цветного
шара (либо красного,либо синего)
равна |
1 |
||
|
4 |
использует понятие противоположного события и формулу Р(А)
= 1 — Р( |
1 |
|
|
равновозможные исходы |
1 |
|
|
|
благоприятные
события |
1 |
|
|
|
Р( |
1 |
|
|
|
Р( |
1 |
|
|
|
Р(А)
= 1 — Р( . |
1 |
|
|
|
|
Отмечает множество точек, удаленных от ближайшей стороны меньше, чем на 1 см. |
1 |
|
|
S = 16см2 – 4см2 = 12см2. |
1 |
|
|
|
|
1 |
|
|
|
ВСЕГО БАЛЛОВ |
20 |
|
|
Вариант 4
|
№ |
Ответ |
Балл |
Доолнительная информация |
|
1 |
|
1 |
|
|
|
1 |
||
|
|
1 |
||
|
|
1 |
||
|
выполняет преобразование и делает вывод о равенстве: 0=0 |
1 |
||
|
2 |
|
1 |
|
|
|
1 |
||
|
|
1 |
||
|
3 |
|
1 |
|
|
|
1 |
||
|
|
1 |
||
|
4 |
использует понятие противоположного события и формулу Р(А)
= 1 — Р( |
1 |
|
|
|
1 |
|
|
|
|
1 |
|
|
|
А и
|
1 |
|
|
|
Р( |
1 |
|
|
|
Р(А)
= 1 — Р( |
1 |
|
|
|
|
О
|
1 |
|
|
|
S = 64πсм2 – 16πсм2 = 48πсм2. |
1 |
|
|
|
|
1 |
|
|
ВСЕГО БАЛЛОВ |
20 |
|
|
ГЕОМЕТРИЯ
СУММАТИВНОЕ ОЦЕНИВАНИЕ
ЗА РАЗДЕЛ «ВЕКТОРЫ НА ПЛОСКОСТИ»
|
Тема |
Вектор. Действия над векторами. Координаты вектора. Действия над векторами, записанными в координатной форме. |
|
Цели обучения |
9.1.4.3 применять условие коллинеарности векторов; 9.1.3.1 находить координаты вектора; 9.1.4.6 находить скалярное произведение векторов; 9.1.3.5 вычислять угол между векторами. |
|
Критерии оценивания |
Обучающийся Находит значение переменной при котором вектора коллинеарные Вычисляет координаты вектора Находит скалярное произведение векторов Определяет косинус меньшего угла треугольника |
|
Уровень мыслительных навыков |
Применение |
|
Время выполнения |
25 минут |
ЗАДАНИЯ
|
Оценивание заданий работы |
||||
|
№ задания |
1 |
2 |
3 |
4 |
|
Количество баллов |
3 |
2 |
3 |
6 |
|
Всего баллов |
14 баллов |
|||
1 ВАРИАНТ
-
При каком значении d векторы
и
коллинеарные, если М(-2;-1),
О(4;-3), С(-1; d-1), К(-4;-1) -
Найдите координаты вектора
,
если
. -
Стороны квадрата МОКС равны единице. Вычислите
. -
Известны координаты вершин треугольника СРМ: С(-2;8), Р(6;2), М(2;-6). Определите косинус меньшего угла треугольника.
|
Критерий оценивания |
№ задания |
Дескриптор |
Балл |
|
Обучающийся |
|||
|
Находит значение переменной при котором вектора коллинеарные |
1 |
Находит координаты векторов
|
1 |
|
Использует условие коллинеарности |
1 |
||
|
Находит значение d |
1 |
||
|
Вычисляет координаты вектора |
2 |
Умножает координаты вектора на число |
1 |
|
Находит разность векторов |
1 |
||
|
Находит скалярное произведение векторов |
3 |
Определяет направление вектора
|
1 |
|
Находит угол между векторами
|
1 |
||
|
Вычисляет |
1 |
||
|
Определяет косинус меньшего угла треугольника |
4 |
Находит длину вектора СР |
1 |
|
Находит длину вектора РМ |
1 |
||
|
Находит длину вектора СМ |
1 |
||
|
Определяет меньший угол треугольника |
1 |
||
|
Находит скалярное произведение векторов |
1 |
||
|
Вычисляет косинус угла, используя формулу |
1 |
||
|
Общий балл |
14 |
||
2 ВАРИАНТ
-
При каком значении d векторы
и
коллинеарные, если М(5;4),
О(0;3), С(4; d-1), К(9;8). -
Найдите координаты вектора
,
если
. -
Стороны квадрата МОКС равны единице. Вычислите
. -
Известны координаты вершин треугольника СРМ: С(-5;7), Р(3;-1), М(-1;-9). Определите косинус меньшего угла треугольника.
|
Критерий оценивания |
№ задания |
Дескриптор |
Балл |
|
Обучающийся |
|||
|
Находит значение переменной, при котором вектора коллинеарные |
1 |
Находит координаты векторов
|
1 |
|
Использует условие коллинеарности |
1 |
||
|
Находит значение d |
1 |
||
|
Вычисляет координаты вектора |
2 |
Умножает координаты вектора на число |
1 |
|
Находит разность векторов |
1 |
||
|
Находит скалярное произведение векторов |
3 |
Находит вектор МК |
1 |
|
Записывает полученное равенство
|
1 |
||
|
Вычисляет |
1 |
||
|
Определяет косинус меньшего угла треугольника |
4 |
Находит длину вектора СР |
1 |
|
Находит длину вектора РМ |
1 |
||
|
Находит длину вектора СМ |
1 |
||
|
Определяет меньший угол треугольника |
1 |
||
|
Находит скалярное произведение векторов |
1 |
||
|
Вычисляет косинус угла, используя формулу |
1 |
||
|
Общий балл |
14 |
||
-
ВАРИАНТ
-
При каком значении d векторы
и
коллинеарные, если М(3;-4),
О(-5;3), С(1; d+1), К(9;-5). -
Найдите координаты вектора
,
если
. -
В равностороннем треугольнике МОК сторона равна 1. Вычислите
. -
Известны координаты вершин треугольника СРМ: С(1;1), Р(3;-1), М(7;3). Определите косинус меньшего угла треугольника.
4 ВАРИАНТ
-
При каком значении d векторы
и
коллинеарные, если М(-1;3),
О(2;-4), С(-3; 2-d), К(5;2). -
Найдите координаты вектора
,
если
. -
В равностороннем треугольнике МОК сторона равна 1. Вычислите
. -
Известны координаты вершин треугольника СРМ: С(1;1), Р(4;1), М(4;5). Определите косинус меньшего угла треугольника.
Вариант 3-4
|
Критерий оценивания |
№ задания |
Дескриптор |
Балл |
|
Обучающийся |
|||
|
Находит значение переменной, при котором вектора коллинеарные |
1 |
Находит координаты векторов
|
1 |
|
Использует условие коллинеарности |
1 |
||
|
Находит значение d |
1 |
||
|
Вычисляет координаты вектора |
2 |
Умножает координаты вектора на число |
1 |
|
Находит разность векторов |
1 |
||
|
Находит скалярное произведение векторов |
3 |
Находит градусную меру угла между векторами |
1 |
|
Вычисляет модули векторов |
1 |
||
|
Умножает модули векторов и косинус угла между ними |
1 |
||
|
Определяет косинус меньшего угла треугольника |
4 |
Находит длину вектора СР |
1 |
|
Находит длину вектора РМ |
1 |
||
|
Находит длину вектора СМ |
1 |
||
|
Определяет меньший угол треугольника |
1 |
||
|
Находит скалярное произведение векторов |
1 |
||
|
Вычисляет косинус угла, используя формулу |
1 |
||
|
Общий балл |
14 |
||
РУБРИКА ДЛЯ ПРЕДОСТАВЛЕНИЯ ИНФОРМАЦИИ РОДИТЕЛЯМ
ПО ИТОГАМ СУММАТИВНОГО ОЦЕНИВАНИЯ
ЗА РАЗДЕЛ «ВЕКТОРЫ НА ПЛОСКОСТИ»
ФИ ОБУЧАЮЩЕГОСЯ_______________________________________________________
|
Критерий оценивания |
Уровень учебных достижений |
||
|
Низкий |
Средний |
Высокий |
|
|
Находит значение переменной при котором вектора коллинеарные |
Затрудняется в нахождении координат векторов/ использовании условия коллинеарности |
Допускает ошибки при нахождении координат векторов/ нахождении значения переменной |
Находит значение перемеенной пр котором вектора коллинеарны |
|
Вычисляет координаты вектора |
Затрудняется в нахождении координат вектора |
Допускает ошибки при умножении координат вектора на число/нахождении разности векторов/при вычислении абсциссы (ординаты) |
Находит координаты вектора |
|
Находит скалярное произведение векторов |
Затрудняется в нахождении скалярного произведения векторов |
Допускает ошибки при высилении скалярного произведения векторов/ нахождении угла между векторами |
Находит скалярное произведение веткоров |
|
Определяет косинус меньшего угла треугольника |
Затрудняется в нахождении длин векторов / использовании скалярного произведения векторов для вычисления косинуса меньшего угла треугольника |
Допускает вычислительные ошибки при нахождении модулей векторов/ скалярного произведения векторов в координатах/ вычислении угла между векторами. Затрудняется в нахождении меньшего угла тругольника. |
Применяет скалярное произведение векторов для вычисления косинуса меньшего угла треугольника |
СУММАТИВНОЕ ОЦЕНИВАНИЕ
ЗА РАЗДЕЛ «ПРЕОБРАЗОВАНИЯ ПЛОСКОСТИ»
|
Тема |
Движение и его свойства. Гомотетия и ее свойства. Подобные фигуры и их свойства. Признаки подобия треугольников. |
|
Цели обучения |
9.1.4.8 знать виды, композиции движений и их свойства; 9.1.4.9 строить образы фигур при симметриях, параллельном переносе, повороте; 9.1.4.11 знать определение и свойства гомотетии; 9.1.4.15 знать и применять подобие прямоугольных треугольников; 9.1.4.17 знать формулу зависимости между площадями подобных фигур и коэффициентом подобия; |
|
Критерии оценивания |
Обучающийся Применяет осевую и центральную симметрию для построения образа фигуры Определяет центр и коэффициент гомотетии Применяет подобие прямоугольных треугольников Применяет формулу зависимости между площадями подобных фигур и коэффициентом подобия |
|
Уровень мыслительных навыков |
Знание и понимание Применение |
|
Время выполнения |
25 минут |
ЗАДАНИЯ
|
Оценивание заданий работы |
||||
|
№ задания |
1 |
2 |
3 |
4 |
|
Количество баллов |
2 |
3 |
5 |
5 |
|
Всего баллов |
15 баллов |
|||
1 ВАРИАНТ
1. Дана фигура Н.
а) отобразите фигуру Н относительно Ох и обозначьте М.
b) Отобразите фигуру Н относительно начала координат и обозначьте Р.

2. Укажите преобразование подобия и полностью опишите его, переводящее фигуру Р в фигуру С.

3. Человек, находясь у подножия горы (точка М) видит верх столба (точка К) и верхнюю точку скалы (Р), причем точки М, К и Р расположены на одной прямой. Найти высоту скалы от подножия, если расстояние от человека до столба равно 300 м, а до подножия горы – 900 метров. Высота столба равна 6 м.
4. Площадь
треугольника МОК равна 200
, а площадь подобного ему
треугольника
равна 50
. Найти
, если МО= 12
см.
2 ВАРИАНТ
1. Дана фигура Н.
а) отобразите фигуру Н относительно Ох и обозначьте М.
b) Отобразите фигуру Н относительно начала координат и обозначьте Р.

2. Укажите преобразование подобия и полностью опишите его, с помощью которого была получена фигура К из фигуры С.

3. Человек, находясь у подножия горы (точка М) видит верх столба (точка К) и верхнюю точку скалы (Р), причем точки М, К и Р расположены на одной прямой. Найти высоту скалы от подножия, если расстояние от человека до столба равно 400 м, а до подножия горы – 1000 метров. Высота столба равна 7 м.
4. Площадь
треугольника МОК равна 400
, а площадь подобного ему
треугольника
равна 100
. Найти
, если МО= 24
см.
Вариант 1-2
|
Критерий оценивания |
№ задания |
Дескриптор |
Балл |
|
Обучающийся |
|||
|
Применяет осевую и центральную симметрию для построения образа фигуры |
1 |
Строит симметричную фигуру относительно оси симметрии |
1 |
|
Строит симметричную фигуру относительно центра симметрии |
1 |
||
|
Определяет центр и коэффициент гомотетии |
2 |
Определяет вид преобразования |
1 |
|
Записывает центр гомотетии |
1 |
||
|
Записывает коэффициент гомотетии |
1 |
||
|
Применяет подобие прямоугольных треугольников |
3 |
Верно построен чертеж |
1 |
|
Доказывает подобие прямоугольных треугольников |
1 |
||
|
Вычисляет расстояние между двумя точками |
1 |
||
|
Составляет равенство отношений сторон подобных треугольников |
1 |
||
|
Определяет высоту скалы |
1 |
||
|
Применяет формулу зависимости между площадями подобных фигур и коэффициентом подобия |
4 |
Выполняет построение чертежа и условие |
1 |
|
Находит отношение площадей треугольников |
1 |
||
|
Вычисляет коэффициент подобия |
1 |
||
|
Записывает отношение сторон |
1 |
||
|
Находит длину стороны |
1 |
||
|
Общий балл |
15 |
||
3 ВАРИАНТ
1. Дана фигура Н.
а) отобразите фигуру Н относительно Оу и обозначьте М.
b) Отобразите фигуру Н относительно начала координат и обозначьте Р.

2. Укажите преобразование подобия и полностью опишите его, с помощью которого была получена фигура М из фигуры Т.
![]()
3. Мальчик ростом 0,9 м стоит на расстоянии 6 м от столба, на котором висит фонарь на высоте 2,7 м. Найти длину тени мальчика в метрах.
4.
Коэффициент подобия треугольников СОР и
равен 3. Найти площадь
треугольника
, если
СО=2,5 см, ОС=2 см, а угол между этими сторонами равен
.
4 ВАРИАНТ
1. Дана фигура Н.
а) отобразите фигуру Н относительно Оу и обозначьте М.
b) Отобразите фигуру Н относительно начала координат и обозначьте Р.

2. Укажите преобразование подобия и полностью опишите его, с помощью которого была получена фигура М из фигуры Т.

3. Дерево высотой 2,7 м стоит на расстоянии 9 м от столба, на котором висит фонарь на высоте 8,1 м. Найти длину тени мальчика в метрах.
4.
Коэффициент подобия треугольников СОР и
равен 2. Найти площадь
треугольника
, если
СО=10 см, ОС=8 см, а угол между этими сторонами равен
.
Вариант 3-4
|
Критерий оценивания |
№ задания |
Дескриптор |
Балл |
|
Обучающийся |
|||
|
Применяет осевую и центральную симметрию для построения образа фигуры |
1 |
Строит симметричную фигуру относительно оси симметрии |
1 |
|
Строит симметричную фигуру относительно центра симметрии |
1 |
||
|
Определяет центр и коэффициент гомотетии |
2 |
Определяет вид преобразования |
1 |
|
Записывает центр гомотетии |
1 |
||
|
Записывает коэффициент гомотетии |
1 |
||
|
Применяет подобие прямоугольных треугольников |
3 |
Верно построен чертеж |
1 |
|
Доказывает подобие прямоугольных треугольников |
1 |
||
|
Вычисляет расстояние между двумя точками |
1 |
||
|
Составляет равенство отношений сторон подобных треугольников |
1 |
||
|
Определяет длину тени |
1 |
||
|
Применяет формулу зависимости между площадями подобных фигур и коэффициентом подобия |
4 |
Выполняет построение чертежа и условие |
1 |
|
Находит площадь треугольника |
1 |
||
|
Вычисляет коэффициент подобия, применяя формулу зависимости между площадями подобных фигур |
1 |
||
|
Записывает отношение площадей |
1 |
||
|
Вычисляет площадь заданного треугольника |
1 |
||
|
Общий балл |
15 |
||
РУБРИКА ДЛЯ ПРЕДОСТАВЛЕНИЯ ИНФОРМАЦИИ РОДИТЕЛЯМ
ПО ИТОГАМ СУММАТИВНОГО ОЦЕНИВАНИЯ ЗА РАЗДЕЛ
«ПРЕОБРАЗОВАНИЯ ПЛОСКОСТИ»
ФИ ОБУЧАЮЩЕГОСЯ ______________________________________________________
|
Критерий оценивания |
Уровень учебных достижений |
||
|
Низкий |
Средний |
Высокий |
|
|
Применяет осевую и центральную симметрию для построения образа фигуры
|
Затрудняется в построении образа фигуры при заданном преобразовании |
Применяет осевую и центральную симметрию для построения образа фигуры, допускает погрешности в построении образа фигуры при осевой/центральной симметрии |
Строит образы фигуры при заданном преобразовании |
|
Определяет центр и коэффициент гомотетии
|
Затрудняется в опредлении центра и коэффициента по чертежу |
Допускает ошибки при определении центра/ коэффициента гомотетии |
Находит центр и коэффициент гомотетии |
|
Применяет подобие прямоугольных треугольников
|
Затрудняется в доказательстве подобных трегуольников |
Допускате вычислительные ошибки при нахождении неизвестных |
Решает задачи с применением подобия прямоугольных треугольников |
|
Применяет формулу зависимости между площадями подобных фигур и коэффициентом подобия |
Затрудняется в применении формулы зависимости между площадями подобных фигур и коэффициентом подобия |
Допускает ошибки при вычислении коэффициента подобия / сьтороны треугольника /площади заданного треугольника/ |
Применяет формулу зависимости между площадями подобных фигур и коэффициентом подобия при решении задач |
СУММАТИВНОЕ ОЦЕНИВАНИЕ
ЗА РАЗДЕЛ «РЕШЕНИЕ ТРЕУГОЛЬНИКОВ»
|
Тема |
Решение треугольников |
|
Цели обучения |
9.1.3.6 Знать и применять теорему косинусов 9.1.3.7 Знать и применять теорему синусов 9.1.3.9 Знать и применять формулы для нахождения радиуса окружности, используя площади вписанных и описанных треугольников |
|
Критерии оценивания |
Обучающийся Знает теорему синусов и теорему косинусов Применяет теорему синусов для решения задач Применяет теорему косинусов для решения задач Решает задачи на нахождение радиуса описанной около треугольника окружностей |
|
Уровень мыслительных навыков |
навыки высокого порядка |
|
Время выполнения |
25 минут |
Примечание: Таблицы Брадиса
ЗАДАНИЯ
|
Оценивание заданий работы |
||||
|
№ задания |
1 |
2 |
3 |
4 |
|
Количество баллов |
2 |
4 |
4 |
4 |
|
Всего баллов |
14 баллов |
|||
1 ВАРИАНТ
1. Задан треугольник: Определите, какие из следующих выражений истинны:
С
1)![]()
2)
![]()
3)
![]()
4)
![]()
А
В 5)![]()
6)
![]()
7)
![]()
2. В треугольнике АВС: АС=0,59дм,
,
. Найдите ВС?
3. Стороны треугольника равны 16,86; 15 и 20дм. Найдите угол, лежащий напротив меньшей стороны.
4. В равнобедренном треугольнике боковая сторона равна 13 см, основание равно 24 см. Найдите радиус вписанной в этот треугольник и радиус описанной около этого треугольника окружности.
2 ВАРИАНТ
1.Задан треугольник: Определите, какие из следующих выражений истинны:
F
1)![]()
2)
![]()
3)
![]()
4)
![]()
M
R 5)![]()
6)
![]()
7)
![]()
2. В треугольнике ЕКР: NР=0,75дм,
,
. Найдите РК?
3. Стороны треугольника равны 8; 12,47 и 16дм. Найдите угол, лежащий против напротив меньшей стороны
4. В равнобедренном треугольнике боковая сторона равна 20 см, основание равно 32 см. Найдите радиус вписанной в этот треугольник и радиус описанной около этого треугольника окружности.
3 ВАРИАНТ
1. Задан треугольник: Определите, какие из следующих выражений истинны:
B
1) ![]()
2)
![]()
3)
![]()
4)
![]()
F
D 5)![]()
6)
![]()
7)
![]()
2. В треугольнике MNР: NР=20дм,
,
. Найдите РM?
3. Стороны треугольника равны 8; 7 и 2 дм. Найдите угол, лежащий против напротив меньшей стороны.
4 . В равнобедренном треугольнике боковая сторона равна 10 см, основание равно 16 см. Найдите радиус вписанной в этот треугольник и радиус описанной около этого треугольника окружности.
4 ВАРИАНТ
1. Задан треугольник: Определите, какие из следующих выражений истинны:
L
1) ![]()
2)
![]()
3)
![]()
4)
![]()
K
M 5)![]()
6)
![]()
7)
2. В треугольнике ADM: AM=12дм,
,
. Найдите DM?
3. Стороны треугольника равны 15; 24 и 18дм. Найдите угол, лежащий против напротив меньшей стороны
4 . В равнобедренном треугольнике боковая сторона равна 10 см, основание равно 12 см. Найдите радиус вписанной в этот треугольник и радиус описанной около этого треугольника окружности.
|
Критерий оценивания |
№ задан |
Дескриптор |
балл |
|
Обучающийся: |
|||
|
Знает теорему синусов и теорему косинусов |
1 |
Находит соответствие для теоремы косинусов |
1 |
|
Находит соответствие для теоремы синусов |
1 |
||
|
Применяет теорему синусов для решения задач |
2 |
Находит третий угол треугольника |
1 |
|
Использует теорему синусов |
1 |
||
|
Находит вторую сторону треугольника |
1 |
||
|
Находит третью сторону треугольника |
1 |
||
|
Применяет теорему косинусов для решения задач |
3 |
Находит наименьший угол треугольника |
1 |
|
Использует теорему косинусов |
1 |
||
|
Находит косинус угла |
1 |
||
|
Находит угол используя таблицу Брадиса |
1 |
||
|
Решает задачи на нахождение радиусов вписанной в треугольник и описанной около треугольника окружностей |
4 |
Вычисляет площадь треугольника |
1 |
|
Использует формулы нахождения радиуса описанной и вписанной окружностей |
1 |
||
|
Находит радиус вписанной окружности |
1 |
||
|
Находит радиус описанной окружности |
1 |
||
|
Всего баллов |
|
14 |
|
РУБРИКА ДЛЯ ПРЕДОСТАВЛЕНИЯ ИНФОРМАЦИИ РОДИТЕЛЯМ
ПО ИТОГАМ СУММАТИВНОГО ОЦЕНИВАНИЯ
ЗА РАЗДЕЛ «РЕШЕНИЕ ТРЕУГОЛЬНИКОВ»
ФИ ОБУЧАЮЩЕГОСЯ_____________________________________________________
|
Критерий оценивания |
Уровень учебных достижений |
||
|
Низкий |
Средний |
Высокий |
|
|
Определяет формулы теоремы косинусов, теоремы синусов |
Затрудняется в нахождении формул |
Допускает ошибки при нахождении формул |
Верно определяет истинное выражение теоремы косинусов и теоремы синусов |
|
Применяет теорему синусов при решении задач |
Затрудняется в применении теоремы синусов |
Допускает ошибки в вычислениях / преобразованиях |
Использует теорему синусов для решения задач |
|
Применяет теорему косинусов при решении задач |
Затрудняется в применении теоремы косинусов |
Допускает ошибки в вычислениях / преобразованиях |
Решает задачи, применяя теорему косинусов |
|
Решает задачи на нахождение радиусов вписанной и описанной окружностей |
Затрудняется при решении задач на нахождение радиусов вписанной и описанной окружностей |
Допускает ошибки в вычислениях/ при нахождении радиуса описанной окружности / радиуса вписанной окружности |
Решает задачи на нахождение радиусов вписанной и описанной окружностей |
СУММАТИВНОЕ ОЦЕНИВАНИЕ
ЗА РАЗДЕЛ «ОКРУЖНОСТЬ. МНОГОУГОЛЬНИКИ»
|
Тема |
Окружность и круг. Длина дуги. Площади круга, сектора и сегмента. Правильные многоугольники, их свойства и симметрии |
|
Цели обучения |
9.1.2.1 Знать и применять свойства и признаки вписанных и описанных четырёхугольников 9.1.2.2 Знать определение и свойства правильных многоугольников 9.1.1.1 Выводить и применять формулу длины дуги 9.1.1.2 Выводить и применять формулу площади сектора, сегмента 9.1.1.4 Знать и применять теоремы о пропорциональности отрезков в круге 9.1.1.3 Знать определение вписанного угла и его свойства |
|
Критерии оценивания |
Обучающийся Решает задачи с помощью теорем о вписанных и описанных четырёхугольниках Применяет свойства правильных многоугольников при решении задач Применяет формулы длины дуги и площади сектора Применяет теоремы о пропорциональности отрезков хорд Вычисляет градусные меры углов, связанных с окружностью |
|
Уровень мыслительных навыков |
Применение Навыки высокого порядка |
|
Время выполнения |
25 минут |
ЗАДАНИЯ
|
Оценивание заданий работы |
|||
|
№ задания |
1 |
2 |
3 |
|
Количество баллов |
6 |
6 |
3 |
|
Всего баллов |
15 баллов |
||
1 ВАРИАНТ
-
Решите задачи с помощью теорем о вписанных и описанных четырёхугольниках
-
Один из углов трапеции, вписанной в окружность, равен 37,5°. Найдите остальные углы трапеции.
-
Периметр равнобедренной трапеции, описанной около окружности, равен 22 см. Найдите величину боковой стороны трапеции.
-
-
Периметр правильного шестиугольника равен 72 см. Найдите его площадь.
-
Окружность радиусом 2,7 мм разбита на два сектора. Длина дуги второго сектора в три раза больше длины дуги первого.
-
Вычислите длину дуги первого сектора
-
Вычислите площадь второго сектора
-
|
Критерий оценивания |
№ задания |
Дескриптор |
Балл |
|
Обучающийся |
|||
|
Решает задачу с помощью теоремы о вписанных четырёхугольниках |
1a |
Находит величину смежного угла при боковой стороне |
1 |
|
Составляет равенство сумм углов, применяя теорему о вписанных четырёхугольниках |
1 |
||
|
Находит величины оставшихся углов |
1 |
||
|
Решает задачу с помощью теоремы об описанных четырёхугольниках |
1b |
Составляет уравнение, применяя теорему об описанных четырёхугольниках |
1 |
|
Вычисляет полупериметр |
1 |
||
|
Находит величину боковой стороны трапеции |
1 |
||
|
Применяет свойства правильных многоугольников при решении задач |
2 |
Выполняет чертёж |
1 |
|
Разбивает шестиугольник на 6 равносторонних треугольников |
1 |
||
|
Вычисляет высоту равностороннего треугольника (допустимы разные способы) |
1 |
||
|
Сравнивает полученную высоту с радиусом вписанной окружности |
1 |
||
|
Находит полупериметр правильного шестиугольника |
1 |
||
|
Вычисляет площадь шестиугольника |
1 |
||
|
Применяет формулы длины дуги и площади сектора |
3a |
Вычисляет градусные меры секторов |
1 |
|
Находит длину дуги первого сектора |
1 |
||
|
Применяет формулы длины дуги и площади сектора |
3b |
Находит площадь второго сектора по формуле |
1 |
|
Общий балл |
15 |
||
2 ВАРИАНТ
-
Решите задачи с помощью теорем о вписанных и описанных четырёхугольниках
-
Один из углов трапеции, вписанной в окружность, равен 29,4°. Найдите остальные углы трапеции.
-
Периметр равнобедренной трапеции, описанной около окружности, равен 44 см. Найдите величину боковой стороны трапеции.
-
-
Периметр правильного шестиугольника равен 270 см. Найдите его площадь.
-
Окружность радиусом 3,5 мм разбита на два сектора. Длина дуги второго сектора в четыре раза больше длины дуги первого.
-
Вычислите длину дуги первого сектора
-
Вычислите площадь второго сектора
-
|
Критерий оценивания |
№ задания |
Дескриптор |
Балл |
|
Обучающийся |
|||
|
Решает задачу с помощью теоремы о вписанных четырёхугольниках |
1a |
Находит величину смежного угла при боковой стороне |
1 |
|
Составляет равенство сумм углов, применяя теорему о вписанных четырёхугольниках |
1 |
||
|
Находит величины оставшихся углов |
1 |
||
|
Решает задачу с помощью теоремы об описанных четырёхугольниках |
1b |
Составляет уравнение, применяя теорему об описанных четырёхугольниках |
1 |
|
Вычисляет полупериметр |
1 |
||
|
Находит величину боковой стороны трапеции |
1 |
||
|
Применяет свойства правильных многоугольников при решении задач |
2 |
Выполняет чертёж |
1 |
|
Разбивает шестиугольник на 6 равносторонних треугольников |
1 |
||
|
Вычисляет высоту равностороннего треугольника (допустимы разные способы) |
1 |
||
|
Сравнивает полученную высоту с радиусом вписанной окружности |
1 |
||
|
Находит полупериметр правильного шестиугольника |
1 |
||
|
Вычисляет площадь шестиугольника |
1 |
||
|
Применяет формулы длины дуги и площади сектора |
3a |
Вычисляет градусные меры секторов |
1 |
|
Находит длину дуги первого сектора |
1 |
||
|
Применяет формулы длины дуги и площади сектора |
3b |
Находит площадь второго сектора по формуле |
1 |
|
Общий балл |
15 |
||
3 ВАРИАНТ
-
Решите задачи с помощью теорем о вписанных и описанных четырёхугольниках
-
Один из углов трапеции, вписанной в окружность, равен
°. Найдите остальные углы
трапеции. -
Периметр равнобедренной трапеции, описанной около окружности, равен 168 см. Найдите величину боковой стороны трапеции.
-
-
Периметр правильного шестиугольника равен 360 см. Найдите его площадь.
-
Окружность радиусом 6,3 мм разбита на два сектора. Длина дуги второго сектора в два раза больше длины дуги первого.
-
Вычислите длину дуги первого сектора
-
Вычислите площадь второго сектора
-
|
Критерий оценивания |
№ задания |
Дескриптор |
Балл |
|
Обучающийся |
|||
|
Решает задачу с помощью теоремы о вписанных четырёхугольниках |
1a |
Находит величину смежного угла при боковой стороне |
1 |
|
Составляет равенство сумм углов, применяя теорему о вписанных четырёхугольниках |
1 |
||
|
Находит величины оставшихся углов |
1 |
||
|
Решает задачу с помощью теоремы об описанных четырёхугольниках |
1b |
Составляет уравнение, применяя теорему об описанных четырёхугольниках |
1 |
|
Вычисляет полупериметр |
1 |
||
|
Находит величину боковой стороны трапеции |
1 |
||
|
Применяет свойства правильных многоугольников при решении задач |
2 |
Выполняет чертёж |
1 |
|
Разбивает шестиугольник на 6 равносторонних треугольников |
1 |
||
|
Вычисляет высоту равностороннего треугольника (допустимы разные способы) |
1 |
||
|
Сравнивает полученную высоту с радиусом вписанной окружности |
1 |
||
|
Находит полупериметр правильного шестиугольника |
1 |
||
|
Вычисляет площадь шестиугольника |
1 |
||
|
Применяет формулы длины дуги и площади сектора |
3a |
Вычисляет градусные меры секторов |
1 |
|
Находит длину дуги первого сектора |
1 |
||
|
Применяет формулы длины дуги и площади сектора |
3b |
Находит площадь второго сектора по формуле |
1 |
|
Общий балл |
15 |
||
4 ВАРИАНТ
-
Решите задачи с помощью теорем о вписанных и описанных четырёхугольниках
-
Один из углов трапеции, вписанной в окружность, равен
°. Найдите остальные углы
трапеции. -
Периметр равнобедренной трапеции, описанной около окружности, равен 88 см. Найдите величину боковой стороны трапеции.
-
-
Периметр правильного шестиугольника равен 144 см. Найдите его площадь.
-
Окружность радиусом 6,4 мм разбита на два сектора. Длина дуги второго сектора в три раза больше длины дуги первого.
-
Вычислите длину дуги первого сектора
-
Вычислите площадь второго сектора
-
|
Критерий оценивания |
№ задания |
Дескриптор |
Балл |
|
Обучающийся |
|||
|
Решает задачу с помощью теоремы о вписанных четырёхугольниках |
1a |
Находит величину смежного угла при боковой стороне |
1 |
|
Составляет равенство сумм углов, применяя теорему о вписанных четырёхугольниках |
1 |
||
|
Находит величины оставшихся углов |
1 |
||
|
Решает задачу с помощью теоремы об описанных четырёхугольниках |
1b |
Составляет уравнение, применяя теорему об описанных четырёхугольниках |
1 |
|
Вычисляет полупериметр |
1 |
||
|
Находит величину боковой стороны трапеции |
1 |
||
|
Применяет свойства правильных многоугольников при решении задач |
2 |
Выполняет чертёж |
1 |
|
Разбивает шестиугольник на 6 равносторонних треугольников |
1 |
||
|
Вычисляет высоту равностороннего треугольника (допустимы разные способы) |
1 |
||
|
Сравнивает полученную высоту с радиусом вписанной окружности |
1 |
||
|
Находит полупериметр правильного шестиугольника |
1 |
||
|
Вычисляет площадь шестиугольника |
1 |
||
|
Применяет формулы длины дуги и площади сектора |
3a |
Вычисляет градусные меры секторов |
1 |
|
Находит длину дуги первого сектора |
1 |
||
|
Применяет формулы длины дуги и площади сектора |
3b |
Находит площадь второго сектора по формуле |
1 |
|
Общий балл |
15 |
||
РУБРИКА ДЛЯ ПРЕДОСТАВЛЕНИЯ ИНФОРМАЦИИ РОДИТЕЛЯМ
ПО ИТОГАМ СУММАТИВНОГО ОЦЕНИВАНИЯ
ЗА РАЗДЕЛ «РЕШЕНИЕ ТРЕУГОЛЬНИКОВ»
ФИ ОБУЧАЮЩЕГОСЯ____________________________________________________
|
Критерий оценивания |
Уровень учебных достижений |
||
|
Низкий |
Средний |
Высокий |
|
|
Решает задачу с помощью теоремы о вписанных четырёхугольниках |
Затрудняется в нахождении величины смежного угла, неверно применяет теорему о вписанных четырехугольниках |
Допускает ошибки в нахождении величины смежного угла, в применении теоремы о вписанных четырехугольниках |
Верно находит величины смежного угла, в применении теоремы о вписанных четырехугольниках |
|
Решает задачу с помощью теоремы об описанных четырёхугольниках |
Затрудняется в применении теоремы об описанных четырёхугольниках |
Допускает ошибки в применении теоремы об описанных четырёхугольниках |
Верно применяет теорему об описанных четырёхугольниках |
|
Применяет свойства правильных многоугольников при решении задач |
Затрудняется в применении теоремы об описанных четырёхугольниках |
Допускает ошибки в применении теоремы об описанных четырёхугольниках |
Верно применяет теоремы об описанных четырёхугольниках |
|
Применяет формулы длины дуги и площади сектора |
Затрудняется при вычислении градусной меры сектора, длины дуги сектора и площади сектора |
Допускает ошибки при вычислении градусной меры сектора, длины дуги сектора и площади сектора |
Верно, вычисляет градусную меру сектора, длину дуги сектора и площадь сектора |
-
СПЕЦИФИКАЦИЯ СУММАТИВНОГО ОЦЕНИВАНИЯ ЗА 1 ЧЕТВЕРТЬ
Обзор суммативного оценивания
Продолжительность - 40 минут
Количество баллов – 20
Типы заданий:
КО – задания, требующие краткого ответа;
РО – задания, требующие развернутого ответа.
Структура суммативного оценивания
Данный вариант состоит из 6 заданий, включающие вопросы с краткими и развернутыми ответами.
В заданиях, требующих краткого ответа, обучающийся записывает ответ в виде численного значения, слова или короткого предложения.
В заданиях, требующие развернутого ответа, обучающийся должен показать всю последовательность действий в решении заданий для получения максимального балла. Оценивается способность обучающегося выбирать и применять математические приемы в ряде математических контекстов. Задание может содержать несколько структурных частей/ вопросов.
Характеристика заданий суммативного оценивания
|
Раздел |
Проверяемая цель |
Уровень мыслительных навыков |
Кол. заданий* |
№ задания* |
Тип задания* |
Время на выполнение, мин* |
Балл* |
Балл за раздел |
|
Векторы на плоскости |
9.1.4.5 знать определение угла между двумя векторами |
Знание и понимание |
1 |
1 |
КО |
2 |
2 |
20 |
|
9.1.4.4 раскладывать вектор по двум неколлинеарным векторам |
Применение |
1 |
2 |
РО |
5 |
2 |
||
|
9.1.4.2 знать и применять правила сложения векторов и умножения вектора на число |
Применение |
1 |
3 |
РО |
2 |
3 |
||
|
9.1.3.3 выполнять действия над векторами в координатах |
Применение |
1 |
4 |
РО |
6 |
3 |
||
|
9.1.3.4 знать и применять скалярное произведение векторов и его свойства |
Применение |
1 |
5 |
РО |
10 |
5 |
||
|
9.1.4.7 решать задачи векторным методом |
Навыки высокого порядка |
1 |
6 |
РО |
15 |
5 |
||
|
ИТОГО: |
|
|
6 |
|
|
40 |
20 |
20 |
|
Примечание: * - разделы, в которые можно вносить изменения |
||||||||
ЗАДАНИЯ СУММАТИВНОГО ОЦЕНИВАНИЯ
|
Оценивание заданий работы |
||||||
|
№ задания |
1 |
2 |
3 |
4 |
5 |
6 |
|
Количество баллов |
2 |
2 |
3 |
3 |
5 |
5 |
|
Всего баллов |
20 баллов |
|||||
1 ВАРИАНТ
-
Четырехугольник ABCD – трапеция,
. Найдите угол между
векторами
и
.

-
Диагонали параллелограмма PMCK пересекаются в точке О. Выразите вектор КО
через
векторы
и
.

-
Упростите выражение
![]()
-
Найдите длину вектора
, где
и
. -
Даны вектор
,
и
.
Найдите:
а) косинус между
векторами
и
;
b) число а, если
векторы
и
коллинеарны;
с) число а, если
векторы
и
перпендикулярны.
6. Решите задачу векторным методом. Выполните рисунок.
Дан треугольник с вершинами М (-2;8), N (6;2), K(2;-6). Найдите длину медианы МР.
Схема выставления баллов
|
№ |
Ответ |
Балл |
Дополнительная информация |
|
1 |
|
1 |
|
|
|
1 |
|
|
|
2 |
|
1 |
|
|
|
1 |
|
|
|
3 |
|
1 |
|
|
|
1 |
|
|
|
|
1 |
|
|
|
4 |
|
1 |
|
|
|
1 |
|
|
|
|
1 |
|
|
|
5 |
|
1 |
|
|
|
1 |
|
|
|
|
1 |
|
|
|
b)
|
1 |
|
|
|
|
1 |
|
|
|
6 |
Верно выполнен рисунок к задаче |
1 |
|
|
М(х;у) |
1 |
|
|
|
М (4;-2). Верно построена медиана МР |
1 |
|
|
|
|
1 |
|
|
|
|
1 |
|
|
|
Итого: |
20 |
|
|
2 ВАРИАНТ
|
Оценивание заданий работы |
||||||
|
№ задания |
1 |
2 |
3 |
4 |
5 |
6 |
|
Количество баллов |
2 |
2 |
3 |
3 |
5 |
5 |
|
Всего баллов |
20 баллов |
|||||
-
Четырехугольник ABCD – ромб,
. Найдите угол между
векторами
и
.

-
Диагонали параллелограмма PMCK пересекаются в точке О. Выразите вектор РО
через
векторы
и
.

-
Упростите выражение
![]()
-
Найдите длину вектора
, где
и
. -
Даны вектор
,
и
.
Найдите:
а) косинус между
векторами
и
;
b) число а, если
векторы
и
коллинеарны;
с) число а, если
векторы
и
перпендикулярны.
6. Решите задачу. Дан параллелограмм с вершинами М (3;-4), N (-5;3), K(1;2), L (х; у). Найдите сумму координат вершины L.
Схема выставления баллов
|
№ |
Ответ |
Балл |
Дополнительная информация |
|
1 |
|
1 |
|
|
|
1 |
|
|
|
2 |
|
1 |
|
|
|
1 |
|
|
|
3 |
|
1 |
|
|
|
1 |
|
|
|
|
1 |
|
|
|
4 |
|
1 |
|
|
|
1 |
|
|
|
|
1 |
|
|
|
5 |
а) |
1 |
|
|
|
1 |
|
|
|
|
1 |
|
|
|
b)
|
1 |
|
|
|
|
1 |
|
|
|
6 |
|
1 |
|
|
|
1 |
|
|
|
х-3=6, х= 9 |
1 |
|
|
|
у+4=-1, у=-5 |
1 |
|
|
|
L (9; -5), 9-5=4 |
1 |
|
|
|
Итого: |
20 |
|
|
3 ВАРИАНТ
|
Оценивание заданий работы |
||||||
|
№ задания |
1 |
2 |
3 |
4 |
5 |
6 |
|
Количество баллов |
2 |
2 |
3 |
3 |
5 |
5 |
|
Всего баллов |
20 баллов |
|||||
-
Четырехугольник ABCD – параллелограмм,
. Найдите
угол между векторами
и
.

-
В треугольнике PMC точки O и F являются серединами сторон соответственно PM и РС. Выразите вектор СМ через векторы
.

-
Упростите выражение
![]()
-
Найдите длину вектора
, где
и
. -
Даны вектор
,
и
.
Найдите:
а) косинус между
векторами
и
;
b) число а, если
векторы
и
коллинеарны;
с) число а, если
векторы
и
перпендикулярны.
6. Решите задачу векторным методом. Выполните рисунок к задаче. Найти угол треугольника ONР при вершине О, если даны координаты вершин треугольника O (-1;-2), N (-4;-2), P(3;-2).
Схема выставления баллов
|
№ |
Ответ |
Балл |
Дополнительная информация |
|
1 |
|
1 |
|
|
|
1 |
|
|
|
2 |
|
1 |
|
|
|
1 |
|
|
|
3 |
|
1 |
|
|
|
1 |
|
|
|
|
1 |
|
|
|
4 |
|
1 |
|
|
|
1 |
|
|
|
|
1 |
|
|
|
5 |
а) |
1 |
|
|
|
1 |
|
|
|
|
1 |
|
|
|
b)
|
1 |
|
|
|
|
1 |
|
|
|
6 |
|
1 |
|
|
|
1 |
|
|
|
|
1 |
|
|
|
|
1 |
|
|
|
|
1 |
|
|
|
Итого: |
20 |
|
|
4 ВАРИАНТ
|
Оценивание заданий работы |
||||||
|
№ задания |
1 |
2 |
3 |
4 |
5 |
6 |
|
Количество баллов |
2 |
2 |
3 |
3 |
5 |
5 |
|
Всего баллов |
20 баллов |
|||||
-
Четырехугольник ABCD – параллелограмм,
. Найдите
угол между векторами
и
.

-
МF является медианой треугольника PMC . Выразите вектор
через векторы
.

-
Упростите выражение
![]()
-
Найдите длину вектора
, где
и
. -
Даны вектор
,
и
.
Найдите:
а) косинус между
векторами
и
;
b) число а, если
векторы
и
коллинеарны;
с) число а, если
векторы
и
перпендикулярны.
6. Решите задачу векторным методом. Выполните рисунок к задаче. В треугольнике ONР с вершинами O (-2;0), N (-1;2), P(8;-4). Найдите длину медианы NК.
Схема выставления баллов
|
№ |
Ответ |
Балл |
Дополнительная информация |
|
1 |
|
1 |
|
|
|
1 |
|
|
|
2 |
|
1 |
|
|
|
1 |
|
|
|
3 |
|
1 |
|
|
|
1 |
|
|
|
|
1 |
|
|
|
4 |
|
1 |
|
|
|
1 |
|
|
|
|
1 |
|
|
|
5 |
а) |
1 |
|
|
|
1 |
|
|
|
|
1 |
|
|
|
b)
|
1 |
|
|
|
|
1 |
|
|
|
6 |
Верно выполнен рисунок к задаче |
1 |
|
|
|
1 |
|
|
|
|
1 |
|
|
|
|
1 |
|
|
|
|
1 |
|
|
|
Итого: |
20 |
|
|
СПЕЦИФИКАЦИЯ СУММАТИВНОГО ОЦЕНИВАНИЯ ЗА 2 ЧЕТВЕРТЬ
Обзор суммативного оценивания
Продолжительность – 40 минут
Количество баллов – 20
Типы заданий:
МВО – задания с множественным выбором ответов;
КО – задания, требующие краткого ответа;
РО – задания, требующие развернутого ответа.
Структура суммативного оценивания
Данный вариант состоит из 9 заданий, включающих вопросы с множественным
выбором ответов, с кратким и развернутым ответами.
В вопросах с множественным выбором ответов обучающийся выбирает правильный ответ из предложенных вариантов ответов.
В вопросах, требующих краткого ответа, обучающийся записывает ответ в виде
численного значения, слова или короткого предложения.
В вопросах, требующих развернутого ответа, обучающийся должен показать всю последовательность действий в решении заданий для получения максимального балла.
Оценивается способность обучающегося выбирать и применять математические приемы в ряде математических контекстов. Задание может содержать несколько структурных частей/вопросов.
Характеристика заданий суммативного оценивания
|
Раздел |
Проверяемая цель |
Уровень мыслительных навыков |
Кол. заданий* |
№ задания* |
Тип задания* |
Время на выполнение, мин* |
Балл* |
Балл за раздел |
|
Преобразования плоскости |
9.1.4.8 знать виды, композиции движений и их свойства |
Знание и понимание |
5 |
1,2,3,4 |
МВО |
6 |
4 |
20 |
|
5 |
КО |
4 |
2 |
|||||
|
9.1.4.9 строить образы фигур при симметриях, параллельном переносе, повороте; |
Применение |
1 |
6 |
КО |
8 |
3 |
||
|
9.1.4.12 строить образы различных фигур при гомотетии; |
Применение |
1 |
7 |
КО |
6 |
3 |
||
|
9.1.4.14 знать и применять признаки подобия треугольников |
Применение |
1 |
9 |
РО |
10 |
5 |
||
|
9.1.4.16 знать и применять свойство биссектрисы треугольника; |
Применение |
1 |
8 |
КО |
6 |
3 |
||
|
ИТОГО: |
|
|
9 |
|
|
40 мин |
20 |
20 |
ЗАДАНИЯ СУММАТИВНОГО ОЦЕНИВАНИЯ
1 ВАРИАНТ
|
Оценивание заданий работы |
|||||||||
|
№ задания |
1 |
2 |
3 |
4 |
5 |
6 |
7 |
8 |
9 |
|
Количество баллов |
1 |
1 |
1 |
1 |
2 |
3 |
3 |
3 |
5 |
|
Всего баллов |
20 баллов |
||||||||
-
Укажите координаты точки, симметричной точке К(-5; 9) относительно оси ординат
А) (-5; -9)
В) (5; 9)
С) (5; -9)
D) (-9; 5)
-
Какое из высказываний верное?
А) Ромб имеет две оси симметрии, это две его диагонали
В) Ромб имеет две оси симметрии, это два серединных перпендикуляра к его сторонам
С) Ромб имеет четыре оси симметрии
D) Все высказывания неверны
-
Чтобы поворот имел место, должен быть задан:
А) угол поворота α
В) центр поворота О
С) центр поворота О и угол поворота α
D) фигура
-
Т
очка О –
центр правильного шестиугольника ABCDEFКМ. Укажите образ стороны
СD при
повороте вокруг точки О по часовой стрелке на угол
1200.
А) АВ
В) ВС
С) DЕ
D) EF
-
Параллельный перенос задан формулами
=x – 2,
= y+6. Найдите образ точки А(4; -5)
при данном параллельном переносе. -
Построить треугольник А1В1С1, образованный поворотом вокруг точки В на 450 равнобедренного прямоугольного (с прямым углом В) треугольника АВС против часовой стрелки.
-
Постройте треугольник К1L1М1 гомотетичный треугольнику КLМ с коэффициентом гомотетии равным 2. Центр гомотетии – точка О.
-
В треугольнике АВС сумма сторон АВ и ВС равна 88 см, а биссектриса ВН угла между ними делит третью сторону в отношении 4:7. Найдите стороны АВ и ВС треугольника.
-
В трапеции АВСD диагонали пересекаются в точке О. Точка пересечения диагоналей трапеции делит диагональ АС на отрезки 9см и 4см. Найдите основания трапеции АD и ВС, если их разность равна 25см. Выполните чертеж по условию задачи
Схема выставления баллов
-
№
Ответ
Балл
Дополнительная информация
1
В
1
2
А
1
3
В
1
4
D
1
5
=4 –
2=21
=
-5+6=11
6
Поворот на угол 450
1
Поворот против часовой стрелки
1
Выполнение чертежа по условию задачи
1
7
Выполнен чертеж по условию задачи
1
Использован коэффициент гомотетии
1
Построена гомотетичная фигура
1
8
Выполнен чертеж по условию задачи
1
Применяется свойство биссектрисы АВ:ВС=АН:НС
1
Принимается альтернативная запись

Вводится неизвестное, составлено и решено уравнение
х: (88-х)=4:7
Запись ответа: 32 и 56
1
Принимается альтернативная запись

9
Выполнен чертеж по условию задачи
1
Доказано ∆ВОС⁓∆DОА (по двум углам)
1
9:4=(х+25) : х
1
Принимается альтернативная запись

х=20
1
ВС=20см, АD=45см
1
Всего
20
2 ВАРИАНТ
|
Оценивание заданий работы |
|||||||||
|
№ задания |
1 |
2 |
3 |
4 |
5 |
6 |
7 |
8 |
9 |
|
Количество баллов |
1 |
1 |
1 |
1 |
2 |
3 |
3 |
3 |
5 |
|
Всего баллов |
20 баллов |
||||||||
-
Укажите координаты точки, симметричной точке М(-3; 6) относительно оси ординат
А) (-3; -6)
В) (3; 6)
С) (3; -6)
D) (-6; 3)
-
Какая фигура имеет центр симметрии и ось симметрии?
А) отрезок
В) параллелограмм
С) равнобокая трапеция
D) ромб
-
Чтобы осевая симметрия имела место, что должно быть задано:
А) ось симметрии
В) центр симметрии
С) центр симметрии и ось симметрии
D) фигура
-
Т
очка О –
центр правильного шестиугольника ABCDEFКМ. Укажите образ стороны
ЕF при
повороте вокруг точки О по часовой стрелке на угол
1350.
А) АВ
В) ВС
С) DС
D) МА
-
Параллельный перенос задан формулами
=x – 1,
= y+5 Найдите образ точки А(3; -2)
при данном параллельном переносе. -
Построить треугольник А1В1С1, образованный поворотом вокруг точки В на 600 равнобедренного прямоугольного (с прямым углом В) треугольника АВС против часовой стрелки.
-
Постройте треугольник К1L1М1 гомотетичный треугольнику КLМ с коэффициентом гомотетии равным 3. Центр гомотетии – точка О.
-
В треугольнике АВС сумма сторон АВ и ВС равна 91 см, а биссектриса ВН угла между ними делит третью сторону в отношении 5:8. Найдите стороны АВ и ВС треугольника.
-
В трапеции АВСD диагонали пересекаются в точке О. Точка пересечения диагоналей трапеции делит диагональ АС на отрезки 6см и 4см. Найдите основания трапеции АD и ВС, если их разность равна 25см. Выполните чертеж по условию задачи
Схема выставления баллов
-
№
Ответ
Балл
Дополнительная информация
1
В
1
2
D
1
3
А
1
4
D
1
5
=3 –
1=21
=
-2+5=31
6
Поворот на угол 600
1
Поворот против часовой стрелки
1
Выполнение чертежа по условию задачи
1
7
Выполнен чертеж по условию задачи
1
Использован коэффициент гомотетии
1
Построена гомотетичная фигура
1
8
Выполнен чертеж по условию задачи
1
Применяется свойство биссектрисы АВ:ВС=АН:НС
1
Принимается альтернативная запись

Вводится неизвестное, составлено и решено уравнение
х:(91-х)=5:8
Запись ответа: 35 и 56
1
Принимается альтернативная запись

9
Выполнен чертеж по условию задачи
1
Доказано ∆ВОС⁓∆DОА (по двум углам)
1
6:4=(х+25) : х
1
Принимается альтернативная запись

х=50
1
ВС=50см, АD=75см
1
Всего
20
3 ВАРИАНТ
|
Оценивание заданий работы |
|||||||||
|
№ задания |
1 |
2 |
3 |
4 |
5 |
6 |
7 |
8 |
9 |
|
Количество баллов |
1 |
1 |
1 |
1 |
2 |
3 |
3 |
3 |
5 |
|
Всего баллов |
20 баллов |
||||||||
-
Укажите координаты точки, симметричной точке Р(-5; 8) относительно оси ординат
А) (-5; -8)
В) (5; 8)
С) (5; -8)
D) (-8; 5)
-
Какое из высказываний верное?
А) Прямоугольник имеет две оси симметрии, это две его диагонали
В) Прямоугольник имеет две оси симметрии, это два серединных перпендикуляра к его сторонам
С) Прямоугольник имеет четыре оси симметрии
D) Все высказывания неверные
-
Чтобы центральная симметрия имела место, что должно быть задано:
А) центр симметрии
В) ось симметрии
С) центр симметрии и ось симметрии
D) фигура
-
Т
очка О –
центр правильного шестиугольника ABCDEFКМ. Укажите образ стороны
ВС при
повороте вокруг точки О по часовой стрелке на угол
900.
А) АВ
В) DЕ
С) DС
D) МА
-
Параллельный перенос задан формулами
=x – 4,
= y+3 Найдите образ точки А(5; -1)
при данном параллельном переносе. -
Построить треугольник А1В1С1, образованный поворотом вокруг точки В на 500 равнобедренного прямоугольного (с прямым углом В) треугольника АВС против часовой стрелки.
-
Постройте треугольник К1L1М1 гомотетичный треугольнику КLМ с коэффициентом гомотетии равным 3. Центр гомотетии – точка О.
-
В треугольнике АВС разность сторон АВ и ВС равна 28, А биссектриса ВН угла между ними делит третью сторону на отрезки 43 см и 29 см. Найдите стороны АВ и ВС
-
В трапеции АВСD диагонали пересекаются в точке О. Точка пересечения диагоналей трапеции делит диагональ АС на отрезки 9см и 4см. Найдите основания трапеции АD и ВС, если их разность равна 25см. Выполните чертеж по условию задачи
Схема выставления баллов
-
№
Ответ
Балл
Дополнительная информация
1
В
1
2
В
1
3
А
1
4
В
1
5
=5 –
4=11
=
-1+3=21
6
Поворот на угол 500
1
Поворот против часовой стрелки
1
Выполнение чертежа по условию задачи
1
7
Выполнен чертеж по условию задачи
1
Использован коэффициент гомотетии
1
Построена гомотетичная фигура
1
8
Выполнен чертеж по условию задачи
1
Применяется свойство биссектрисы АВ:ВС=АН:НС
1
Принимается альтернативная запись

Вводится неизвестное, составлено и решено уравнение
(28+х):х=43:29
Запись ответа: 58 и 86
1
Принимается альтернативная запись

9
Выполнен чертеж по условию задачи
1
Доказано ∆ВОС⁓∆DОА (по двум углам)
1
9:4=(х+25) : х
1
Принимается альтернативная запись

х=20
1
ВС=20см, АD=45см
1
Всего
20
4 ВАРИАНТ
|
Оценивание заданий работы |
|||||||||
|
№ задания |
1 |
2 |
3 |
4 |
5 |
6 |
7 |
8 |
9 |
|
Количество баллов |
1 |
1 |
1 |
1 |
2 |
3 |
3 |
3 |
5 |
|
Всего баллов |
20 баллов |
||||||||
-
Укажите координаты точки, симметричной точке В(-7; 3) относительно оси ординат
А) (-7; -3)
В) (7; 3)
С) (7; -3)
D) (-3; 7)
-
Какая фигура имеет центр симметрии и ось симметрии?
А) прямоугольный треугольник
В) параллелограмм
С) равнобокая трапеция
D) квадрат
-
Чтобы поворот имел место, должен быть задан:
А) угол поворота α
В) центр поворота О
С) центр поворота О и угол поворота α
D) фигура
-
Т
очка О –
центр правильного шестиугольника ABCDEFКМ. Укажите образ стороны
АВ при
повороте вокруг точки О по часовой стрелке на угол
900.
А) АВ
В) DЕ
С) DС
D) МА
-
Параллельный перенос задан формулами
=x – 6,
= y+2 Найдите образ точки А(8; -1)
при данном параллельном переносе. -
Построить треугольник А1В1С1, образованный поворотом вокруг точки В на 700 равнобедренного прямоугольного (с прямым углом В) треугольника АВС против часовой стрелки.
-
Постройте треугольник К1L1М1 гомотетичный треугольнику КLМ с коэффициентом гомотетии равным 2. Центр гомотетии – точка О.
-
В треугольнике АВС разность сторон АВ и ВС равна 18 см, а биссектриса ВН угла между ними делит третью сторону на отрезки 28 см и 12 см. Найдите стороны АВ и ВС
-
В трапеции АВСD диагонали пересекаются в точке О. Точка пересечения диагоналей трапеции делит диагональ АС на отрезки 8см и 4см. Найдите основания трапеции АD и ВС, если их разность равна 25см. Выполните чертеж по условию задачи
Схема выставления баллов
-
№
Ответ
Балл
Дополнительная информация
1
В
1
2
D
1
3
В
1
4
С
1
5
=8 –
6=21
=
-1+2=11
6
Поворот на угол 700
1
Поворот против часовой стрелки
1
Выполнение чертежа по условию задачи
1
7
Выполнен чертеж по условию задачи
1
Использован коэффициент гомотетии
1
Построена гомотетичная фигура
1
8
Выполнен чертеж по условию задачи
1
Применяется свойство биссектрисы АВ:ВС=АН:НС
1
Принимается альтернативная запись

Вводится неизвестное, составлено и решено уравнение
(18+х):х=28:12
Запись ответа: 13,5 см и 31,5 см
1
Принимается альтернативная запись

9
Выполнен чертеж по условию задачи
1
Доказано ∆ВОС⁓∆DОА (по двум углам)
1
8:4=(х+25) : х
1
Принимается альтернативная запись

х=25
1
ВС=20см, АD=50см
1
Всего
20
СПЕЦИФИКАЦИЯ СУММАТИВНОГО ОЦЕНИВАНИЯ ЗА 4 ЧЕТВЕРТЬ
Обзор суммативного оценивания
Продолжительность – 40 минут
Количество баллов – 20
Типы заданий:
МВО – задания с множественным выбором ответов;
КО – задания, требующие краткого ответа;
РО – задания, требующие развернутого ответа.
Структура суммативного оценивания
Данный вариант состоит из 6 заданий, включающих вопросы с множественным
выбором ответов, с кратким и развернутым ответами.
В вопросах с множественным выбором ответов обучающийся выбирает правильный ответ из предложенных вариантов ответов.
В вопросах, требующих краткого ответа, обучающийся записывает ответ в виде
численного значения, слова или короткого предложения.
В вопросах, требующих развернутого ответа, обучающийся должен показать всю
последовательность действий в решении заданий для получения максимального балла.
Оценивается способность обучающегося выбирать и применять математические приемы в ряде математических контекстов. Задание может содержать несколько структурных частей/вопросов
Характеристика заданий суммативного оценивания
|
Раздел |
Проверяемая цель |
Уровень мыслительных навыков |
Кол. заданий* |
№ задания* |
Тип задания* |
Время на выполнение, мин* |
Балл* |
Балл за раздел |
|
Окружность. Многоугольники |
9.1.2.2 Знать определение и свойства правильных многоугольников |
Знание и понимание |
1 |
1 |
МВО |
2 |
1 |
20 |
|
9.1.1.1 Выводить и применять формулу длины дуги |
Применение |
1 |
2 |
МВО |
2 |
1 |
||
|
9.1.2.1 Знать и применять свойства и признаки вписанных и описанных четырёхугольников |
Применение |
1 |
3 |
КО |
6 |
4 |
||
|
9.1.2.5 Знать и применять формулы, связывающие стороны, периметр, площадь правильного многоугольника и радиусы вписанной и описанной окружностей правильного многоугольника |
Применение |
1 |
4 |
РО |
8 |
4 |
||
|
9.1.2.6 Знать и применять свойства медиан треугольника |
Применение |
1 |
5 |
РО |
10 |
5 |
||
|
9.1.1.2 Выводить и применять формулу площади сектора, сегмента |
Применение |
1 |
6 |
РО |
12 |
5 |
||
|
ИТОГО: |
|
|
|
40 |
20 |
20 |
||
ЗАДАНИЯ СУММАТИВНОГО ОЦЕНИВАНИЯ
1 ВАРИАНТ
|
Оценивание заданий работы |
||||||
|
№ задания |
1 |
2 |
3 |
4 |
5 |
6 |
|
Количество баллов |
1 |
1 |
4 |
4 |
5 |
5 |
|
Всего баллов |
20 баллов |
|||||
1. Найдите количество сторон правильного многоугольника, если сумма всех его внутренних углов равна 1440°.
А) 8 В) 9 С) 10 D) 12
2. Дана окружность радиуса 10 см . Чему равна длина ее дуги с градусной мерой 90°?
А) 4 см В) 6 см С) 8 см D) 5 см
3. Три угла четырехугольника, вписанного в окружность, взятые в порядке следования, относятся как 4 : 3 : 5. Найдите углы четырехугольника.
4. В окружность вписан квадрат со стороной 3 √2 см. Найдите площадь правильного треугольника, описанного около этой окружности.
5. Основание АВ треугольника АВС равно 26 см. Медианы АК и ВМ, проведенные к боковым сторонам, равны соответственно 30 см и 39 см. Найдите площадь треугольника АВС.

6. На рисунке изображен сектор круга с центром в точке O и радиусом, равным 4 см. ОD = 2 см и DOС 45°. Найдите площадь закрашенной области.

Схема выставления баллов
1 вариант
|
№ |
Ответ |
Балл |
Дополнительная информация |
|
1 |
С |
1 |
|
|
2 |
D |
1 |
|
|
3 |
4х + 5х = 180° |
1 |
|
|
х = 20° |
1 |
|
|
|
80°, 60°, 100° |
1 |
|
|
|
180° – 60° = 120° |
1 |
|
|
|
4 |
|
1 |
|
|
|
1 |
Принимается альтернативное решение |
|
|
|
1 |
|
|
|
|
1 |
|
|
|
5 |
АО=2х, ОК=х 2х х 30 или ВО=2х,ОМ=х 2х х 39 |
1 |
Применяет свойство медиан треугольника |
|
АО = 20 см и ВО = 26 см |
1 |
|
|
|
Полупериметр |
1 |
|
|
|
|
1 |
|
|
|
SABC 3240 720 см2 |
1 |
Применяет свойство медиан треугольника |
|
|
6 |
|
1 |
|
|
DC=DOsin450 |
1 |
Принимается альтернативное решение |
|
|
|
1 |
|
|
|
|
1 |
|
|
|
|
1 |
|
|
|
Итого: |
20 |
|
|
2 ВАРИАНТ
|
Оценивание заданий работы |
||||||
|
№ задания |
1 |
2 |
3 |
4 |
5 |
6 |
|
Количество баллов |
1 |
1 |
4 |
4 |
5 |
5 |
|
Всего баллов |
20 баллов |
|||||
1. Найдите количество сторон правильного многоугольника, если сумма всех его внутренних углов равна 1980°.
А) 18 В) 13 С) 12 D) 11
2. Дана окружность радиуса 12 см . Чему равна длина ее дуги с градусной мерой 90°?
А) 4 см В) 6 см С) 8 см D) 12 см
3. Три угла четырехугольника, вписанного в окружность, взятые в порядке следования, относятся как 2 : 6 : 7. Найдите углы четырехугольника.
4. В окружность вписан квадрат со стороной 4√2 см. Найдите площадь правильного треугольника, описанного около этой окружности.
5. Основание АВ треугольника АВС равно 26 см. Медианы АК и ВМ, проведенные к боковым сторонам, равны соответственно 30 см и 39 см. Найдите площадь треугольника АВС.

6. На рисунке изображен сектор круга с центром в точке O и радиусом, равным 8 см. ОD = 2 см и DOС 45°. Найдите площадь закрашенной области.

Схема выставления баллов
2 вариант
|
№ |
Ответ |
Балл |
Дополнительная информация |
|
1 |
B |
1 |
|
|
2 |
B |
1 |
|
|
3 |
2х + 7х = 180° |
1 |
|
|
х = 20° |
1 |
|
|
|
40°, 120°, 140° |
1 |
|
|
|
180° – 120° = 60° |
1 |
|
|
|
4 |
|
1 |
|
|
|
1 |
Принимается альтернативное решение |
|
|
|
1 |
|
|
|
|
1 |
|
|
|
5 |
АО=2х, ОК=х 2х х 30 или ВО=2х,ОМ=х 2х х 39 |
1 |
Применяет свойство медиан треугольника |
|
АО = 20 см и ВО = 26 см |
1 |
|
|
|
Полупериметр |
1 |
|
|
|
|
1 |
|
|
|
SABC 3240 720 см2 |
1 |
Применяет свойство медиан треугольника |
|
|
6 |
|
1 |
|
|
DC=DOsin450 |
1 |
Принимается альтернативное решение |
|
|
|
1 |
|
|
|
|
1 |
|
|
|
|
1 |
|
|
|
Итого: |
20 |
|
|
3 ВАРИАНТ
|
Оценивание заданий работы |
||||||
|
№ задания |
1 |
2 |
3 |
4 |
5 |
6 |
|
Количество баллов |
1 |
1 |
4 |
4 |
5 |
5 |
|
Всего баллов |
20 баллов |
|||||
1. Найдите количество сторон правильного многоугольника, если сумма всех его внутренних углов равна 1440°.
А) 8 В) 9 С) 10 D) 12
2. Дана окружность радиуса 12 см . Чему равна длина ее дуги с градусной мерой 90°?
А) 4 см В) 6 см С) 8 см D) 12 см
3. Сумма углов выпуклого многоугольника на 7200больше суммы его внешних углов, взятых по одному при каждой вершине. Найдите число сторон этого многоугольника
4. В окружность вписан квадрат со стороной 4 √2 см. Найдите площадь правильного треугольника, описанного около этой окружности.
5. Основание АВ треугольника АВС равно 26 см. Медианы АК и ВМ, проведенные к боковым сторонам, равны соответственно 30 см и 39 см. Найдите площадь треугольника АВС.

6. На рисунке изображен сектор круга с центром в точке O и радиусом, равным 6 см. ОD = 2 см и DOС 45°. Найдите площадь закрашенной области.

Схема выставления баллов
3 вариант
|
№ |
Ответ |
Балл |
Дополнительная информация |
|
1 |
С |
1 |
|
|
2 |
B |
1 |
|
|
3 |
180(n-2)=3600+7200 |
1 |
|
|
n-2=10800:1800 |
1 |
|
|
|
n-2=6 |
1 |
|
|
|
n=8 |
1 |
|
|
|
4 |
|
1 |
|
|
|
1 |
Принимается альтернативное решение |
|
|
|
1 |
|
|
|
|
1 |
|
|
|
5 |
АО=2х, ОК=х 2х х 30 или ВО=2х,ОМ=х 2х х 39 |
1 |
Применяет свойство медиан треугольника |
|
АО = 20 см и ВО = 26 см |
1 |
|
|
|
Полупериметр |
1 |
|
|
|
|
1 |
|
|
|
SABC 3240 720 см2 |
1 |
Применяет свойство медиан треугольника |
|
|
6 |
|
1 |
|
|
DC=DOsin450 |
1 |
Принимается альтернативное решение |
|
|
|
1 |
|
|
|
|
1 |
|
|
|
|
1 |
|
|
|
Итого: |
20 |
|
|
4 ВАРИАНТ
|
Оценивание заданий работы |
||||||
|
№ задания |
1 |
2 |
3 |
4 |
5 |
6 |
|
Количество баллов |
1 |
1 |
4 |
4 |
5 |
5 |
|
Всего баллов |
20 баллов |
|||||
1. Найдите количество сторон правильного многоугольника, если сумма всех его внутренних углов равна 1440°.
А) 8 В) 9 С) 10 D) 12
2. Дана окружность радиуса 12 см . Чему равна длина ее дуги с градусной мерой 60°?
А) 4 см В) 6 см С) 8 см D) 12 см
3. Сумма углов выпуклого многоугольника на 9000больше суммы его внешних углов, взятых по одному при каждой вершине. Найдите число сторон этого многоугольника
4. В окружность вписан квадрат со стороной 8√ 2 см. Найдите площадь правильного треугольника, описанного около этой окружности.
5. Основание АВ треугольника АВС равно 26 см. Медианы АК и ВМ, проведенные к боковым сторонам, равны соответственно 30 см и 39 см. Найдите площадь треугольника АВС.

6. На рисунке изображен сектор круга с центром в точке O и радиусом, равным 8 см. ОD = 2 см и DOС 45°. Найдите площадь закрашенной области.

Схема выставления баллов
4 вариант
|
№ |
Ответ |
Балл |
Дополнительная информация |
|
1 |
С |
1 |
|
|
2 |
А |
1 |
|
|
3 |
180(n-2)=3600+9000 |
1 |
|
|
n-2=12600:1800 |
1 |
|
|
|
n-2=7 |
1 |
|
|
|
n=9 |
1 |
|
|
|
4 |
|
1 |
|
|
|
1 |
Принимается альтернативное решение |
|
|
|
1 |
|
|
|
|
1 |
|
|
|
5 |
АО=2х, ОК=х 2х х 30 или ВО=2х,ОМ=х 2х х 39 |
1 |
Применяет свойство медиан треугольника |
|
АО = 20 см и ВО = 26 см |
1 |
|
|
|
Полупериметр |
1 |
|
|
|
|
1 |
|
|
|
SABC 3240 720 см2 |
1 |
Применяет свойство медиан треугольника |
|
|
6 |
|
1 |
|
|
DC=DOsin450 |
1 |
Принимается альтернативное решение |
|
|
|
1 |
|
|
|
|
1 |
|
|
|
|
1 |
|
|
|
Итого: |
20 |
|
|
Форма анализа суммативного оценивания за учебный период (четверть)
_________________________________________________
(наименование организации образования)
Сведения об анализе по итогам проведения суммативного оценивания
за ______ четверть по предмету _______________
Класс: __________
Количество учащихся: __________________
Педагог: ____________________________________________________________________
Цель: Анализ результатов СОР и СОЧ
|
Предмет |
Писал |
Макс балл |
Процентное содержание баллов суммативного оценивания |
% качества |
|||
|
низкий |
средний |
высокий |
|||||
|
0-39% |
40-84% |
85-100% |
|||||
|
1 |
2 |
3 |
4 |
5 |
6 |
7 |
|
|
|
|
|
Количество учеников |
|
|||
|
СОР 1 |
|
|
|
|
|
|
|
|
СОР 2 |
|
|
|
|
|
|
|
|
СОЧ |
|
|
|
|
|
|
|
|
|
Достигнутые цели |
Цели, вызвавшие затруднения |
|||||
|
СОР 1 |
|
|
|||||
|
СОР 2 |
|
|
|||||
|
СОЧ |
|
|
|||||
1.Анализ СОР и СОЧ показал следующий уровень знаний у обучающихся:
высокий (В): 85-100% (перечисляем ФИ обучающихся) –
средний (С): 40-84% (перечисляем ФИ обучающихся) -
низкий (Н): 0-39% (перечисляем ФИ обучающихся) –
2.Перечень затруднений, которые возникли у обучающихся при выполнении заданий
__________________________________________________________________________________________________________________________________________________________________________________________________________________________________________________________________________________________________________________________________________________________________________________________________________
3.Причины, указанных выше затруднений у обучающихся при выполнении заданий
__________________________________________________________________________________________________________________________________________________________
4.Планируемая коррекционная работа: ______________________________________________________________________________
Дата_______________ФИО(при наличии) педагога ____________________
Список литературы
-
Сборник заданий по суммативному оцениванию по учебным предметам основного среднего уровня. Сборник заданий. Вторая часть – Нур-Султан: АО имени И. Алтынсарина, 2019. – 300 с.
-
Методические рекомендации по составлению рубрик согласно целям обучения по учебным предметам 5-9 классов для предоставления обратной связи. - г.Нур-Султан: НАО имени И. Алтынсарина, 2019. - 204 с.
3. Методические рекомендации по составлению дифференцированных заданий СОР и СОЧ по учебным предметам естественно-математического направления 5-9 классов в условиях инклюзии. Методические рекомендации – Нур-Султан: НАО имени И. Алтынсарина, 2020. – 144 с.
4. Методические рекомендации по изучению учебного предмета "математика" (5-9классы) в рамках обновления содержания образования.-Астана, НАО имени И. Алтынсарина, 2017
5. Руководство по критериальному оцениванию для учителей основной и общей средней школ:Учебно-методическое пособие под ред. О.И. Можаевой, А.С. Шилибековой- Астана, АОО "Назарбаев Интеллектуальные школы", 2016
6. Руководство для учителя, ЦПМ АОО " Назарбаев Интеллектуальные школы" 2018
7. Сборник заданий и упражнений. Учебные цели согласно таксономии Блума / А.Е. Мурзагалиева, Б.М. Утегенова. – Астана: АОО «Назарбаев Интеллектуальные школы» Центр педагогического мастерства, 2015. – 54 с.
8. Алгебра: Учебная программа для 7-9 классов уровня основного среднего образования. – Астана: НАО им. И.Алтынсарина, 2013. – 18 с.
9. Геометрия: Учебная программа для 7-9 классов уровня основного среднего образования. – Астана: НАО им. И.Алтынсарина, 2013. – 20 с.

|
|
1 |
жүктеу мүмкіндігіне ие боласыз
Бұл материал сайт қолданушысы жариялаған. Материалдың ішінде жазылған барлық ақпаратқа жауапкершілікті жариялаған қолданушы жауап береді. Ұстаз тілегі тек ақпаратты таратуға қолдау көрсетеді. Егер материал сіздің авторлық құқығыңызды бұзған болса немесе басқа да себептермен сайттан өшіру керек деп ойласаңыз осында жазыңыз
алгебра геометрия 9 класс сор и соч
алгебра геометрия 9 класс сор и соч
|
В помощь учителю математики Сборник работ для суммативного оценивания по алгебре и геометрии 9 класс |
2020 |

|
|

|
ТВГ учителей математики |
В помощь учителю математики Сборник работ для суммативного оценивания по алгебре и геометрии 9 класс |
Содержание
|
Введение |
|
Алгебра |
|
Суммативное оценивание за раздел «Уравнения, неравенства с двумя переменными и их системы» |
|
Суммативное оценивание за раздел «Элементы комбинаторики » |
|
Суммативное оценивание за раздел «Последовательности» |
|
Суммативное оценивание за раздел «Тригонометрия» |
|
Суммативное оценивание за раздел «Тригонометрия» |
|
Суммативное оценивание за раздел «Элементы теории вероятностей» |
|
Суммативное оценивание за 1 четверть |
|
Суммативное оценивание за 2 четверть |
|
Суммативное оценивание за 3 четверть |
|
Суммативное оценивание за 4 четверть |
|
Геометрия |
|
Суммативное оценивание за раздел «Векторы на плоскости» |
|
Суммативное оценивание за раздел «Преобразования плоскости» |
|
Суммативное оценивание за раздел «Решение треугольников» |
|
Суммативное оценивание за раздел «Окружность. Многоугольники» |
|
Суммативное оценивание за 1 четверть |
|
Суммативное оценивание за 2 четверть |
|
Суммативное оценивание за 3 четверть |
|
Суммативное оценивание за 4 четверть |
|
Форма анализа суммативного оценивания за учебный период (четверть) |
|
Список литературы |
|
Рецензия |
Рецензент - Даниярова Ж.К. кандидат педагогических наук, доцент кафедры ЭМиИТ ИнЕУ
Авторы составители суммативного оценивания:
Руководитель группы – Середкин В.П. учитель математики, педагог-мастер, Павлодарская область, Павлодарский район, КГУ Чернорецкая СОШ № 1.
Янь-Юй З.К., учитель математики, высшая категория, Алматинская область, Панфиловский район город Жаркент, КГУ СОШ имени Жамбыла.
Белгибаева Н. Б. – учитель математики, высшая категория, город Кызылорда, КГУ средняя школа № 6 имени М.А.Сужикова
Ким Н.А. – учитель математики, высшая категория, Алматинская область, Каратальский район, КГУ имени Р. Кошкарбаева
Закиряева Л.Ю. – учитель математики, первая категория, Акмолинская область, Буландынский район, КГУ Аккайинская ООШ
Бритвак Л.И. – учитель математики, первая категория, Северо-Казахстанская область, Тайыншинский район, КГУ "Краснополянская СШ"
Бредихина Н.В. – учитель математики и информатики, первая категория, Северо-Казахстанская область, район Шал акына КГУ "Афанасьевская средняя школа"
Айтмуханова Ж.А. -учитель математики, педагог-эксперт, Акмолинская область, город Кокшетау, КГУ "Средняя школа № 4".
Бегимова А.Б. - учитель математики, педагог-эксперт, Павлодарская область, г. Павлодар, КГУ СОШ № 40
Щадрина Н.М. – учитель математики, педагог-эксперт, Костанайская область, Денисовский район, с. Некрасовка КГУ Денисовская СОШ № 1
Маркель Т.П. - учитель математики, педагог-эксперт, Северо-Казахстанская область, район им. М.Жумабаева, КГУ ,,Таманский комплекс школа-ясли-сад"
Рубцова В.В – учитель математики, педагог-эксперт, КГУ Новопокровская ОШ, отдела образования Узункольского района, управления образования Костанайской области
Сыздыков М.А. – учитель математики, педагог-модератор, Павлодарская область, Железинский район, КГУ "Новомирская общеобразовательная средняя школа" отдела образования акимата Железинского района.
ВВЕДЕНИЕ
Данный сборник составлен в помощь учителю при планировании, организации и проведении суммативного оценивания за раздел и четверть по предметам алгебра и геометрия для учащихся 9 классов.
Сборник работ по суммативному оцениванию составлен на основе ГОСО, типовой учебной программы и учебного плана. Данные работы позволяют учителю определить уровень достижения учащимися запланированных целей обучения.
Все работы сборника разработаны учителями-практиками на основе своих наблюдений и опыта работы в рамках обновленного содержания образования
В курсе алгебры и геометрии 9 класса в соответствии с учебной программой и долгосрочным планом изучаются следующие разделы: алгебра - «Уравнения, неравенства с двумя переменными и их системы», «Элементы комбинаторики», «Последовательности», «Тригонометрия», «Элементы теории вероятностей», геометрии - «Векторы на плоскости», «Преобразования плоскости», «Решение треугольников», «Окружность. Многоугольники». Каждая из представленных работ для проведения суммативного оценивания за раздел и суммативного оценивание за четверть, состоит из четырех вариантов. Количество вариантов, используемое при проведение суммативного оценивания каждый учитель определяет самостоятельно.
ЗА РАЗДЕЛ «УРАВНЕНИЯ, НЕРАВЕНСТВА С ДВУМЯ ПЕРЕМЕННЫМИ
И ИХ СИСТЕМЫ»
|
Тема |
Нелинейные уравнения с двумя переменными и их системы. Неравенства с двумя переменными. Системы нелинейных неравенств с двумя переменными |
|
Цель обучения |
9.2.2.2 Решать системы нелинейных уравнений с двумя переменными 9.2.3.1 Составлять математическую модель по условию задачи 9.4.2.1Решать текстовые задачи с помощью систем уравнений 9.2.2.3 Решать неравенства с двумя переменными
|
|
Критерий оценивания |
Обучающийся Решает системы нелинейных уравнений с двумя переменными Составляет системы уравнений для решения текстовых задач Решает неравенства с двумя переменными Решает системы нелинейных неравенств с двумя переменными |
|
Уровень мыслительных навыков |
Применение |
|
Время выполнения |
25 минут |
ЗАДАНИЯ
|
Оценивание заданий работы |
|||||
|
№ задания |
1 |
2 |
3 |
4 |
5 |
|
Количество баллов |
4 |
3 |
2 |
2 |
4 |
|
Всего баллов |
15 баллов |
||||
ВАРИАНТ 1
-
Решите систему уравнений:
![]()
-
Решите задачу с помощью системы уравнений.
Расстояние между городами А и В равно 120 км. Из города А в город В вышел автобус, а через 15 мин – легковая машина, скорость которой больше скорости автобуса на 12 км/ч. Легковая машина пришла в город В на 5 мин раньше, чем туда прибыл автобус. Найдите скорости автобуса и легковой машины.
-
Изобразите на плоскости множество точек, заданных неравенством
![]()
-
Координаты каких из точек являются решением неравенства у ≤ -х2 + 81;
А (4; -2); В (9; 0); С (-10; 1); D (11; -11).
-
Изобразите множество точек, заданных системой неравенств:
![]()
ВАРИАНТ 2
-
Решите систему уравнений:
![]()
-
Решите задачу с помощью системы уравнений.
Из города А в город В одновременно выехали два автомобилиста. Первый проехал с постоянной скоростью весь путь. Второй проехал первую половину пути со скоростью, меньшей скорости первого на 15 км/ч, а вторую половину пути – со скоростью 90 км/ч, в результате чего прибыл в В одновременно с первым автомобилистом. Найдите скорость первого автомобилиста, если известно, что она больше 54 км/ч. Ответ дайте в км/ч
-
Изобразите на плоскости множество точек, заданных неравенством
![]()
-
Координаты каких из точек являются решением неравенства у ≤ -х2 + 81;
А (4; -2); В (9; 0); С (-10; 1); D (11; -11).
-
Изобразите множество точек, заданных системой неравенств:
![]()
ВАРИАНТ 3
-
Решите систему уравнений:
![]()
-
Решите задачу с помощью системы уравнений.
Велосипедист и пешеход вышли из пунктов А и В, расстояние между которыми 12 км, и встретились через 20 мин. Пешеход прибыл в пункт А на 1ч 36 мин позже, чем велосипедист в пункт В. Найти скорость пешехода. Ответ дайте в км/ч.
-
Изобразите на плоскости множество точек, заданных неравенством
![]()
-
Координаты каких из точек являются решением неравенства у ≤ -х2 + 12;
A (-1; 10); B (3; 7); C (-5; 0); D (-3; 4).
-
Изобразите множество точек, заданных системой неравенств:
![]()
ВАРИАНТ 4
-
Решите систему уравнений:
![]()
-
Решите задачу с помощью системы уравнений.
Расстояние между пристанями A и B равно 120 км. Из A в B по течению реки отправился плот, а через час вслед за ним отправилась яхта, которая, прибыв в пункт B, тотчас повернула обратно и возвратилась в A. К этому времени плот прошел 24 км. Найдите скорость яхты в неподвижной воде, если скорость течения реки равна 2 км/ч. Ответ дайте в км/ч.
-
Изобразите на плоскости множество точек, заданных неравенством
![]()
-
Координаты каких из точек являются решением неравенства у ≤ -х2 + 12;
A (-1; 10); B (3; 7); C (-5; 0); D (-3; 4).
-
Изобразите множество точек, заданных системой неравенств:
![]()
-
Критерий оценивания
№
задания
Дескриптор
Балл
Обучающийся
Применяет методы
решения систем нелинейных уравнений с двумя переменными
1
выражает одну переменную через другую;
1
использует метод подстановки;
1
решает полученное уравнение;
1
находит решения системы уравнений;
1
Составляет системы уравнений для решения текстовых задач
2
записывает уравнение, выражая одну
скорость через другую;
1
составляет систему уравнений, используя
разницу во времени;
1
выбирает корни в соответствии с условием задачи;
1
Решает неравенства с двумя переменными
3
строит в системе координат кривую,
заданную в условии;
1
выделяет часть плоскости, соответствующую знаку неравенства;
1
Установление принадлежности точек решению неравенства
4
Усвоение понятия решения неравенств с двумя переменными
1
Совмещение решений неравенств
Выбор ответа
1
Решает системы нелинейных неравенств с двумя переменными.
5
строит в системе координат кривую, заданную первым уравнением системы;
1
строит в системе координат кривую, заданную вторым уравнением системы;
1
изображает множество решений каждого из
данных неравенств;
1
показывает пересечение множеств решений
неравенств.
1
Итого:
15
РУБРИКА ДЛЯ ПРЕДОСТАВЛЕНИЯ ИНФОРМАЦИИ
РОДИТЕЛЯМ
ПО ИТОГАМ СУММАТИВНОГО ОЦЕНИВАНИЯ ЗА РАЗДЕЛ
«УРАВНЕНИЯ, НЕРАВЕНСТВА С ДВУМЯ ПЕРЕМЕННЫМИ И ИХ СИСТЕМЫ»
ФИ ОБУЧАЮЩЕГОСЯ___________________________________________________________
|
Критерий оценивания |
Уровень учебных достижений |
||
|
Низкий |
Средний |
Высокий |
|
|
Применяет методы решения систем нелинейных уравнений с двумя переменными |
Затрудняется в выборе методов решения систем уравнений |
Выбирает способ решения системы уравнений, допускает ошибки в вычислениях |
Находит решение уравнений системы |
|
Составляет системы уравнений для решения текстовых задач |
Затрудняется в составлении системы уравнений по условию задачи |
Допускает ошибки в преобразованиях отдельных математических выражений / в интерпретации ответа |
Составляет систему уравнений по условию задачи и находит решение задачи |
|
Решает неравенства переменными с двумя |
Затрудняется в использовании методов решения неравенств с двумя переменными |
Выполняет построение кривых на плоскости, допускает ошибки при выборе соответствующей области для заданного неравенства |
Изображает неравенствам с переменными по условию решение двумя заданному |
|
Решает системы нелинейных неравенств с двумя переменными |
Затрудняется в использовании методов решения систем нелинейных неравенств с двумя переменными. |
Выполняет построение кривых на плоскости, допускает ошибки при нахождении множеств решений для заданных неравенств |
Изображает решение системы неравенств по заданным условиям |
СУММАТИВНОЕ ОЦЕНИВАНИЕ
ЗА РАЗДЕЛ «ЭЛЕМЕНТЫ КОМБИНАТОРИКИ»
|
Тема |
Основные понятия и правила комбинаторики (правила суммы и произведения). Решение задач с использованием формул комбинаторики Бином Ньютона и его свойства |
|
Цель обучения |
9.3.1.4 Знать формулы комбинаторики для вычисления числа перестановок, размещений, сочетания без повторений 9.3.1.6 Знать и применять формулу бинома Ньютона и его свойства 9.3.1.5 Решать задачи, применяя формулы комбинаторики, для вычисления числа перестановок, размещений, сочетания без повторений 9.3.1.1 Знать правила комбинаторики (правила суммы и произведения) |
|
Критерий оценивания |
Применяет формулы комбинаторики (формулы число перестановок, размещений, сочетания без повторений) для преобразований выражений Использует формулу бинома Ньютона для нахождения биномиального разложения Решает задачи, используя формулы комбинаторики для вычисления числа перестановок, размещений, сочетания без повторений Решает задачи, используя правила комбинаторики |
|
Уровень мыслительных навыков |
Применение |
|
Время выполнения |
25 минут |
ЗАДАНИЯ
|
Оценивание заданий работы |
|||
|
№ задания |
1 |
2 |
3 |
|
Количество баллов |
4 |
5 |
6 |
|
Всего баллов |
15 баллов |
||
ВАРИАНТ 1
1. а)
Вычислите:
.
b) Сколько существует способов из 15 спортсменов отобрать команду, в которую будет входить один командир команды и пять игроков.
2. a) Найдите первые три слагаемых в биномиальном разложении при возрастании степени a и запишите коэффициент при a:
1) (2 - a)6
2) (3+ 2a)6
b) Используя результаты предыдущих действий, найдите коэффициент при a в биномиальном разложении [(2 - a)(3 + 2a)]6 .
3. Предприятие может предоставить работу по одной специальности 4 женщинами, по другой - 6 мужчинам, по третьей - 3 работникам независимо от пола. Сколькими способами можно заполнить вакантные места, если имеются 14 претендентов: 6 женщин и 8 мужчин?
ВАРИАНТ 2
-
a) Вычислите:

b) Сколькими способами можно распределить между 8 спортсменами три призовых места.
-
a) Найдите первые три слагаемых в биномиальном разложении при возрастании степени х и запишите коэффициент при х:
1) (3x +1)5
2) (1- x)5
b) Используя результаты предыдущих действий, найдите коэффициент при х в биномиальном разложении [(3x +1)(1 - x)]5 .
3. Асия собрала цветы: 9 ромашек и 12 незабудок. Сколькими способами можно составить букет из 8 цветов, если:
а) в букете 6 ромашки и 4 незабудки;
b) в букете как минимум должны быть 3 незабудки?
ВАРИАНТ 3
-
a) Вычислите:
- 
b) Сколько существует способов из 9 спортсменов отобрать команду, в которую будет входить один командир команды и пять игроков.
2. a) Найдите первые три слагаемых в биномиальном разложении при возрастании степени z и запишите коэффициент при z:
1) (4 z)6
2) (2 z)6
b) Используя результаты предыдущих действий, найдите коэффициент при z в биномиальном разложении [(4 +z)(2 - z)]6 .
3. У Васи дома живут 4 кота.
а) сколькими способами можно рассадить котов
по углам комнаты?
b) сколькими способами
Вася может взять на руки двух котов (одного на левую, другого – на
правую)?
ВАРИАНТ 4
-
a) Вычислите:
–

b) Сколькими способами можно распределить между 13 спортсменами три призовых места.
-
a) Найдите первые три слагаемых в биномиальном разложении при возрастании степени m и запишите коэффициент при m:
1) (1 2m)7
2) (3 2m)7
b) Используя результаты предыдущих действий, найдите коэффициент при m в биномиальном разложении [(1 -2m)(3 + 2m)]7 .
3. В лифт 12-этажного дома сели 3 пассажира. Каждый независимо от других с одинаковой вероятностью может выйти на любом (начиная со 2-го) этаже. Сколькими способами:
a) пассажиры могут
выйти на одном и том же этаже (порядок выхода не имеет
значения);
b) два человека могут
выйти на одном этаже, а третий – на другом;
|
Критерий оценивания |
№ задани я |
Дескриптор |
Балл |
|
Обучающийся |
|||
|
Применяет формулы комбинаторики (формулы числа перестановок, размещений, сочетания без повторений) для преобразований выражений |
1а |
использует формулу числа размещений; |
1 |
|
использует формулу числа сочетаний и находит разность; |
1 |
||
|
1b |
Использует формулу числа перестановок; |
1 |
|
|
Сокращает выражениеи записывает ответ; |
1 |
||
|
Использует формулу бинома Ньютона для нахождения биномиального разложения |
2a |
использует формулу бинома Ньютона; |
1 |
|
Находит коэффициент при х биномиального разложения первого выражения; |
1 |
||
|
находит коэффициент при x биномиального разложения второго выражения; |
1 |
||
|
2b |
умножает результаты биномиальных разложений для нахождения требуемого коэффициента; |
1 |
|
|
находит коэффициент при х выражения [(2 x)(1 2x)]6 ; |
1 |
||
|
Решает задачи, используя формулы комбинаторики для вычисления числа перестановок, размещений, сочетания без повторений |
3a |
Использует формулу числа сочетаний |
1 |
|
использует правило произведения и находит ответ; |
1 |
||
|
Решает задачи, используя правила комбинаторики |
3b |
Использует формулу числа сочетаний; |
1 |
|
использует правило произведения; |
1 |
||
|
использует правило суммы; |
1 |
||
|
выполняет вычисления и находит ответ. |
1 |
||
|
Итого: |
15 |
||
РУБРИКА ДЛЯ ПРЕДОСТАВЛЕНИЯ
ИНФОРМАЦИИ РОДИТЕЛЯМ
ПО ИТОГАМ СУММАТИВНОГО ОЦЕНИВАНИЯ
РАЗДЕЛ «ЭЛЕМЕНТЫ КОМБИНАТОРИКИ»
ФИ ОБУЧАЮЩЕГОСЯ _________________________________________________________
|
Критерий оценивания |
Уровень учебных достижений |
||
|
Низкий |
Средний |
Высокий |
|
|
Применяет формулы комбинаторики (формулы числа перестановок, размещений, сочетания без повторений) для преобразований выражений |
Затрудняется в применении формул числа перестановок/ размещений /сочетаний без повторений для преобразований выражений |
Допускает ошибки в применении формул числа перестановок / размещений / сочетаний без повторений для преобразований выражений |
Применяет формулы комбинаторики для вычисления значения и преобразования выражений |
|
Использует формулу бинома Ньютона для нахождения биномиального разложения |
Затрудняется в применении формулы бинома Ньютона для нахождения биномиального разложения |
Использует формулу бинома Ньютона, находит коэффициенты в простых выражениях, допускает ошибки в нахождении коэффициента в произведении выражений / вычислительные ошибки |
Применяет формулу бинома Ньютона для нахождения биномиального разложения |
|
Решает задачи, используя формулы комбинаторики для вычисления числа перестановок, размещений, сочетания без повторений |
Затрудняется в применении формул комбинаторики для вычисления числа перестановок/ размещений/ сочетания без повторений при решении задач |
Допускает вычислительные ошибки в применении формул числа сочетаний /перестановок/ размещений без повторений |
Решает задачи на применение формул комбинаторики для вычисления числа перестановок, размещений, сочетания без повторений |
|
Решает задачи, используя правила комбинаторики |
Затрудняется в применении правил произведения /суммы при решении задач |
Допускает вычислительные ошибки в применении правила суммы / произведения |
Решает задачи на применение правил комбинаторики |
СУММАТИВНОЕ ОЦЕНИВАНИЕ ЗА РАЗДЕЛ «ПОСЛЕДОВАТЕЛЬНОСТИ»
|
Тема |
Числовая последовательность, способы её задания и свойства Арифметическая и геометрическая прогрессии Бесконечно убывающая геометрическая прогрессия Решение текстовых задач |
|
Цели обучения |
9.2.3.2
Находить n-й член последовательности, например:
9.2.3.5 Знать и применять формулы n-го члена, суммы n- первых членов и характеристическое свойство арифметической прогрессии 9.2.3.6 Знать и применять формулы n-го члена, суммы n первых членов и характеристическое свойство геометрической прогрессии |
|
Критерии оценивания |
Обучающийся Находит значение номера члена последовательности. Применяет характеристическое свойство арифметической прогрессии, находит n-й член Применяет формулы и свойства арифметической прогрессии Применяет формулы и свойства геометрической прогрессии Использует формулу суммы бесконечно убывающей геометрической прогрессии при решении задач |
|
Уровень мыслительных навыков |
Применение Навыки высокого порядка |
|
Время выполнения |
25 минут |
ЗАДАНИЯ
|
Оценивание заданий работы |
|||||
|
№ задания |
1 |
2 |
3 |
4 |
5 |
|
Количество баллов |
2 |
3 |
2 |
4 |
3 |
|
Всего баллов |
14 баллов |
||||
1 ВАРИАНТ
1. Последовательность задана формулой
. Найдите ее восьмой
член.
2. Пусть
есть арифметическая прогрессия. Если
и
, с помощью характеристического
свойства найдите
. Определите значение девятого члена
прогрессии .
3. (
) – геометрическая прогрессия
-5; 10; -20… Найдите шестой член прогрессии.
4. В геометрической прогрессии (
) известно, что
, а
.
a) Найдите первый член и знаменатель этой прогрессии. b) Найдите сумму первых восьми членов геометрической прогрессии.
5. Найдите сумму бесконечно убывающей геометрической прогрессии: 25; 5; 1; 0,2; …..
2 ВАРИАНТ
1. Последовательность задана формулой
. Найдите ее восьмой
член.
2. Пусть
есть арифметическая прогрессия. Если
и
, с помощью характеристического
свойства найдите
. Определите значение седьмого члена
прогрессии .
3. (
) – геометрическая прогрессия
4; 2; 1;… Найдите пятый член прогрессии.
4. В геометрической прогрессии (
) известно, что
, а
. a) Найдите первый член и
четвертый член прогрессии. b) Найдите сумму первых восьми членов
геометрической прогрессии.
5. Найдите сумму бесконечно убывающей геометрической прогрессии: 10; 1; 0,1;…..
3 ВАРИАНТ
1. Последовательность задана формулой
. Найдите ее пятый член.
2. Пусть
есть арифметическая прогрессия. Если
и
. Определите значение третьего
и девятого члена прогрессии. С помощью характеристического свойства
найдите
.
3. (
) – геометрическая прогрессия.
Первый член равен 7,а знаменатель – (-2). Найдите первые шесть
членов прогрессии.
4. В геометрической прогрессии (
) известно, что
, а
.
a) Найдите первый член и шестой член этой прогрессии. b) Найдите сумму первых пяти членов геометрической прогрессии.
5. Найдите сумму бесконечно убывающей геометрической прогрессии: 3; -1; 1/3;…..
4 ВАРИАНТ
1. Последовательность задана
формулой
. Найдите ее седьмой член. 2. Пусть
есть арифметическая прогрессия. Если
и
. Определите значение третьего
и пятого члена прогрессии . С помощью характеристического свойства
найдите
.
3. (
) – геометрическая прогрессия.
Первый член равен 4, а знаменатель – (-3 ). Найдите первые шесть
членов прогрессии.
4. В геометрической прогрессии (
) известно, что
, а ![]()
a) Найдите первый и третий член прогрессии.
b) Найдите сумму первых трех членов геометрической прогрессии.
5. Найдите сумму бесконечно убывающей геометрической прогрессии: -36; 18; -9;…...
|
Критерий оценивания |
№ задания |
Дескриптор |
Балл |
|
Обучающийся |
|||
|
Находит значение номера члена последовательности. |
1 |
Определяет формулу общего члена последовательности |
2 |
|
Находит n-член последовательности |
|||
|
Применяет свойство и определение арифметической прогрессии, находит n-й член арифметической прогрессии |
2 |
Определяет вид и члены последовательности |
3 |
|
Записывает формулу n-члена арифметической прогрессии |
|||
|
Вычисляет значение n-члена для одного показателя |
|||
|
Применяет формулы и свойства геометрической прогрессии ,находит n-й член геометрической прогрессии |
3 |
Записывает по условию члены геометрической прогрессии |
3 |
|
Вычисляет значение n-члена для одного показателя |
|||
|
Находит сумму n первых членов геометрической прогрессии. |
4 |
Записывает формулу, находит первый геометрической прогрессии |
4 |
|
Записывает формулу, находит n-член геометрической прогрессии |
|||
|
Записывает формулу суммы n-первых членов геометрической прогрессии |
|||
|
Находит значение |
|||
|
Применяет формулу суммы бесконечно убывающей геометрической прогрессии при решении задач. |
5 |
находит первый член и знаменатель бесконечно убывающей прогрессии из условия задачи; |
3 |
|
использует формулу суммы бесконечно убывающей прогрессии; |
|||
|
находит значение суммы бесконечно убывающей геометрической прогрессии |
|||
|
Общий балл |
15 |
||
РУБРИКА ДЛЯ ПРЕДОСТАВЛЕНИЯ ИНФОРМАЦИИ РОДИТЕЛЯМ
ПО ИТОГАМ СУММАТИВНОГО ОЦЕНИВАНИЯ ЗА РАЗДЕЛ «ПОСЛЕДОВАТЕЛЬНОСТИ»
ФИ ОБУЧАЮЩЕГОСЯ________________________________________________________________
|
Критерий оценивания |
Уровень учебных достижений |
||
|
Низкий |
Средний |
Высокий |
|
|
Определяет закономерность последовательности и находит недостающие члены |
Затрудняется в определении закономерности последовательности/в нахождении недостающих членов |
Находит формулу общего члена последовательности, допускает ошибки при определении недостающих членов последовательности / определении принадлежности члена последовательности |
Определяет закономерность последовательности, находит ее недостающие члены |
|
Применяет формулы и свойства арифметической прогрессии |
Затрудняется в применении формул и свойств арифметической прогрессии |
Составляет выражение по условию задачи, допускает ошибки при вычислении |
Решает задачи на применение формул и свойств арифметической прогрессии |
|
Применяет формулы и свойства геометрической прогрессии |
Затрудняется в применении формулы свойств геометрической прогрессии |
Допускает ошибки при вычислении n-члена геометрической прогрессии |
Решает задачи на применение формул и свойств геометрической прогрессии |
|
Использует формулу суммы бесконечно убывающей геометрической прогрессии при решении задач |
Затрудняется в решении задач на применение формулы суммы бесконечно убывающей геометрической прогрессии |
Допускает вычислительные ошибки / при решении задачи на применение формулы суммы бесконечно убывающей геометрической прогрессии |
Решает задачу на применение формулы суммы бесконечно убывающей геометрической прогрессии |
СУММАТИВНОЕ ОЦЕНИВАНИЕ ЗА РАЗДЕЛ «ТРИГОНОМЕТРИЯ»
|
Тема |
Градусная и радианная меры углов и дуги Синус, косинус, тангенс и котангенс произвольного угла Значения синуса, косинуса, тангенса и котангенса углов Формулы тригонометрии |
|
Цели обучения |
9.1.2.1 переводить градусы в радианы и радианы в градусы 9.2.4.4 выводить и применять формулы приведения 9.2.4.3 выводить и применять тригонометрические формулы суммы и разности углов, формулы двойного и половинного угла |
|
Критерии оценивания |
Обучающийся: Переводит градусы в радианы и радианы в градусы Применяет формулы приведения для преобразования выражений Применяет формулы суммы и разности углов Применяет формулы двойного и половинного углов |
|
Уровень мыслительных навыков |
применение |
|
Время выполнения |
25 минут |
ЗАДАНИЯ
|
Оценивание заданий работы |
||||
|
№ задания |
1 |
2 |
3 |
4 |
|
Количество баллов |
4 |
4 |
3 |
4 |
|
Всего баллов |
15 баллов |
|||
1 ВАРИАНТ
-
а) Найдите радианную меру углов и укажите в какой четверти находится угол:
;
б) Найдите
градусную меру углов и укажите в какой четверти находится угол:
;
.
2)
упростите выражение:
3)
Вычислите:
4) Вычислите
, если
|
Критерий оценивания |
№ задания |
Дескриптор |
Балл |
|
Обучающихся |
|||
|
Переводит градусы в радианы и радианы в градусы |
1 |
Переводит градусы в радианы. |
1 |
|
Определяет четверть |
1 |
||
|
Переводит радианы в градусы. |
1 |
||
|
Определяет четверть |
1 |
||
|
Применяет формулы приведения для преобразования выражений |
2 |
Использует
формулу приведения для |
1 |
|
Использует
формулу приведения для |
1 |
||
|
Использует
формулу приведения для |
1 |
||
|
Упрощает выражение |
1 |
||
|
Применяет тригонометрические формулы суммы (разности) углов |
3 |
представляет заданный угол в виде суммы (разности) двух углов |
1 |
|
применяет формулу синуса (косинуса) суммы углов |
1 |
||
|
упрощает полученное выражение |
1 |
||
|
Применяет тригонометрические формулы половинного угла |
4 |
применяет формулу для нахождения синуса (косинуса) |
1 |
|
находит значение синуса (косинуса) |
1 |
||
|
применяет формулу половинного угла |
1 |
||
|
находит значение половинного угла синуса (косинуса, тангенса) |
1 |
||
|
Всего |
15 |
||
2 ВАРИАНТ
1) а) Найдите радианную меру углов и
укажите в какой четверти находится угол:
;
.
б) Найдите
градусную меру углов и укажите, в какой четверти находится угол:
; ![]()
2)
Упростите выражение:
3)
Вычислите:
4) Вычислите
, если
|
Критерий оценивания |
№ задания |
Дескриптор |
Балл |
|
Обучающихся |
|||
|
Переводит градусы в радианы и радианы в градусы |
1 |
Переводит градусы в радианы. |
1 |
|
Определяет четверть |
1 |
||
|
Переводит радианы в градусы. |
1 |
||
|
Определяет четверть |
1 |
||
|
Применяет формулы приведения для преобразования выражений |
2 |
Использует формулу приведения для
|
1 |
|
Использует формулу приведения для
|
1 |
||
|
Использует формулу приведения для
|
1 |
||
|
Упрощает выражение |
1 |
||
|
Применяет тригонометрические формулы суммы (разности) углов |
3 |
представляет заданный угол в виде суммы (разности) двух углов |
1 |
|
применяет формулу синуса (косинуса) суммы углов |
1 |
||
|
упрощает полученное выражение |
1 |
||
|
Применяет тригонометрические формулы половинного угла |
4 |
применяет формулу для нахождения синуса (косинуса) |
1 |
|
находит значение синуса (косинуса) |
1 |
||
|
применяет формулу половинного угла |
1 |
||
|
находит значение половинного угла синуса (косинуса, тангенса) |
1 |
||
|
Всего |
15 |
||
3 ВАРИАНТ
1) а)
Найдите радианную меру углов и укажите, в какой четверти находится
угол:
.
б) Найдите
градусную меру углов и укажите, в какой четверти находится угол:
; ![]()
2)
Упростите выражение:
3)
Вычислите:
4)
Вычислите
,
если
;
|
Критерий оценивания |
№ задания |
Дескриптор |
Балл |
|
обучающихся |
|||
|
Переводит градусы в радианы и радианы в градусы |
1 |
Переводит градусы в радианы. |
1 |
|
Определяет четверть |
1 |
||
|
Переводит радианы в градусы. |
1 |
||
|
Определяет четверть |
1 |
||
|
Применяет формулы приведения для преобразования выражений |
2 |
Использует формулу приведения для
|
1 |
|
Использует формулу приведения для (
|
1 |
||
|
Использует формулу приведения для(
|
1 |
||
|
Упрощает выражение |
1 |
||
|
Применяет тригонометрические формулы суммы (разности) углов |
3 |
представляет заданный угол в виде суммы (разности) двух углов |
1 |
|
применяет формулу синуса (косинуса) суммы углов |
1 |
||
|
упрощает полученное выражение |
1 |
||
|
Применяет тригонометрические формулы половинного угла |
4 |
применяет формулу для нахождения синуса (косинуса) |
1 |
|
находит значение синуса (косинуса) |
1 |
||
|
применяет формулу половинного угла |
1 |
||
|
находит значение половинного угла синуса (косинуса, тангенса) |
1 |
||
|
Всего |
15 |
||
4 ВАРИАНТ
-
а) Найдите радианную меру углов и укажите в какой четверти находится угол: 1200; -2400.
б) Найдите
градусную меру углов и укажите в какой четверти находится угол:
-
;
.
2)
упростите выражение:
3)
вычислите:
4)
Вычислите
, если
|
Критерий оценивания |
№ задания |
обучающихся Дескриптор |
Балл |
|
Переводит градусы в радианы и радианы в градусы |
1 |
Переводит градусы в радианы. |
1 |
|
Определяет четверть |
1 |
||
|
Переводит радианы в градусы. |
1 |
||
|
Определяет четверть |
1 |
||
|
Применяет формулы приведения для преобразования выражений |
2 |
Использует формулу приведения для (
|
1 |
|
Использует формулу приведения для (
|
1 |
||
|
Использует формулу приведения для (
|
1 |
||
|
Упрощает выражение |
1 |
||
|
Применяет тригонометрические формулы суммы (разности) углов |
3 |
представляет заданный угол в виде суммы (разности) двух углов |
1 |
|
применяет формулу синуса (косинуса) суммы углов |
1 |
||
|
упрощает полученное выражение |
1 |
||
|
Применяет тригонометрические формулы половинного угла |
4 |
применяет формулу для нахождения синуса (косинуса) |
1 |
|
находит значение синуса (косинуса) |
1 |
||
|
применяет формулу половинного угла |
1 |
||
|
находит значение половинного угла синуса (косинуса, тангенса) |
1 |
||
|
Всего |
15 |
||
РУБРИКА ДЛЯ ПРЕДОСТАВЛЕНИЯ ИНФОРМАЦИИ РОДИТЕЛЯМ
ПО ИТОГАМ СУММАТИВНОГО ОЦЕНИВАНИЯ ЗА РАЗДЕЛ «ТРИГОНОМЕТРИЯ»
ФИ ОБУЧАЮЩЕГОСЯ________________________________________________________________
|
Критерий оценивания |
Уровень учебных достижений |
||
|
Низкий |
Средний |
Высокий |
|
|
Переводит градусы в радианы и радианы в градусы |
Затрудняется в переводе градусов в радианы и радианы в градусы |
Допускает ошибки при переводе градусов в радианы и радиан в градусы |
Верно, переводит градусы в радианы и радианы в градусы |
|
Применяет формулы приведения для преобразования выражений |
Затрудняется в применении формул приведения при преобразования выражений |
Допускает ошибки в применении формул приведения при преобразовании выражений |
Верно, применяет формулы приведения при преобразовании выражений |
|
Применяет тригонометрические формулы суммы (разности) углов |
Затрудняется в применении тригонометрических формул суммы (разности) углов |
Допускает ошибки при применении тригонометрических формул суммы (разности) углов |
Верно, применяет тригонометрические формулы суммы (разности) углов |
|
Применяет тригонометрические формулы половинного угла |
Затрудняется в применении тригонометрических формул половинного угла |
Допускает ошибки при применении тригонометрических формул половинного угла |
Верно, применяет тригонометрические формулы половинного угла |
СУММАТИВНОЕ ОЦЕНИВАНИЕ ЗА РАЗДЕЛ «ТРИГОНОМЕТРИЯ»
|
Тема |
Формулы тригонометрии. Тождественные преобразования тригонометрических выражений |
|
Цели обучения |
9.2.4.7 Выводить и применять формулы преобразования суммы и разности тригонометрических функций в произведение и произведение в сумму или разность 9.2.4.8 Выполнять тождественные преобразования тригонометрических выражений |
|
Критерии оценивания |
Обучающийся: Упрощает выражения с помощью формул преобразования суммы и разности тригонометрических функций в произведение Выполняет тождественные преобразования тригонометрических выражений |
|
Уровень мыслительных навыков |
применение |
|
Время выполнения |
25 минут |
ЗАДАНИЯ
|
Оценивание заданий работы |
|||
|
№ задания |
1 |
2 |
3 |
|
Количество баллов |
4 |
2 |
9 |
|
Всего баллов |
15 баллов |
||
ВАРИАНТ 1
1
Докажите, что
.
2.
Представьте в виде суммы или разности выражение:
![]()
3.
Упростите выражение: а) ![]()
б)
![]()
ВАРИАНТ 2
1.
Докажите, что ![]()
2.
Представьте в виде суммы или разности выражение:
![]()
3.
Упростите выражение: а) ![]()
б)
![]()
ВАРИАНТ 3
1.
Докажите, что
2.
Представьте в виде суммы или разности выражение:
2![]()
3.
Упростите выражение: а) ![]()
б)
![]()
ВАРИАНТ 4
1.
Докажите, что ![]()
2.
Представьте в виде суммы или разности выражение:
![]()
3.
Упростите выражение: а)
;
б) ![]()
|
Критерий оценивания |
№ задания |
Дескриптор |
Балл |
|
Обучающийся |
|||
|
Упрощает выражения с помощью формул преобразования суммы и разности тригонометрических функций в произведение |
1 |
использует формулу преобразования разности косинусов/синусов в произведение в числителе; |
1 |
|
использует формулу преобразования разности/сложение косинусов/синусов в произведение в знаменателе; |
1 |
||
|
делает сокращение |
1 |
||
|
выполняет преобразование и делает вывод о равенстве; |
1 |
||
|
2 |
использует формулу произведений в сумму или разность |
1 |
|
|
выполняет преобразование |
1 |
||
|
Выполняет тождественные преобразования тригонометрических выражений |
3а |
приводит выражения в скобках к общему знаменателю; |
1 |
|
выполняет раскрытие скобок в числителе |
1 |
||
|
выполняет преобразование в числителе |
1 |
||
|
применяет основное тригонометрическое тождество; |
1 |
||
|
выполняет сокращение и записывает ответ |
1 |
||
|
3б |
применяет формулу косинус двойного угла; |
1 |
|
|
применяет формулу привидения; |
1 |
||
|
применяет основное тригонометрическое тождество и делает сокращение; |
1 |
||
|
применяет формулу синус двойного угла; |
1 |
||
|
Итого: |
|
|
15 |
РУБРИКА ДЛЯ ПРЕДОСТАВЛЕНИЯ ИНФОРМАЦИИ РОДИТЕЛЯМ
ПО ИТОГАМ СУММАТИВНОГО ОЦЕНИВАНИЯ ЗА РАЗДЕЛ «ТРИГОНОМЕТРИЯ»
ФИ ОБУЧАЮЩЕГОСЯ________________________________________________________________
|
Критерий оценивания |
Уровень учебных достижений |
||
|
Низкий |
Средний |
Высокий |
|
|
Упрощает выражения с помощью формул преобразования суммы и разности тригонометрических функций в произведение |
Затрудняется в упрощении выражений с помощью формул преобразования суммы и разности тригонометрических функций в произведение |
Допускает ошибки упрощении выражений с помощью формул преобразования суммы и разности тригонометрических функций в произведение |
Верно, выполняет упрощение выражений с помощью формул преобразования суммы и разности тригонометрических функций в произведение |
|
Выполняет тождественные преобразования тригонометрических выражений |
Затрудняется в выполнении тождественных преобразований тригонометрических выражений |
Допускает ошибки при выполнении преобразований тригонометрических выражений |
Верно, выполняет преобразования тригонометрических выражений |
СУММАТИВНОЕ ОЦЕНИВАНИЕ
ЗА РАЗДЕЛ «ЭЛЕМЕНТЫ ТЕОРИИ ВЕРОЯТНОСТЕЙ»
|
Тема |
Основы теории вероятностей . Решение текстовых задач |
|
Цель обучения |
9.3.2.3 Знать классическое определение вероятности и применять его для решения задач 9.3.2.5 Применять геометрическую вероятность при решении задач |
|
Критерий оценивания |
Обучающийся Применяет геометрическое определение вероятности при решении задач Применяет классическую формулу вероятности при решении задач |
|
Уровень мыслительных навыков |
Применение Навыки высокого порядка |
|
Время выполнения |
25 минут |
ЗАДАНИЯ
|
Оценивание заданий работы |
|||
|
№ задания |
1 |
2 |
3 |
|
Количество баллов |
8 |
4 |
3 |
|
Всего баллов |
15 баллов |
||
ВАРИАНТ 1
1. Середины сторон прямоугольника АВСD являются вершинами четырехугольника MNPK. Периметр прямоугольника равен 40 см, одна сторона в три раза больше другой. Из прямоугольника случайным образом выбирается точка. Найдите вероятность того, что она принадлежит четырехугольнику MNPK.
2. В коробке 3 красных, 3 жёлтых, 3 зелёных шара. Вынимают наугад 4 шара.
Какие из следующих событий невозможные, какие – случайные, какие –достоверные:
А={все вынутые шары одного цвета}
В={все вынутые шары разных цветов}
С={среди вынутых шаров есть шары разных цветов}
D={ среди вынутых шаров есть шары всех трёх цветов}
-
На борту самолёта 12 мест рядом с запасными выходами и 18 мест за перегородками, разделяющими салоны. Остальные места неудобны для пассажира высокого роста. Пассажир В. высокого роста. Найдите вероятность того, что на регистрации при случайном выборе места пассажиру В. достанется удобное место, если всего в самолёте 300 мест.
ВАРИАНТ 2
1. Стороны равнобедренной трапеции касаются окружности с центром в точке О. Основания трапеции равны 4 см и 16 см. Из трапеции случайным образом выбирается точка. Найдите вероятность того, что она не принадлежит кругу, ограниченному данной окружностью.
2. Исследуйте виды событий. Результаты исследования занесите в таблицу:
1) 1 января – праздничный день
2) Футбольный матч «Спартак» - «Динамо» закончится вничью
3) При броске игральной кости выпало 7 очков
4) При броске игральной кости выпало число очков, меньше 7
5) При телефонном звонке абонент оказался занят
6) Учебный год когда-нибудь закончится
7) Отличник получил на экзамене по математике пятерку
8) Вы проиграете партию в шашки
9) При броске игральной кости выпало четное число очков
10) В этом году президентом РК изберут тебя
|
Событие |
1 |
2 |
3 |
4 |
5 |
6 |
7 |
8 |
9 |
10 |
|
Достоверное |
|
|
|
|
|
|
|
|
|
|
|
Случайное |
|
|
|
|
|
|
|
|
|
|
|
Невозможное |
|
|
|
|
|
|
|
|
|
|
3. Пятитомное собрание сочинений расположено на полке в случайном порядке. Какова вероятность того, что книги стоят с лева на право в порядке нумерации томов ( от 1 до 5)?
Вариант 1.
|
Критерий оценивания |
№ задания |
Дескриптор |
Балл |
|
Обучающийся |
|||
|
Применяет геометрическое определение вероятности при решении задач |
1 |
делает чертеж |
1 |
|
докажите равенство сторон MN, NP, PK, MK. |
1 |
||
|
доказывает, что MNPK – ромб. |
1 |
||
|
обозначает меньшую сторону за «х» и составьте уравнение; |
1 |
||
|
решает уравнение и найдите стороны прямоугольника. |
1 |
||
|
Находит площадь прямоугольника АВСD. |
1 |
||
|
Находит площадь четырехугольника MNPK. |
1 |
||
|
Вычисляет вероятность. |
1 |
||
|
Применяет классическую формулу вероятности для решения задач |
2 |
событие А –невозможное: нельзя вынуть из коробки четыре шара одного цвета, так как в ней только по три шара каждого цвета. |
1 |
|
событие В –невозможное: шары в коробке трёх цветов, а вынимаем мы 4 шара. |
1 |
||
|
событие С –достоверное: ведь среди четырёх шаров не могут быть шары одного цвета, поэтому среди них обязательно есть шары хотя бы двух цветов. |
1 |
||
|
событие D- случайное. (КЖЖЗ или ККЖЖ – третьего цвета нет) |
1 |
||
|
3 |
определяет количество «удобных» мест |
1 |
|
|
использует классическую формулу вероятности |
1 |
||
|
вычисляет вероятность |
1 |
||
|
Итого: |
|
|
15 |
Вариант 2.
|
Критерий оценивания |
№ задания |
Дескриптор |
Балл |
|
Обучающийся |
|||
|
Применяет геометрическое определение вероятности при решении задач |
1 |
Делает чертеж |
1 |
|
использует свойство, находит сумму боковых сторон трапеции. |
1 |
||
|
использует определит равнобедренной трапеции и найдет каждую из боковых сторон. |
1 |
||
|
находит длины отрезков, отсекаемых высотами. |
1 |
||
|
найдет высоту трапеции. |
|||
|
найдит площадь трапеции. |
1 |
||
|
найдите радиус окружности и площадь круга. |
1 |
||
|
вычислите вероятность |
1 |
||
|
Применяет классическую формулу вероятности для решения задач |
2 |
определяет достоверное событие |
1 |
|
определяет случайное событие |
1 |
||
|
определяет невозможное событие |
1 |
||
|
3 |
определяет число всех возможных элементарных исходов (n). |
1 |
|
|
находит число благоприятствующих исходов (m) |
1 |
||
|
Использует классическое определение вероятности |
1 |
||
|
вычислите вероятность |
1 |
||
|
Итого: |
|
|
15 |
ЗАДАНИЯ
|
Оценивание заданий работы |
|||||
|
№ задания |
1 |
2 |
3 |
4 |
5 |
|
Количество баллов |
4 |
4 |
4 |
1 |
2 |
|
Всего баллов |
15 баллов |
||||
ВАРИАНТ 3
1. Оконная решетка состоит из клеток со стороной 20см. Какова вероятность того, что попавший в окно мяч, пролетит через решетку, не задев ее, если радиус мяча равен 10см.
2. В круг, радиус которого равен R, вписан правильный треугольник. Какова вероятность того, что на удачу взятая точка круга окажется внутри треугольника?
3. На полке в случайном порядке расставлено 40 книг, среди которых находится трехтомник Пушкина. Найти вероятность того, что эти тома стоят в порядке возрастания номера слева направо, но не обязательно рядом.
4. Из 28 костей домино выбирают наугад одну кость. Какова вероятность того, что выбранная кость содержит в сумме 6.
5.. На каждые из пяти одинаковых карточек напечатана одна из следующих букв: «а», «м», «р», «т», «ю». Карточки тщательно перемешаны. Найти вероятность того , что на четырех по одной карточке можно прочесть слово «юрта»
ВАРИАНТ 4
1. В круг вписан правильный шестиугольник. Найти вероятность того, что точка, наудачу брошенная в круг, не попадёт в правильный шестиугольник, вписанный в него.
2. Метровую ленту случайным образом разрезают ножницами. Найдите вероятность того , что длина обрезка составит не менее 80 см
3. Шесть рукописей случайно раскладывают по пяти папкам. Какова вероятность того, что ровно одна папка останется пустой?
4. На учениях по стрельбе из пистолета частота поражения мишени оказалась равной 0,85. Сколько попаданий в цель можно ожидать, если по мишени было произведено 120 выстрелов?
5. В шахматном турнире участвуют 16 человек. Сколько партий должно быть сыграно в турнире, если между любыми двумя участниками должна быть сыграна одна партия?
Вариант 3
|
Критерий оценивания |
№ задания |
Дескриптор |
Балл |
|
Обучающийся |
|||
|
Применяет геометрическое определение вероятности при решении задач |
1 |
определяет событие |
1 |
|
определяет площадь круга |
1 |
||
|
определяет площадь квадрата |
1 |
||
|
Вычислите вероятность |
1 |
||
|
2 |
определяет площадь треугольника |
1 |
|
|
определяет площадь круга |
1 |
||
|
вычислите вероятность |
1 |
||
|
Применяет классическую формулу вероятности для решения задач |
3 |
находит все возможные элементарные исходы (n) |
1 |
|
находит число благоприятствующие исходы (m) |
|
||
|
Вычисляет вероятность |
1 |
||
|
4 |
Обозначает общее число испытаний и число появлений события А. |
1 |
|
|
Определяет частоту случайного события |
1 |
||
|
5 |
определяет число всех равновозможных элементарных исходов |
1 |
|
|
определяет число исходов |
1 |
||
|
использует определение вероятности |
1 |
||
|
Итого: |
|
|
15 |
Вариант 4
|
Критерий оценивания |
№ задания |
Дескриптор |
Балл |
|
Обучающийся |
|||
|
Применяет геометрическое определение вероятности при решении задач |
1 |
записывает формулу площади окружности |
1 |
|
записывает формулу площади шестиугольника |
1 |
||
|
записывает вероятность искомого события |
1 |
||
|
вычисляет значения вероятность искомого события |
1 |
||
|
2 |
определяет, что искомый разрез можно сделать с двух сторон ленты |
1 |
|
|
находит все возможные элементарные исходы (n) |
1 |
||
|
находит число благоприятствующие исходы (m) |
1 |
||
|
Вычисляет вероятность |
1 |
||
|
Применяет классическую формулу вероятности для решения задач |
3 |
записывает формулу для нахождения всех возможных элементарных исходов (n) |
1 |
|
записывает формулу для нахождения числа благоприятствующих исходов (m) |
1 |
||
|
вычисляет n и m |
1 |
||
|
вычисляет вероятность |
1 |
||
|
4 |
Применяет формулу сочетания из 16 элементов по 2 |
1 |
|
|
5 |
использует классическую формулу вероятности; |
1 |
|
|
находит вероятность попадание в мишень |
1 |
||
|
Итого: |
|
|
15 |
СПЕЦИФИКАЦИЯ СУММАТИВНОГО ОЦЕНИВАНИЯ ЗА 1 ЧЕТВЕРТЬ
Обзор суммативного оценивания за 1 четверть
Продолжительность – 40 минут
Количество баллов – 20
Типы заданий:
КО – задания, требующие краткого ответа
РО – задания, требующие развернутого ответа
Структура суммативного оценивания
Данный вариант состоит из 6 заданий, включающих вопросы с кратким и развернутым ответами.
В вопросах, требующих краткого ответа, обучающийся записывает ответ в виде численного значения, слова или короткого предложения.
В вопросах, требующих развернутого ответа, обучающийся должен показать всю последовательность действий в решении заданий для получения максимального балла. Оценивается способность обучающегося выбирать и применять математические приемы в ряде математических контекстов. Задание может содержать несколько структурных частей/вопросов.
Характеристика заданий суммативного оценивания за 1 четверть
|
Раздел |
Проверяемая цель |
Уровень мыслительных навыков |
Кол. заданий* |
№ задания* |
Тип задания* |
Время на выполнение, мин* |
Балл* |
Бал л за разд ел |
|
Уравнения, неравенства с двумя переменными и их системы |
9.2.2.4 Решать системы нелинейных неравенств с двумя переменными |
Применение |
1 |
2 |
РО |
7 |
3 |
10 |
|
9.2.2.2 Решать системы нелинейных уравнений с двумя переменными |
Применение |
1 |
3 |
КО |
8 |
3 |
||
|
9.4.2.1 Решать текстовые задачи с помощью систем уравнений |
Навыки высокого порядка |
1 |
1 |
РО |
10 |
4 |
||
|
Элементы комбинаторик и |
9.3.1.6 Знать и применять формулу бинома Ньютона и его свойства |
Применение |
1 |
6 |
КО |
5 |
2 |
10 |
|
9.3.1.1 Знать правила комбинаторики (правила суммы и произведения) |
Знание и понимание |
1 |
5 |
РО |
5 |
3 |
||
|
9.3.1.5 Решать задачи, применяя формулы комбинаторики для вычисления числа перестановок, размещений, сочетаний без повторений |
Навыки высокого порядка |
2 |
4 |
РО |
5 |
5 |
||
|
ИТОГО: |
7 |
40 |
20 |
20 |
||||
|
Примечание: * - разделы, в которые можно вносить изменения |
|
|
|
|
|
|
||
ЗАДАНИЯ И СХЕМА ВЫСТАВЛЕНИЯ БАЛЛОВ
ВАРИАНТ 1
|
Оценивание заданий работы |
||||||
|
№ задания |
1 |
2 |
3 |
4 |
5 |
6 |
|
Количество баллов |
4 |
3 |
3 |
3 |
3 |
4 |
|
Всего баллов |
20 баллов |
|||||
1. Решите задачу с помощью системы уравнений.
Сумма цифр двузначного числа равна 12. Если цифры этого числа переставить, то получиться число, большее искомого на 18. Найдите это число.
2. Найдите множество точек координатной плоскости, которое задано системой неравенств:
![]()
3. Решите систему уравнений:
![]()
4. Из вазы с цветами, в которой стоят 10 веточек желтой мимозы и 5 белой, выбирают 2 желтой и одну белую. Сколькими способами можно сделать такой выбор букета?
5. Сигнальщик на корабле для передачи сообщений пользуется флажками пяти цветов. Сколько видов сигнала он сможет дать, если будет изображать различные сигналы двумя, тремя, четырьмя флажками?
6.
Разложите по формуле бинома
Ньютона
ВАРИАНТ 2
|
Оценивание заданий работы |
||||||
|
№ задания |
1 |
2 |
3 |
4 |
5 |
6 |
|
Количество баллов |
4 |
3 |
3 |
3 |
3 |
4 |
|
Всего баллов |
20 баллов |
|||||
1. Решите задачу с помощью системы уравнений.
Найдите двузначное число, если его единиц на 2 больше его десятков, а произведение искомого числа на сумму его цифр равно 144.
2. Найдите множество точек координатной плоскости, которое задано системой неравенств:
![]()
3. Решите систему уравнений:
![]()
4. Всего 15 мальчика и 12 девочек. Сколькими способами можно составить команды, если в каждой команде должно быть 5 мальчика и 4 девочка.
5. Определим, сколько трехзначных чисел с неповторяющимися цифрами можно записать, используя цифры от 0 до 9.
6. Разложите по формуле бинома Ньютона (2а +3 b)4
ВАРИАНТ 3
|
Оценивание заданий работы |
||||||
|
№ задания |
1 |
2 |
3 |
4 |
5 |
6 |
|
Количество баллов |
4 |
3 |
3 |
3 |
3 |
4 |
|
Всего баллов |
20 баллов |
|||||
1. Решите задачу с помощью системы уравнений.
Знаменатель обыкновенной дроби на 3 больше
числителя. Если к числителю прибавить 8, а к знаменателю – 2, то
данная дробь увеличивается на
. Найдите
исходную дробь.
2. Найдите множество точек координатной плоскости, которое задано системой неравенств:
![]()
3. Решите систему уравнений:
![]()
4. В классе 15 девочек и 10 мальчиков. Сколькими способами можно выбрать дежурных, состоящих их трех девочек и двух мальчиков?
5. Определи, сколько четырехзначных чисел с неповторяющимися цифрами можно записать, используя цифры от 0 до 9.
6. Разложите по формуле бинома Ньютона (2а – 3b)4
ВАРИАНТ 4
|
Оценивание заданий работы |
||||||
|
№ задания |
1 |
2 |
3 |
4 |
5 |
6 |
|
Количество баллов |
4 |
3 |
3 |
3 |
3 |
4 |
|
Всего баллов |
20 баллов |
|||||
1. Решите задачу с помощью системы уравнений.
Если
числитель дроби уменьшить на единицу, то дробь становиться
равной
, а если знаменатель уменьшить на
единицу, то дробь становиться равной
. Найдите эту дробь.
2. Найдите множество точек координатной плоскости, которое задано системой неравенств:
![]()
3. Решите систему уравнений:
![]()
4. В корзине 16 яблок и 8 бананов . Сколькими способами можно раздать фрукты обезьянкам, если каждое животное должно получить по 4 яблок и 2 банана ?
5. Стрелочник железной дороги для согласования проезда поездов пользуется флажками пяти цветов. Сколько видов сигнала он сможет дать, если будет изображать различные сигналы одним, двумя тремя флажками?
6.
Разложите по формуле бинома
Ньютона ![]()
Схема выставления баллов
Вариант 1
|
№ |
Ответ |
Балл |
Доолнительная информация |
|
1 |
Определяет переменые и 10х +у – искомое двузначное число Записывает условие задачи |
1 |
Принимается любая правильная запись системы уравнений |
|
10у + х – 10х – у = 18 |
1 |
||
|
х = 5 и у = 7 |
1 |
||
|
57 – искомое число |
1 |
||
|
2 |
|
1 |
|
|
|
1 |
||
|
|
1 |
||
|
3 |
х2 +2х(4х – 5 )= 16 |
1 |
|
|
9х2 – 10х – 16 = 0 |
1 |
||
|
(2; 3); (
|
1 |
||
|
4 |
|
1 |
|
|
|
1 |
||
|
|
1 |
||
|
5 |
. |
1 |
|
|
Применяет правило
суммы |
1 |
||
|
20+60+120=200 |
1 |
||
|
6 |
. применяет формулу бинома Ньютона:
|
1 |
Принимается альтернотивное решение |
|
(1+2х)6=16+ |
1 |
||
|
вычисляет
коэффициенты |
1 |
||
|
записывает разложение. 1+12х+60х2+160х3+480х4+384х5+64х6 |
1 |
||
|
ВСЕГО БАЛЛОВ |
20 |
|
|
|
|
|
|
|
Схема выставления
баллов
Вариант 2
|
№ |
Ответ |
Балл |
Доолнительная информация |
|
1 |
Определяет переменые и 10х +у – искомое двузначное число Записывает условие задачи |
1 |
Принимается любая правильная запись системы уравнений |
|
(10у + х) · ( х + у ) = 144, 11х2 13 х – 70 = 0 |
1 |
||
|
х =
х = 2 и у = 4 |
1 |
||
|
24 – искомое число |
1 |
||
|
2 |
|
1 |
|
|
|
1 |
||
|
|
1 |
||
|
3 |
у =
|
1 |
Принимается альтернативное решение |
|
х4 – 29х + 100 = 0 х2 = t. t = 25 или t = 4 |
1 |
||
|
(2;5), (5;2); ( - 2 ; - 5 ); ( - 5; - 2) |
1 |
||
|
4 |
|
1 |
|
|
|
1 |
||
|
|
1 |
||
|
5 |
.Сотни
- |
1 |
|
|
Применяет
правило умножения |
1 |
||
|
9·9·8=648 |
1 |
||
|
6 |
применяет формулу бинома Ньютона:
|
1 |
|
|
(2а +3
b)4= |
1 |
||
|
вычисляет
коэффициенты |
1 |
||
|
16a4+96a3b+216a2b2+216ab3+81b4 |
1 |
||
|
ВСЕГО БАЛЛОВ |
20 |
|
|
|
|
|
|
|
Схема выставления баллов
Вариант 3
|
№ |
Ответ |
Балл |
Доолнительная информация |
|
1 |
Определяет переменые
и Записывает условие задачи |
1 |
Принимается любая правильная запись системы уравнений |
|
|
1 |
||
|
х =
|
1 |
||
|
|
1 |
||
|
2 |
|
1 |
|
|
|
1 |
||
|
|
1 |
||
|
3 |
х = 1 – 2у ( 1 – 2у )2 – 3у( 1 – 2у ) – 2у2 = 2 |
1 |
|
|
8х2 – 7у – 1 = 0 |
1 |
||
|
х1
= |
1 |
||
|
4 |
|
1 |
|
|
|
1 |
||
|
|
1 |
||
|
|
.Тысячи
- |
1 |
|
|
Применяет
правило умножения |
1 |
||
|
9·9·8·7= 4536 |
1 |
||
|
6 |
применяет формулу бинома Ньютона:
|
1 |
|
|
(2а +3
b)4= |
|||
|
вычисляет
коэффициенты |
1 |
||
|
16a4 - 96a3b +216a2b2 - 216ab3 +81b4 |
1 |
||
|
ВСЕГО БАЛЛОВ |
20 |
|
|
|
|
|
|
|
Схема выставления баллов
Вариант 4
|
№ |
Ответ |
Балл |
Доолнительная информация |
|
1 |
Определяет переменые
и Записывает условие задачи |
1 |
Принимается любая правильная запись системы уравнений |
|
|
1 |
||
|
х = 6 и у = 25 |
1 |
||
|
|
1 |
||
|
2 |
|
1 |
|
|
|
1 |
||
|
|
1 |
||
|
3 |
у =
|
1 |
|
|
х4 – 5х – 36 = 0 х2 = t. t = 9 или t = - 4 – лишний корень |
1 |
||
|
( - 3 ; - 2 ), ( 3; 2 ) |
1 |
||
|
4 |
|
1 |
|
|
|
1 |
||
|
|
1 |
||
|
5 |
. |
1 |
|
|
Применяет правило
суммы |
1 |
||
|
5+20+60=85 |
1 |
||
|
6 |
применяет формулу бинома Ньютона:
|
1 |
|
|
(1 – х
)5=15 - |
|||
|
вычисляет
коэффициенты |
1 |
||
|
1 – 5х +10х2 – 10х3 + 5х4 – х5 |
1 |
||
|
ВСЕГО БАЛЛОВ |
20 |
|
|
|
|
|
|
|
CПЕЦИФИКАЦИЯ СУММАТИВНОГО ОЦЕНИВАНИЯ ЗА II ЧЕТВЕРТЬ
Обзор суммативного оценивания за II четверть
Продолжительность - 40 минут
Количество баллов – 20
Типы заданий:
МВО – задания с множественным выбором ответов;
КО – задания, требующие краткого ответа;
РО – задания, требующие развернутого ответа.
Структура суммативного оценивания
Данный вариант состоит из 6 заданий, включающих вопросы с кратким и развернутым ответами.
В вопросах, требующих краткого ответа, обучающийся записывает ответ в виде численного значения, слова или короткого предложения.
В вопросах, требующих развернутого ответа, обучающийся должен показать всю последовательность действий в решении заданий для получения максимального балла. Оценивается способность обучающегося выбирать и применять математические приемы в ряде математических контекстов. Задание может содержать несколько структурных частей/вопросов.
Характеристика заданий суммативного оценивания за II четверть
|
Раздел |
Проверяемая цель |
Уровень мыслительных навыков |
Количество заданий |
№ задания |
Тип задания |
Время на выполнение , мин |
Балл |
Балл за раздел |
|
Последовательности |
9.2.3.2
Находить n-й член последовательности, например
|
Применение |
1 |
1 |
КО |
2 |
1 |
20 |
|
9.2.3.5 Знать и применять формулы n-го члена, суммы n первых членов и характеристическое свойство арифметической прогрессии |
Применение |
1 |
2 |
РО |
10 |
6 |
||
|
9.2.3.6 Знать и применять формулы n-го члена, суммы n первых членов и характеристическое свойство геометрической прогрессии |
Применение |
1 |
3 |
РО |
8 |
4 |
||
|
9.2.3.9 Применять формулу суммы бесконечно убывающей геометрической прогрессии к решению задач |
Навыки высокого порядка |
1 |
4 |
РО |
10 |
4 |
||
|
|
9.2.3.7 Решать текстовые задачи, связанные с геометрической и /или арифметической прогрессиями |
Навыки высокого порядка |
1 |
5 |
РО |
10 |
5 |
|
|
ИТОГО: |
|
5 |
|
|
40 |
20 |
20 |
|
ЗАДАНИЯ СУММАТИВНОГО ОЦЕНИВАНИЯ
1 ВАРИАНТ
|
Оценивание заданий работы |
||||||
|
№ задания |
1 |
2 |
3 |
4 |
5 |
6 |
|
Количество баллов |
1 |
3 |
5 |
5 |
4 |
2 |
|
Всего баллов |
20 баллов |
|||||
1.
Составьте одну из возможных формул n-го члена последовательности по первым шести ее
членам:
;
;
;
;
;….
2. Дана арифметическая прогрессия : -7,8; 5,4;3 ;0,6;… .Найдите шестнадцатый член данной прогрессии.
3. Сумма второго и восьмого членов арифметической прогрессии равна 10 , а сумма третьего и четырнадцатого равна(- 32) . Найдите разность и сумму первых пяти членов арифметической прогрессии.
4. Известно ,что в геометрической прогрессии разность четвертого и второго членов равна 18,а разность пятого и третьего членов равна (-36). Найдите первый член данной прогрессии и знаменатель.
5. Наташе надо решить 355 задач. Ежедневно она решает на одно и то же количество задач больше по сравнению с предыдущим днем. Известно, что Наташа за первый день решила 22 задачи. Определите , сколько задач Наташа решила в последний день ,если со всеми задачами она справилась за 10 дней.
6. Найдите
сумму бесконечно убывающей прогрессии 25;5;1;
:
;…..
2 ВАРИАНТ
|
Оценивание заданий работы |
||||||
|
№ задания |
1 |
2 |
3 |
4 |
5 |
6 |
|
Количество баллов |
1 |
3 |
5 |
5 |
4 |
2 |
|
Всего баллов |
20 баллов |
|||||
1.
Составьте одну из возможных формул n-го члена последовательности по первым шести ее
членам:
;
;
;
;
;….
2. Дана арифметическая прогрессия : 5,6; 4,1;2,6 ;1,1;-0,4;… .Найдите пятнадцатый член данной прогрессии.
3. Разность десятого и четвертого членов арифметической прогрессии равна (-90) ,а шестой член равен (-55).Найдите первый член и сумму первых пяти членов арифметической прогрессии.
4. Известно ,что в геометрической прогрессии разность четвертого и второго членов равна 24,а сумма второго и третьего членов равна 6. Найдите первый член данной прогрессии и знаменатель.
5. Сергею надо решить 560 задач. Ежедневно он решает на одно и то же количество задач больше по сравнению с предыдущим днем. Известно, что Сергей за первый день решил 25 задач. Определите , сколько задач Сергей решил в последний день ,если со всеми задачами он справился за 14 дней.
6. [
Найдите сумму бесконечно убывающей прогрессии
10;1;
;…..
|
|
1 вариант |
2 вариант |
Баллы |
|
№ |
Ответы |
Ответы |
|
|
1 |
|
|
1 |
|
2 |
|
|
1 |
|
|
|
1 |
|
|
|
|
1 |
|
|
3 |
|
|
1 |
|
|
|
1 |
|
|
|
|
1 |
|
|
|
|
1 |
|
|
4 |
|
|
1 |
|
|
|
1 |
|
|
q =-2;
|
q =5; |
1 |
|
|
|
|
1 |
|
|
5 |
Найти |
Найти |
1 |
|
|
|
1 |
|
|
|
|
1 |
|
|
6 |
|
|
1 |
|
|
|
1 |
|
|
Всего баллов |
20 |
||
3 ВАРИАНТ
|
Оценивание заданий работы |
||||||
|
№ задания |
1 |
2 |
3 |
4 |
5 |
6 |
|
Количество баллов |
1 |
3 |
5 |
5 |
4 |
2 |
|
Всего баллов |
20 баллов |
|||||
1. Найди
три первые члена последовательности
=(-1)
+ 6n
и вычисли их
сумму.
2.Дана арифметическая прогрессия : 4; 7 ;… .Найдите сороковой член данной прогрессии.
3.Найти
число членов арифметической прогрессии ,если
;
.
111.
4. Известно ,что в геометрической прогрессии разность шестого и четвертого членов равна 56,а разность третьего и пятого членов равна 14. Найдите первый член данной прогрессии и знаменатель.
5. В оранжерее должны расцвести 900 тюльпанов. Ежедневно расцветает на одно и то же количество цветов больше по сравнению с предыдущим днем. Известно, что за первый день расцвело 42 тюльпана. Определите , сколько тюльпанов расцвело в последний день ,если все цветы открылись за 10 дней.
6. Напишите бесконечную периодическую десятичную дробь 0,2(5) в виде обыкновенной дроби .
4 ВАРИАНТ
|
Оценивание заданий работы |
||||||
|
№ задания |
1 |
2 |
3 |
4 |
5 |
6 |
|
Количество баллов |
1 |
3 |
5 |
5 |
4 |
2 |
|
Всего баллов |
20 баллов |
|||||
1. Найди
три первые члена последовательности
=9n
-7n и вычисли их сумму.
2. Дана арифметическая прогрессия : 29;22;15;… .Найдите двадцатый член данной прогрессии.
3. Найти
число членов убывающей арифметической прогрессии ,если
;
.
88.
4. Известно ,что в геометрической прогрессии разность четвертого и второго членов равна 42,а сумма второго и третьего членов равна 7. Найдите первый член данной прогрессии и знаменатель.
5. В оранжерее должны расцвести 720 тюльпанов. Ежедневно расцветает на одно и то же количество цветов больше по сравнению с предыдущим днем. Известно, что за первый день расцвело 44 тюльпана. Определите , сколько тюльпанов расцвело в последний день ,если все цветы открылись за 10 дней.
6. Напишите бесконечную периодическую десятичную дробь 0,(32) в виде обыкновенной дроби .
|
|
III вариант |
IV вариант |
Баллы |
|
№ |
Ответы |
Ответы |
|
|
1 |
|
|
1 |
|
2 |
|
|
1 |
|
d=7 -4= 3 |
d=22-29=-7 |
1 |
|
|
|
|
1 |
|
|
3 |
|
|
1 |
|
|
|
1 |
|
|
|
Подставим
в равенство |
1 |
|
|
2 D=225, Из полученных чисел выбрать число ,удовлетворяющий условию. Ответ :7 . |
D=9, Из полученных чисел выбрать число ,удовлетворяющий условию. Ответ :8 . |
1 |
|
|
4 |
|
|
1 |
|
|
|
1 |
|
|
q =-4;
|
q =7; |
1 |
|
|
|
|
1 |
|
|
5 |
Найти |
Найти |
1 |
|
|
|
1 |
|
|
|
|
1 |
|
|
6 |
|
|
1 |
|
Из числа, стоящего до второго периода вычесть число, стоящее до первого периода, и записать эту разность числителем, а в знаменателе написать цифру 9 столько раз, сколько цифр в периоде, и после 9 приписать столько нулей, сколько цифр между запятой и первым периодом.
|
Из числа, стоящего до второго периода вычесть число, стоящее до первого периода, и записать эту разность числителем, а в знаменателе написать цифру 9 столько раз, сколько цифр в периоде, и после 9 приписать столько нулей, сколько цифр между запятой и первым периодом.
|
1 |
|
|
Всего баллов |
20 |
||
СПЕЦИФИКАЦИЯ СУММАТИВНОГО ОЦЕНИВАНИЯ
ЗА 3 ЧЕТВЕРТЬ
Обзор суммативного оценивания за 3 четверть.
Продолжительность – 40 минут.
Количество баллов – 20.
Типы заданий:
МВО – задания с множественным выбором ответов;
КО – задания, требующие краткого ответа;
РО – задания, требующие развернутого ответа.
Структура суммативного оценивания:
Данный вариант состоит из 6 заданий, включающих вопросы с кратким и развернутым ответами. В вопросах, требующих краткого ответа, обучающейся записывает ответ в виде численного значения, слова или короткого предложения. В вопросах, требующих развернутого ответа, обучающийся должен показать всю последовательность действий в решении заданий для получения максимального балла. Оценивается способность обучающегося выбирать и применять математические приемы в ряде математических контекстов. Задание может содержать несколько структурных частей/ вопросов.
|
Раздел. |
Проверяемая цель. |
Уровень мыслительных навыков. |
Количество заданий. |
№ задания. |
Тип задания. |
Время на выполнение, (мин). |
Балл. |
Балл за раздел. |
|
Тригонометрия. |
9.1.2.1 переводить градусы в радианы и радианы в градусы; |
Знание и понимание. |
1 |
1 |
КО |
3 |
2 |
20 |
|
9.2.4.1 Знать определения тригонометрических функций; |
Знание и понимание. |
1 |
2 |
КО |
6 |
3 |
||
|
9.2.4.5 находить с помощью единичной окружности область определения и множество значений тригонометрических функций; |
Знание и понимание. |
1 |
3 |
КО |
2 |
1 |
||
|
9.2.4.6 объяснять с помощью единичной окружности чётность (нечётность), периодичность, монотонность и промежутки знакопостоянства тригонометрических функций; |
Знание и понимание |
1 |
4 |
КО |
3 |
2 |
||
|
9.2.4.3 выводить и применять тригонометрические формулы суммы и разности углов, формулы двойного и половинного угла; |
Применение. |
1 |
5 |
РО |
14 |
6 |
||
|
9.2.4.4 выводить и применять формулы приведения; |
Применение. |
1 |
6 |
РО |
12 |
6 |
||
|
ИТОГО: |
|
|
6 |
|
|
40 |
20 |
20 |
ЗАДАНИЯ СУММАТИВНОГО ОЦЕНИВАНИЯ.
1 ВАРИАНТ
|
Оценивание заданий работы |
||||||
|
№ задания |
1 |
2 |
3 |
4 |
5 |
6 |
|
Количество баллов |
2 |
3 |
1 |
2 |
6 |
6 |
|
Всего баллов |
20 баллов |
|||||
1. В
прямоугольном треугольнике один острый угол равен
. Найдите градусные и
радианные меры недостающих углов этого
треугольника.

2.Используя данные рисунка,
найдите значение тригонометрических функций
синуса,
косинуса и тангенса для угла
.
3.Найдите
наибольшее и наименьшее значение выражения
4.Определите четность (нечетность) и
периодичность функции
.
5. Докажи,
что значение выражения не зависит от синуса и косинуса
.
6.Докажи
тождество:
Схема выставления баллов 1 варианта.
|
№ п/п |
Ответ. |
Балл |
Дополнительная информация. |
|
1. |
|
1 |
Углы А и В могут быть записаны наоборот. |
|
|
1 |
|
|
|
2. |
|
1 |
Принимается альтернативный ответ. |
|
|
1 |
|
|
|
|
1 |
|
|
|
3. |
|
1 |
|
|
4. |
|
1 |
|
|
|
1 |
Принимается альтернативный ответ. |
|
|
5. |
ОЗ:
|
1 |
|
|
|
1 |
|
|
|
|
1 |
|
|
|
|
1 |
|
|
|
|
1 |
|
|
|
|
1 |
|
|
|
6. |
|
1 |
|
|
|
1 |
|
|
|
|
1 |
|
|
|
|
1 |
|
|
|
|
1 |
|
|
|
|
1 |
Принимается альтернативный ответ. |
|
|
ИТОГО: |
20 |
|
|
2 ВАРИАНТ
|
Оценивание заданий работы |
||||||
|
№ задания |
1 |
2 |
3 |
4 |
5 |
6 |
|
Количество баллов |
2 |
3 |
1 |
2 |
6 |
6 |
|
Всего баллов |
20 баллов |
|||||
1. В
прямоугольном треугольнике один острый угол равен
. Найдите градусные и
радианные меры недостающих углов этого
треугольника.

2.Используя данные рисунка,
найдите значение тригонометрических функций
синуса,
косинуса и котангенса для угла
.
3.Найдите
наибольшее и наименьшее значение выражения
4.Определите четность (нечетность) и
периодичность функции
.
5. Докажи,
что значение выражения не зависит от синуса и косинуса
.
6.Докажи
тождество:
Схема выставления баллов 2 варианта.
|
№ п/п |
Ответ. |
Балл |
Дополнительная информация. |
|
1. |
|
1 |
Углы А и В могут быть записаны наоборот. |
|
|
1 |
|
|
|
2. |
|
1 |
Принимается альтернативный ответ. |
|
|
1 |
|
|
|
|
1 |
|
|
|
3. |
|
1 |
|
|
4. |
|
1 |
|
|
|
1 |
Принимается альтернативный ответ. |
|
|
5. |
ОЗ:
|
1 |
|
|
|
1 |
|
|
|
|
1 |
|
|
|
|
1 |
|
|
|
|
1 |
|
|
|
|
1 |
|
|
|
6. |
|
1 |
|
|
|
1 |
|
|
|
|
1 |
|
|
|
|
1 |
|
|
|
|
1 |
|
|
|
|
1 |
Принимается альтернативный ответ. |
|
|
ИТОГО: |
20 |
|
|
3 ВАРИАНТ
|
Оценивание заданий работы |
||||||
|
№ задания |
1 |
2 |
3 |
4 |
5 |
6 |
|
Количество баллов |
2 |
3 |
1 |
2 |
6 |
6 |
|
Всего баллов |
20 баллов |
|||||
-
В
прямоугольном треугольнике катеты равны между собой. Найдите
градусные и радианные меры углов этого
треугольника.
-
Используя данные рисунка,
найдите значение тригонометрических функций
синуса,
косинуса и тангенса для угла
.
-
Найдите наибольшее и наименьшее значение выражения
-
Определите четность (нечетность) и периодичность функции
. -
Вычисли
,
если
. -
Докажи тождество:
Схема выставления баллов 3 варианта.
|
№ п/п |
Ответ. |
Балл |
Дополнительная информация. |
|
1. |
|
1 |
|
|
|
1 |
|
|
|
2. |
|
1 |
|
|
|
1 |
Принимается альтернативный ответ. |
|
|
|
1 |
|
|
|
3. |
|
1 |
|
|
4. |
|
1 |
|
|
|
1 |
Принимается альтернативный ответ. |
|
|
5. |
|
1 |
|
|
|
1 |
|
|
|
|
1 |
|
|
|
|
1 |
|
|
|
|
1 |
|
|
|
|
1 |
|
|
|
6. |
|
1 |
|
|
|
1 |
|
|
|
|
1 |
|
|
|
|
1 |
|
|
|
|
1 |
|
|
|
|
1 |
Принимается альтернативный ответ. |
|
|
ИТОГО: |
20 |
|
|
4 ВАРИАНТ
|
Оценивание заданий работы |
||||||
|
№ задания |
1 |
2 |
3 |
4 |
5 |
6 |
|
Количество баллов |
2 |
3 |
1 |
2 |
6 |
6 |
|
Всего баллов |
20 баллов |
|||||
1
. В
прямоугольном треугольнике один из катетов равен половине
гипотенузы. Найдите градусные и радианные меры углов этого
треугольника.
2.Используя данные рисунка,
найдите значение тригонометрических функций
синуса,
косинуса и котангенса для угла
.
3.Найдите
наибольшее и наименьшее значение выражения
4.Определите четность (нечетность) и
периодичность функции
.
5.
Вычисли
,
если
.
6.Докажи
тождество:
Схема выставления баллов 4 варианта.
|
№ п/п |
Ответ. |
Балл |
Дополнительная информация. |
|
1. |
|
1 |
Углы А и В могут быть записаны наоборот. |
|
|
1 |
|
|
|
2. |
|
1 |
|
|
|
1 |
Принимается альтернативный ответ. |
|
|
|
1 |
|
|
|
3. |
|
1 |
|
|
4. |
|
1 |
|
|
|
1 |
Принимается альтернативный ответ. |
|
|
5. |
|
1 |
|
|
|
1 |
|
|
|
|
1 |
|
|
|
|
1 |
|
|
|
|
1 |
|
|
|
|
1 |
|
|
|
6. |
|
1 |
|
|
|
1 |
|
|
|
|
1 |
|
|
|
|
1 |
|
|
|
|
1 |
|
|
|
|
1 |
Принимается альтернативный ответ. |
|
|
ИТОГО: |
20 |
|
|
СПЕЦИФИКАЦИЯ СУММАТИВНОГО ОЦЕНИВАНИЯ ЗА 4 ЧЕТВЕРТЬ
Обзор суммативного оценивания за 4 четверть
Продолжительность – 40 минут
Количество баллов – 20
Типы заданий:
КО – задания, требующие краткого ответа;
РО – задания, требующие развернутого ответа.
Структура суммативного оценивания
Данный вариант состоит из 6 заданий, включающих вопросы с кратким и развернутым ответами.
В вопросах, требующих краткого ответа, обучающийся записывает ответ в виде численного значения, слова или короткого предложения.
В вопросах, требующих развернутого ответа, обучающийся должен показать всю последовательность действий в решении заданий для получения максимального балла. Оценивается способность обучающегося выбирать и применять математические приемы в ряде математических контекстов. Задание может содержать несколько структурных частей/ вопросов.
Характеристика заданий суммативного оценивания за 4 четверть
|
Раздел |
Проверяемая цель |
Уровень мыслительных навыков |
Кол. заданий |
№ задания |
Тип задания |
Время выполнения, мин |
Балл |
Балл за раздел |
|
Тригонометрия |
9.2.4.7 выводить и применять формулы преобразования суммы и разности тригонометрических функций в произведение и произведение в сумму и разность |
Применение |
1 |
5 |
РО |
8 |
3 |
8 |
|
9.2.4.8 Выполнять тождественные преобразования тригонометрических выражений |
Навыки высокого порядка |
1 |
6 |
РО |
8 |
5 |
||
|
Элементы теории вероятности |
9.3.2.2 различать элементарные события от неэлементарных |
Знание и понимание |
1 |
1 |
КО |
4 |
2 |
12 |
|
9.3.2.4 знать статистическое определение вероятности |
Знание и понимание |
1 |
3 |
КО |
5 |
2 |
||
|
9.3.2.3 знать классическое определение вероятности и применять его для решения задач |
Применение |
1 |
2 |
РО |
10 |
5 |
||
|
9.3.2.5 применять геометрическую вероятность при решении задач |
Применение |
1 |
4 |
КО |
5 |
3 |
||
|
Итого |
6 |
|
|
40 |
20 |
20 |
||
Задания и схема выставления баллов
|
Оценивание заданий работы |
|||||
|
№ задания |
1 |
2 |
3 |
4 |
5 |
|
Количество баллов |
5 |
3 |
5 |
4 |
3 |
|
Всего баллов |
20 баллов |
||||
ВАРИАНТ 1
1. Проверьте,
что:
.
2. Преобразовать в
произведение ![]()
3. Из квадрата ABCD со стороной 12 см случайным образом выбирается точка Х. Найдите вероятность того, что эта точка принадлежит трапеции AMСD, если точка M делит отрезок BС в отношении 1:2, считая от точки В.
4. Из собранных 10 велосипедов только 7 не имеют дифектов. Какова вероятность того, что 4 выбранных велосипеда из этих 10 окажутся без дифекта?
5. В урне 10 шаров: 6 белых и 4 черных. Вынули два шара. Какова вероятность, что оба шара белые?
ВАРИАНТ 2
1.
Проверьте, что:
2. Преобразовать в
произведение ![]()
3. Из урны, в которой находится 4 белых, 9 чёрных и 7 красных шаров, наугад вынимают один шар. Какова вероятность событий: А- появление белого шара; В- появление чёрного шара; С- появление красного шара; D- появление зелёного шара?
4. Что вероятнее: А={получить шестёрку при подбрасывании кубика} или В={вытянуть шестерку из перетасованной колоды карт}?
5. В круг вписан правильный шестиугольник. Найти вероятность того, что точка, наудачу брошенная в круг, не попадёт в правильный шестиугольник, вписанный в него.
ВАРИАНТ 3
1.
Проверьте, что: ![]()
2. Преобразовать в
произведение ![]()
3. В урне находится 30 шаров: 10 белых 15 красных и 5 синих. Найдите вероятность появления цветного шара.
4. Из колоды в 32 карты вынимают наугад три карты. Найдем вероятность того, что среди вынутых карт будет хотя бы один туз.
5. В квадрат со стороной 4 см «бросают» точку. Какова вероятность, что расстояние от этой точки до ближайшей стороны квадрата будет меньше 1 см?
ВАРИАНТ 4
1.
Проверьте, что: ![]()
2. Преобразовать в
произведение ![]()
3.В урне находится 36 шаров: 8 белых, 4 черных, 16 синих и 8 красных. Из урны извлекают один шар, Какова вероятность того, что этод шар окажется: а) белым или черным; б) синим или красным; в) не белым?
4. Вероятность попадания в цель при стрельбе из первого орудия равна 0,8, а при стрельбе из второго орудия равна 0,7. Найдем вероятность хотя бы одного попадания в цель, если каждое орудие сделало по одному выстрелу.
5. В круг с радиусом 8 см «бросают» точку. Какова вероятность, что расстояние от этой точки до ближайшей стороны круга будет меньше 2 см?
Схема выставления баллов
Вариант 1
|
№ |
Ответ |
Балл |
Доолнительная информация |
|
1 |
|
1 |
|
|
|
1 |
||
|
|
1 |
||
|
|
1 |
||
|
выполняет преобразование и делает вывод о равенстве:
|
1 |
||
|
2 |
|
1 |
|
|
|
1 |
||
|
= |
1 |
||
|
3 |
Верно построен чертёж по условию задачи
|
1 |
|
|
Вычислил основания трапеции: АД=12см ВМ=8 см |
1 |
||
|
Вычислил
площадь трапеции SAMCD= |
1 |
||
|
SABCD=AB2= 122=144 |
1 |
||
|
Вычислил вероятность попадания точки в трапецию
|
1 |
||
|
4 |
|
1 |
|
|
|
1 |
||
|
. |
1 |
||
|
Делает
вычисление |
1 |
||
|
5 |
|
1 |
|
|
|
1 |
||
|
|
1 |
||
|
ВСЕГО БАЛЛОВ |
20 |
|
|
Вариант 2
|
№ |
Ответ |
Балл |
Доолнительная информация |
|
1 |
|
1 |
|
|
|
1 |
||
|
|
1 |
||
|
|
1 |
||
|
выполняет преобразование и делает вывод о равенстве:
|
1 |
||
|
2 |
|
1 |
|
|
|
1 |
||
|
|
1 |
||
|
3 |
|
1 |
|
|
|
1 |
||
|
|
1 |
||
|
Опытов, в результате которых может быть вынут зеленый шар m=0 и P(D)=0. |
1 |
||
|
4 |
Вероятность получить шестёрку на кубике |
1 |
|
|
Вероятность вытянуть шестёрку из колоды карт
|
1 |
|
|
|
Ответ:
|
1 |
|
|
|
5 |
Определяет соотношение между радиусом и круга и и стороной шестиугольника ( r=а) |
1 |
|
|
Sкруга= πr2 |
1 |
|
|
|
|
1 |
|
|
|
|
1 |
|
|
|
|
1 |
|
|
|
ВСЕГО БАЛЛОВ |
20 |
|
|
Вариант 3
|
№ |
Ответ |
Балл |
Доолнительная информация |
|
1 |
|
1 |
|
|
|
1 |
||
|
|
1 |
||
|
|
1 |
||
|
выполняет преобразование и делает вывод о равенстве:
|
1 |
||
|
2 |
|
1 |
|
|
|
1 |
||
|
|
1 |
||
|
3 |
Вероятность появления красного шара (А) равна
|
1 |
|
|
Вероятность появления синиго шара (В) равна
|
1 |
||
|
Вероятность появления цветного
шара (либо красного,либо синего)
равна |
1 |
||
|
4 |
использует понятие противоположного события и формулу Р(А)
= 1 — Р( |
1 |
|
|
равновозможные исходы |
1 |
|
|
|
благоприятные
события |
1 |
|
|
|
Р( |
1 |
|
|
|
Р( |
1 |
|
|
|
Р(А)
= 1 — Р( . |
1 |
|
|
|
|
Отмечает множество точек, удаленных от ближайшей стороны меньше, чем на 1 см. |
1 |
|
|
S = 16см2 – 4см2 = 12см2. |
1 |
|
|
|
|
1 |
|
|
|
ВСЕГО БАЛЛОВ |
20 |
|
|
Вариант 4
|
№ |
Ответ |
Балл |
Доолнительная информация |
|
1 |
|
1 |
|
|
|
1 |
||
|
|
1 |
||
|
|
1 |
||
|
выполняет преобразование и делает вывод о равенстве: 0=0 |
1 |
||
|
2 |
|
1 |
|
|
|
1 |
||
|
|
1 |
||
|
3 |
|
1 |
|
|
|
1 |
||
|
|
1 |
||
|
4 |
использует понятие противоположного события и формулу Р(А)
= 1 — Р( |
1 |
|
|
|
1 |
|
|
|
|
1 |
|
|
|
А и
|
1 |
|
|
|
Р( |
1 |
|
|
|
Р(А)
= 1 — Р( |
1 |
|
|
|
|
О
|
1 |
|
|
|
S = 64πсм2 – 16πсм2 = 48πсм2. |
1 |
|
|
|
|
1 |
|
|
ВСЕГО БАЛЛОВ |
20 |
|
|
ГЕОМЕТРИЯ
СУММАТИВНОЕ ОЦЕНИВАНИЕ
ЗА РАЗДЕЛ «ВЕКТОРЫ НА ПЛОСКОСТИ»
|
Тема |
Вектор. Действия над векторами. Координаты вектора. Действия над векторами, записанными в координатной форме. |
|
Цели обучения |
9.1.4.3 применять условие коллинеарности векторов; 9.1.3.1 находить координаты вектора; 9.1.4.6 находить скалярное произведение векторов; 9.1.3.5 вычислять угол между векторами. |
|
Критерии оценивания |
Обучающийся Находит значение переменной при котором вектора коллинеарные Вычисляет координаты вектора Находит скалярное произведение векторов Определяет косинус меньшего угла треугольника |
|
Уровень мыслительных навыков |
Применение |
|
Время выполнения |
25 минут |
ЗАДАНИЯ
|
Оценивание заданий работы |
||||
|
№ задания |
1 |
2 |
3 |
4 |
|
Количество баллов |
3 |
2 |
3 |
6 |
|
Всего баллов |
14 баллов |
|||
1 ВАРИАНТ
-
При каком значении d векторы
и
коллинеарные, если М(-2;-1),
О(4;-3), С(-1; d-1), К(-4;-1) -
Найдите координаты вектора
,
если
. -
Стороны квадрата МОКС равны единице. Вычислите
. -
Известны координаты вершин треугольника СРМ: С(-2;8), Р(6;2), М(2;-6). Определите косинус меньшего угла треугольника.
|
Критерий оценивания |
№ задания |
Дескриптор |
Балл |
|
Обучающийся |
|||
|
Находит значение переменной при котором вектора коллинеарные |
1 |
Находит координаты векторов
|
1 |
|
Использует условие коллинеарности |
1 |
||
|
Находит значение d |
1 |
||
|
Вычисляет координаты вектора |
2 |
Умножает координаты вектора на число |
1 |
|
Находит разность векторов |
1 |
||
|
Находит скалярное произведение векторов |
3 |
Определяет направление вектора
|
1 |
|
Находит угол между векторами
|
1 |
||
|
Вычисляет |
1 |
||
|
Определяет косинус меньшего угла треугольника |
4 |
Находит длину вектора СР |
1 |
|
Находит длину вектора РМ |
1 |
||
|
Находит длину вектора СМ |
1 |
||
|
Определяет меньший угол треугольника |
1 |
||
|
Находит скалярное произведение векторов |
1 |
||
|
Вычисляет косинус угла, используя формулу |
1 |
||
|
Общий балл |
14 |
||
2 ВАРИАНТ
-
При каком значении d векторы
и
коллинеарные, если М(5;4),
О(0;3), С(4; d-1), К(9;8). -
Найдите координаты вектора
,
если
. -
Стороны квадрата МОКС равны единице. Вычислите
. -
Известны координаты вершин треугольника СРМ: С(-5;7), Р(3;-1), М(-1;-9). Определите косинус меньшего угла треугольника.
|
Критерий оценивания |
№ задания |
Дескриптор |
Балл |
|
Обучающийся |
|||
|
Находит значение переменной, при котором вектора коллинеарные |
1 |
Находит координаты векторов
|
1 |
|
Использует условие коллинеарности |
1 |
||
|
Находит значение d |
1 |
||
|
Вычисляет координаты вектора |
2 |
Умножает координаты вектора на число |
1 |
|
Находит разность векторов |
1 |
||
|
Находит скалярное произведение векторов |
3 |
Находит вектор МК |
1 |
|
Записывает полученное равенство
|
1 |
||
|
Вычисляет |
1 |
||
|
Определяет косинус меньшего угла треугольника |
4 |
Находит длину вектора СР |
1 |
|
Находит длину вектора РМ |
1 |
||
|
Находит длину вектора СМ |
1 |
||
|
Определяет меньший угол треугольника |
1 |
||
|
Находит скалярное произведение векторов |
1 |
||
|
Вычисляет косинус угла, используя формулу |
1 |
||
|
Общий балл |
14 |
||
-
ВАРИАНТ
-
При каком значении d векторы
и
коллинеарные, если М(3;-4),
О(-5;3), С(1; d+1), К(9;-5). -
Найдите координаты вектора
,
если
. -
В равностороннем треугольнике МОК сторона равна 1. Вычислите
. -
Известны координаты вершин треугольника СРМ: С(1;1), Р(3;-1), М(7;3). Определите косинус меньшего угла треугольника.
4 ВАРИАНТ
-
При каком значении d векторы
и
коллинеарные, если М(-1;3),
О(2;-4), С(-3; 2-d), К(5;2). -
Найдите координаты вектора
,
если
. -
В равностороннем треугольнике МОК сторона равна 1. Вычислите
. -
Известны координаты вершин треугольника СРМ: С(1;1), Р(4;1), М(4;5). Определите косинус меньшего угла треугольника.
Вариант 3-4
|
Критерий оценивания |
№ задания |
Дескриптор |
Балл |
|
Обучающийся |
|||
|
Находит значение переменной, при котором вектора коллинеарные |
1 |
Находит координаты векторов
|
1 |
|
Использует условие коллинеарности |
1 |
||
|
Находит значение d |
1 |
||
|
Вычисляет координаты вектора |
2 |
Умножает координаты вектора на число |
1 |
|
Находит разность векторов |
1 |
||
|
Находит скалярное произведение векторов |
3 |
Находит градусную меру угла между векторами |
1 |
|
Вычисляет модули векторов |
1 |
||
|
Умножает модули векторов и косинус угла между ними |
1 |
||
|
Определяет косинус меньшего угла треугольника |
4 |
Находит длину вектора СР |
1 |
|
Находит длину вектора РМ |
1 |
||
|
Находит длину вектора СМ |
1 |
||
|
Определяет меньший угол треугольника |
1 |
||
|
Находит скалярное произведение векторов |
1 |
||
|
Вычисляет косинус угла, используя формулу |
1 |
||
|
Общий балл |
14 |
||
РУБРИКА ДЛЯ ПРЕДОСТАВЛЕНИЯ ИНФОРМАЦИИ РОДИТЕЛЯМ
ПО ИТОГАМ СУММАТИВНОГО ОЦЕНИВАНИЯ
ЗА РАЗДЕЛ «ВЕКТОРЫ НА ПЛОСКОСТИ»
ФИ ОБУЧАЮЩЕГОСЯ_______________________________________________________
|
Критерий оценивания |
Уровень учебных достижений |
||
|
Низкий |
Средний |
Высокий |
|
|
Находит значение переменной при котором вектора коллинеарные |
Затрудняется в нахождении координат векторов/ использовании условия коллинеарности |
Допускает ошибки при нахождении координат векторов/ нахождении значения переменной |
Находит значение перемеенной пр котором вектора коллинеарны |
|
Вычисляет координаты вектора |
Затрудняется в нахождении координат вектора |
Допускает ошибки при умножении координат вектора на число/нахождении разности векторов/при вычислении абсциссы (ординаты) |
Находит координаты вектора |
|
Находит скалярное произведение векторов |
Затрудняется в нахождении скалярного произведения векторов |
Допускает ошибки при высилении скалярного произведения векторов/ нахождении угла между векторами |
Находит скалярное произведение веткоров |
|
Определяет косинус меньшего угла треугольника |
Затрудняется в нахождении длин векторов / использовании скалярного произведения векторов для вычисления косинуса меньшего угла треугольника |
Допускает вычислительные ошибки при нахождении модулей векторов/ скалярного произведения векторов в координатах/ вычислении угла между векторами. Затрудняется в нахождении меньшего угла тругольника. |
Применяет скалярное произведение векторов для вычисления косинуса меньшего угла треугольника |
СУММАТИВНОЕ ОЦЕНИВАНИЕ
ЗА РАЗДЕЛ «ПРЕОБРАЗОВАНИЯ ПЛОСКОСТИ»
|
Тема |
Движение и его свойства. Гомотетия и ее свойства. Подобные фигуры и их свойства. Признаки подобия треугольников. |
|
Цели обучения |
9.1.4.8 знать виды, композиции движений и их свойства; 9.1.4.9 строить образы фигур при симметриях, параллельном переносе, повороте; 9.1.4.11 знать определение и свойства гомотетии; 9.1.4.15 знать и применять подобие прямоугольных треугольников; 9.1.4.17 знать формулу зависимости между площадями подобных фигур и коэффициентом подобия; |
|
Критерии оценивания |
Обучающийся Применяет осевую и центральную симметрию для построения образа фигуры Определяет центр и коэффициент гомотетии Применяет подобие прямоугольных треугольников Применяет формулу зависимости между площадями подобных фигур и коэффициентом подобия |
|
Уровень мыслительных навыков |
Знание и понимание Применение |
|
Время выполнения |
25 минут |
ЗАДАНИЯ
|
Оценивание заданий работы |
||||
|
№ задания |
1 |
2 |
3 |
4 |
|
Количество баллов |
2 |
3 |
5 |
5 |
|
Всего баллов |
15 баллов |
|||
1 ВАРИАНТ
1. Дана фигура Н.
а) отобразите фигуру Н относительно Ох и обозначьте М.
b) Отобразите фигуру Н относительно начала координат и обозначьте Р.

2. Укажите преобразование подобия и полностью опишите его, переводящее фигуру Р в фигуру С.

3. Человек, находясь у подножия горы (точка М) видит верх столба (точка К) и верхнюю точку скалы (Р), причем точки М, К и Р расположены на одной прямой. Найти высоту скалы от подножия, если расстояние от человека до столба равно 300 м, а до подножия горы – 900 метров. Высота столба равна 6 м.
4. Площадь
треугольника МОК равна 200
, а площадь подобного ему
треугольника
равна 50
. Найти
, если МО= 12
см.
2 ВАРИАНТ
1. Дана фигура Н.
а) отобразите фигуру Н относительно Ох и обозначьте М.
b) Отобразите фигуру Н относительно начала координат и обозначьте Р.

2. Укажите преобразование подобия и полностью опишите его, с помощью которого была получена фигура К из фигуры С.

3. Человек, находясь у подножия горы (точка М) видит верх столба (точка К) и верхнюю точку скалы (Р), причем точки М, К и Р расположены на одной прямой. Найти высоту скалы от подножия, если расстояние от человека до столба равно 400 м, а до подножия горы – 1000 метров. Высота столба равна 7 м.
4. Площадь
треугольника МОК равна 400
, а площадь подобного ему
треугольника
равна 100
. Найти
, если МО= 24
см.
Вариант 1-2
|
Критерий оценивания |
№ задания |
Дескриптор |
Балл |
|
Обучающийся |
|||
|
Применяет осевую и центральную симметрию для построения образа фигуры |
1 |
Строит симметричную фигуру относительно оси симметрии |
1 |
|
Строит симметричную фигуру относительно центра симметрии |
1 |
||
|
Определяет центр и коэффициент гомотетии |
2 |
Определяет вид преобразования |
1 |
|
Записывает центр гомотетии |
1 |
||
|
Записывает коэффициент гомотетии |
1 |
||
|
Применяет подобие прямоугольных треугольников |
3 |
Верно построен чертеж |
1 |
|
Доказывает подобие прямоугольных треугольников |
1 |
||
|
Вычисляет расстояние между двумя точками |
1 |
||
|
Составляет равенство отношений сторон подобных треугольников |
1 |
||
|
Определяет высоту скалы |
1 |
||
|
Применяет формулу зависимости между площадями подобных фигур и коэффициентом подобия |
4 |
Выполняет построение чертежа и условие |
1 |
|
Находит отношение площадей треугольников |
1 |
||
|
Вычисляет коэффициент подобия |
1 |
||
|
Записывает отношение сторон |
1 |
||
|
Находит длину стороны |
1 |
||
|
Общий балл |
15 |
||
3 ВАРИАНТ
1. Дана фигура Н.
а) отобразите фигуру Н относительно Оу и обозначьте М.
b) Отобразите фигуру Н относительно начала координат и обозначьте Р.

2. Укажите преобразование подобия и полностью опишите его, с помощью которого была получена фигура М из фигуры Т.
![]()
3. Мальчик ростом 0,9 м стоит на расстоянии 6 м от столба, на котором висит фонарь на высоте 2,7 м. Найти длину тени мальчика в метрах.
4.
Коэффициент подобия треугольников СОР и
равен 3. Найти площадь
треугольника
, если
СО=2,5 см, ОС=2 см, а угол между этими сторонами равен
.
4 ВАРИАНТ
1. Дана фигура Н.
а) отобразите фигуру Н относительно Оу и обозначьте М.
b) Отобразите фигуру Н относительно начала координат и обозначьте Р.

2. Укажите преобразование подобия и полностью опишите его, с помощью которого была получена фигура М из фигуры Т.

3. Дерево высотой 2,7 м стоит на расстоянии 9 м от столба, на котором висит фонарь на высоте 8,1 м. Найти длину тени мальчика в метрах.
4.
Коэффициент подобия треугольников СОР и
равен 2. Найти площадь
треугольника
, если
СО=10 см, ОС=8 см, а угол между этими сторонами равен
.
Вариант 3-4
|
Критерий оценивания |
№ задания |
Дескриптор |
Балл |
|
Обучающийся |
|||
|
Применяет осевую и центральную симметрию для построения образа фигуры |
1 |
Строит симметричную фигуру относительно оси симметрии |
1 |
|
Строит симметричную фигуру относительно центра симметрии |
1 |
||
|
Определяет центр и коэффициент гомотетии |
2 |
Определяет вид преобразования |
1 |
|
Записывает центр гомотетии |
1 |
||
|
Записывает коэффициент гомотетии |
1 |
||
|
Применяет подобие прямоугольных треугольников |
3 |
Верно построен чертеж |
1 |
|
Доказывает подобие прямоугольных треугольников |
1 |
||
|
Вычисляет расстояние между двумя точками |
1 |
||
|
Составляет равенство отношений сторон подобных треугольников |
1 |
||
|
Определяет длину тени |
1 |
||
|
Применяет формулу зависимости между площадями подобных фигур и коэффициентом подобия |
4 |
Выполняет построение чертежа и условие |
1 |
|
Находит площадь треугольника |
1 |
||
|
Вычисляет коэффициент подобия, применяя формулу зависимости между площадями подобных фигур |
1 |
||
|
Записывает отношение площадей |
1 |
||
|
Вычисляет площадь заданного треугольника |
1 |
||
|
Общий балл |
15 |
||
РУБРИКА ДЛЯ ПРЕДОСТАВЛЕНИЯ ИНФОРМАЦИИ РОДИТЕЛЯМ
ПО ИТОГАМ СУММАТИВНОГО ОЦЕНИВАНИЯ ЗА РАЗДЕЛ
«ПРЕОБРАЗОВАНИЯ ПЛОСКОСТИ»
ФИ ОБУЧАЮЩЕГОСЯ ______________________________________________________
|
Критерий оценивания |
Уровень учебных достижений |
||
|
Низкий |
Средний |
Высокий |
|
|
Применяет осевую и центральную симметрию для построения образа фигуры
|
Затрудняется в построении образа фигуры при заданном преобразовании |
Применяет осевую и центральную симметрию для построения образа фигуры, допускает погрешности в построении образа фигуры при осевой/центральной симметрии |
Строит образы фигуры при заданном преобразовании |
|
Определяет центр и коэффициент гомотетии
|
Затрудняется в опредлении центра и коэффициента по чертежу |
Допускает ошибки при определении центра/ коэффициента гомотетии |
Находит центр и коэффициент гомотетии |
|
Применяет подобие прямоугольных треугольников
|
Затрудняется в доказательстве подобных трегуольников |
Допускате вычислительные ошибки при нахождении неизвестных |
Решает задачи с применением подобия прямоугольных треугольников |
|
Применяет формулу зависимости между площадями подобных фигур и коэффициентом подобия |
Затрудняется в применении формулы зависимости между площадями подобных фигур и коэффициентом подобия |
Допускает ошибки при вычислении коэффициента подобия / сьтороны треугольника /площади заданного треугольника/ |
Применяет формулу зависимости между площадями подобных фигур и коэффициентом подобия при решении задач |
СУММАТИВНОЕ ОЦЕНИВАНИЕ
ЗА РАЗДЕЛ «РЕШЕНИЕ ТРЕУГОЛЬНИКОВ»
|
Тема |
Решение треугольников |
|
Цели обучения |
9.1.3.6 Знать и применять теорему косинусов 9.1.3.7 Знать и применять теорему синусов 9.1.3.9 Знать и применять формулы для нахождения радиуса окружности, используя площади вписанных и описанных треугольников |
|
Критерии оценивания |
Обучающийся Знает теорему синусов и теорему косинусов Применяет теорему синусов для решения задач Применяет теорему косинусов для решения задач Решает задачи на нахождение радиуса описанной около треугольника окружностей |
|
Уровень мыслительных навыков |
навыки высокого порядка |
|
Время выполнения |
25 минут |
Примечание: Таблицы Брадиса
ЗАДАНИЯ
|
Оценивание заданий работы |
||||
|
№ задания |
1 |
2 |
3 |
4 |
|
Количество баллов |
2 |
4 |
4 |
4 |
|
Всего баллов |
14 баллов |
|||
1 ВАРИАНТ
1. Задан треугольник: Определите, какие из следующих выражений истинны:
С
1)![]()
2)
![]()
3)
![]()
4)
![]()
А
В 5)![]()
6)
![]()
7)
![]()
2. В треугольнике АВС: АС=0,59дм,
,
. Найдите ВС?
3. Стороны треугольника равны 16,86; 15 и 20дм. Найдите угол, лежащий напротив меньшей стороны.
4. В равнобедренном треугольнике боковая сторона равна 13 см, основание равно 24 см. Найдите радиус вписанной в этот треугольник и радиус описанной около этого треугольника окружности.
2 ВАРИАНТ
1.Задан треугольник: Определите, какие из следующих выражений истинны:
F
1)![]()
2)
![]()
3)
![]()
4)
![]()
M
R 5)![]()
6)
![]()
7)
![]()
2. В треугольнике ЕКР: NР=0,75дм,
,
. Найдите РК?
3. Стороны треугольника равны 8; 12,47 и 16дм. Найдите угол, лежащий против напротив меньшей стороны
4. В равнобедренном треугольнике боковая сторона равна 20 см, основание равно 32 см. Найдите радиус вписанной в этот треугольник и радиус описанной около этого треугольника окружности.
3 ВАРИАНТ
1. Задан треугольник: Определите, какие из следующих выражений истинны:
B
1) ![]()
2)
![]()
3)
![]()
4)
![]()
F
D 5)![]()
6)
![]()
7)
![]()
2. В треугольнике MNР: NР=20дм,
,
. Найдите РM?
3. Стороны треугольника равны 8; 7 и 2 дм. Найдите угол, лежащий против напротив меньшей стороны.
4 . В равнобедренном треугольнике боковая сторона равна 10 см, основание равно 16 см. Найдите радиус вписанной в этот треугольник и радиус описанной около этого треугольника окружности.
4 ВАРИАНТ
1. Задан треугольник: Определите, какие из следующих выражений истинны:
L
1) ![]()
2)
![]()
3)
![]()
4)
![]()
K
M 5)![]()
6)
![]()
7)
2. В треугольнике ADM: AM=12дм,
,
. Найдите DM?
3. Стороны треугольника равны 15; 24 и 18дм. Найдите угол, лежащий против напротив меньшей стороны
4 . В равнобедренном треугольнике боковая сторона равна 10 см, основание равно 12 см. Найдите радиус вписанной в этот треугольник и радиус описанной около этого треугольника окружности.
|
Критерий оценивания |
№ задан |
Дескриптор |
балл |
|
Обучающийся: |
|||
|
Знает теорему синусов и теорему косинусов |
1 |
Находит соответствие для теоремы косинусов |
1 |
|
Находит соответствие для теоремы синусов |
1 |
||
|
Применяет теорему синусов для решения задач |
2 |
Находит третий угол треугольника |
1 |
|
Использует теорему синусов |
1 |
||
|
Находит вторую сторону треугольника |
1 |
||
|
Находит третью сторону треугольника |
1 |
||
|
Применяет теорему косинусов для решения задач |
3 |
Находит наименьший угол треугольника |
1 |
|
Использует теорему косинусов |
1 |
||
|
Находит косинус угла |
1 |
||
|
Находит угол используя таблицу Брадиса |
1 |
||
|
Решает задачи на нахождение радиусов вписанной в треугольник и описанной около треугольника окружностей |
4 |
Вычисляет площадь треугольника |
1 |
|
Использует формулы нахождения радиуса описанной и вписанной окружностей |
1 |
||
|
Находит радиус вписанной окружности |
1 |
||
|
Находит радиус описанной окружности |
1 |
||
|
Всего баллов |
|
14 |
|
РУБРИКА ДЛЯ ПРЕДОСТАВЛЕНИЯ ИНФОРМАЦИИ РОДИТЕЛЯМ
ПО ИТОГАМ СУММАТИВНОГО ОЦЕНИВАНИЯ
ЗА РАЗДЕЛ «РЕШЕНИЕ ТРЕУГОЛЬНИКОВ»
ФИ ОБУЧАЮЩЕГОСЯ_____________________________________________________
|
Критерий оценивания |
Уровень учебных достижений |
||
|
Низкий |
Средний |
Высокий |
|
|
Определяет формулы теоремы косинусов, теоремы синусов |
Затрудняется в нахождении формул |
Допускает ошибки при нахождении формул |
Верно определяет истинное выражение теоремы косинусов и теоремы синусов |
|
Применяет теорему синусов при решении задач |
Затрудняется в применении теоремы синусов |
Допускает ошибки в вычислениях / преобразованиях |
Использует теорему синусов для решения задач |
|
Применяет теорему косинусов при решении задач |
Затрудняется в применении теоремы косинусов |
Допускает ошибки в вычислениях / преобразованиях |
Решает задачи, применяя теорему косинусов |
|
Решает задачи на нахождение радиусов вписанной и описанной окружностей |
Затрудняется при решении задач на нахождение радиусов вписанной и описанной окружностей |
Допускает ошибки в вычислениях/ при нахождении радиуса описанной окружности / радиуса вписанной окружности |
Решает задачи на нахождение радиусов вписанной и описанной окружностей |
СУММАТИВНОЕ ОЦЕНИВАНИЕ
ЗА РАЗДЕЛ «ОКРУЖНОСТЬ. МНОГОУГОЛЬНИКИ»
|
Тема |
Окружность и круг. Длина дуги. Площади круга, сектора и сегмента. Правильные многоугольники, их свойства и симметрии |
|
Цели обучения |
9.1.2.1 Знать и применять свойства и признаки вписанных и описанных четырёхугольников 9.1.2.2 Знать определение и свойства правильных многоугольников 9.1.1.1 Выводить и применять формулу длины дуги 9.1.1.2 Выводить и применять формулу площади сектора, сегмента 9.1.1.4 Знать и применять теоремы о пропорциональности отрезков в круге 9.1.1.3 Знать определение вписанного угла и его свойства |
|
Критерии оценивания |
Обучающийся Решает задачи с помощью теорем о вписанных и описанных четырёхугольниках Применяет свойства правильных многоугольников при решении задач Применяет формулы длины дуги и площади сектора Применяет теоремы о пропорциональности отрезков хорд Вычисляет градусные меры углов, связанных с окружностью |
|
Уровень мыслительных навыков |
Применение Навыки высокого порядка |
|
Время выполнения |
25 минут |
ЗАДАНИЯ
|
Оценивание заданий работы |
|||
|
№ задания |
1 |
2 |
3 |
|
Количество баллов |
6 |
6 |
3 |
|
Всего баллов |
15 баллов |
||
1 ВАРИАНТ
-
Решите задачи с помощью теорем о вписанных и описанных четырёхугольниках
-
Один из углов трапеции, вписанной в окружность, равен 37,5°. Найдите остальные углы трапеции.
-
Периметр равнобедренной трапеции, описанной около окружности, равен 22 см. Найдите величину боковой стороны трапеции.
-
-
Периметр правильного шестиугольника равен 72 см. Найдите его площадь.
-
Окружность радиусом 2,7 мм разбита на два сектора. Длина дуги второго сектора в три раза больше длины дуги первого.
-
Вычислите длину дуги первого сектора
-
Вычислите площадь второго сектора
-
|
Критерий оценивания |
№ задания |
Дескриптор |
Балл |
|
Обучающийся |
|||
|
Решает задачу с помощью теоремы о вписанных четырёхугольниках |
1a |
Находит величину смежного угла при боковой стороне |
1 |
|
Составляет равенство сумм углов, применяя теорему о вписанных четырёхугольниках |
1 |
||
|
Находит величины оставшихся углов |
1 |
||
|
Решает задачу с помощью теоремы об описанных четырёхугольниках |
1b |
Составляет уравнение, применяя теорему об описанных четырёхугольниках |
1 |
|
Вычисляет полупериметр |
1 |
||
|
Находит величину боковой стороны трапеции |
1 |
||
|
Применяет свойства правильных многоугольников при решении задач |
2 |
Выполняет чертёж |
1 |
|
Разбивает шестиугольник на 6 равносторонних треугольников |
1 |
||
|
Вычисляет высоту равностороннего треугольника (допустимы разные способы) |
1 |
||
|
Сравнивает полученную высоту с радиусом вписанной окружности |
1 |
||
|
Находит полупериметр правильного шестиугольника |
1 |
||
|
Вычисляет площадь шестиугольника |
1 |
||
|
Применяет формулы длины дуги и площади сектора |
3a |
Вычисляет градусные меры секторов |
1 |
|
Находит длину дуги первого сектора |
1 |
||
|
Применяет формулы длины дуги и площади сектора |
3b |
Находит площадь второго сектора по формуле |
1 |
|
Общий балл |
15 |
||
2 ВАРИАНТ
-
Решите задачи с помощью теорем о вписанных и описанных четырёхугольниках
-
Один из углов трапеции, вписанной в окружность, равен 29,4°. Найдите остальные углы трапеции.
-
Периметр равнобедренной трапеции, описанной около окружности, равен 44 см. Найдите величину боковой стороны трапеции.
-
-
Периметр правильного шестиугольника равен 270 см. Найдите его площадь.
-
Окружность радиусом 3,5 мм разбита на два сектора. Длина дуги второго сектора в четыре раза больше длины дуги первого.
-
Вычислите длину дуги первого сектора
-
Вычислите площадь второго сектора
-
|
Критерий оценивания |
№ задания |
Дескриптор |
Балл |
|
Обучающийся |
|||
|
Решает задачу с помощью теоремы о вписанных четырёхугольниках |
1a |
Находит величину смежного угла при боковой стороне |
1 |
|
Составляет равенство сумм углов, применяя теорему о вписанных четырёхугольниках |
1 |
||
|
Находит величины оставшихся углов |
1 |
||
|
Решает задачу с помощью теоремы об описанных четырёхугольниках |
1b |
Составляет уравнение, применяя теорему об описанных четырёхугольниках |
1 |
|
Вычисляет полупериметр |
1 |
||
|
Находит величину боковой стороны трапеции |
1 |
||
|
Применяет свойства правильных многоугольников при решении задач |
2 |
Выполняет чертёж |
1 |
|
Разбивает шестиугольник на 6 равносторонних треугольников |
1 |
||
|
Вычисляет высоту равностороннего треугольника (допустимы разные способы) |
1 |
||
|
Сравнивает полученную высоту с радиусом вписанной окружности |
1 |
||
|
Находит полупериметр правильного шестиугольника |
1 |
||
|
Вычисляет площадь шестиугольника |
1 |
||
|
Применяет формулы длины дуги и площади сектора |
3a |
Вычисляет градусные меры секторов |
1 |
|
Находит длину дуги первого сектора |
1 |
||
|
Применяет формулы длины дуги и площади сектора |
3b |
Находит площадь второго сектора по формуле |
1 |
|
Общий балл |
15 |
||
3 ВАРИАНТ
-
Решите задачи с помощью теорем о вписанных и описанных четырёхугольниках
-
Один из углов трапеции, вписанной в окружность, равен
°. Найдите остальные углы
трапеции. -
Периметр равнобедренной трапеции, описанной около окружности, равен 168 см. Найдите величину боковой стороны трапеции.
-
-
Периметр правильного шестиугольника равен 360 см. Найдите его площадь.
-
Окружность радиусом 6,3 мм разбита на два сектора. Длина дуги второго сектора в два раза больше длины дуги первого.
-
Вычислите длину дуги первого сектора
-
Вычислите площадь второго сектора
-
|
Критерий оценивания |
№ задания |
Дескриптор |
Балл |
|
Обучающийся |
|||
|
Решает задачу с помощью теоремы о вписанных четырёхугольниках |
1a |
Находит величину смежного угла при боковой стороне |
1 |
|
Составляет равенство сумм углов, применяя теорему о вписанных четырёхугольниках |
1 |
||
|
Находит величины оставшихся углов |
1 |
||
|
Решает задачу с помощью теоремы об описанных четырёхугольниках |
1b |
Составляет уравнение, применяя теорему об описанных четырёхугольниках |
1 |
|
Вычисляет полупериметр |
1 |
||
|
Находит величину боковой стороны трапеции |
1 |
||
|
Применяет свойства правильных многоугольников при решении задач |
2 |
Выполняет чертёж |
1 |
|
Разбивает шестиугольник на 6 равносторонних треугольников |
1 |
||
|
Вычисляет высоту равностороннего треугольника (допустимы разные способы) |
1 |
||
|
Сравнивает полученную высоту с радиусом вписанной окружности |
1 |
||
|
Находит полупериметр правильного шестиугольника |
1 |
||
|
Вычисляет площадь шестиугольника |
1 |
||
|
Применяет формулы длины дуги и площади сектора |
3a |
Вычисляет градусные меры секторов |
1 |
|
Находит длину дуги первого сектора |
1 |
||
|
Применяет формулы длины дуги и площади сектора |
3b |
Находит площадь второго сектора по формуле |
1 |
|
Общий балл |
15 |
||
4 ВАРИАНТ
-
Решите задачи с помощью теорем о вписанных и описанных четырёхугольниках
-
Один из углов трапеции, вписанной в окружность, равен
°. Найдите остальные углы
трапеции. -
Периметр равнобедренной трапеции, описанной около окружности, равен 88 см. Найдите величину боковой стороны трапеции.
-
-
Периметр правильного шестиугольника равен 144 см. Найдите его площадь.
-
Окружность радиусом 6,4 мм разбита на два сектора. Длина дуги второго сектора в три раза больше длины дуги первого.
-
Вычислите длину дуги первого сектора
-
Вычислите площадь второго сектора
-
|
Критерий оценивания |
№ задания |
Дескриптор |
Балл |
|
Обучающийся |
|||
|
Решает задачу с помощью теоремы о вписанных четырёхугольниках |
1a |
Находит величину смежного угла при боковой стороне |
1 |
|
Составляет равенство сумм углов, применяя теорему о вписанных четырёхугольниках |
1 |
||
|
Находит величины оставшихся углов |
1 |
||
|
Решает задачу с помощью теоремы об описанных четырёхугольниках |
1b |
Составляет уравнение, применяя теорему об описанных четырёхугольниках |
1 |
|
Вычисляет полупериметр |
1 |
||
|
Находит величину боковой стороны трапеции |
1 |
||
|
Применяет свойства правильных многоугольников при решении задач |
2 |
Выполняет чертёж |
1 |
|
Разбивает шестиугольник на 6 равносторонних треугольников |
1 |
||
|
Вычисляет высоту равностороннего треугольника (допустимы разные способы) |
1 |
||
|
Сравнивает полученную высоту с радиусом вписанной окружности |
1 |
||
|
Находит полупериметр правильного шестиугольника |
1 |
||
|
Вычисляет площадь шестиугольника |
1 |
||
|
Применяет формулы длины дуги и площади сектора |
3a |
Вычисляет градусные меры секторов |
1 |
|
Находит длину дуги первого сектора |
1 |
||
|
Применяет формулы длины дуги и площади сектора |
3b |
Находит площадь второго сектора по формуле |
1 |
|
Общий балл |
15 |
||
РУБРИКА ДЛЯ ПРЕДОСТАВЛЕНИЯ ИНФОРМАЦИИ РОДИТЕЛЯМ
ПО ИТОГАМ СУММАТИВНОГО ОЦЕНИВАНИЯ
ЗА РАЗДЕЛ «РЕШЕНИЕ ТРЕУГОЛЬНИКОВ»
ФИ ОБУЧАЮЩЕГОСЯ____________________________________________________
|
Критерий оценивания |
Уровень учебных достижений |
||
|
Низкий |
Средний |
Высокий |
|
|
Решает задачу с помощью теоремы о вписанных четырёхугольниках |
Затрудняется в нахождении величины смежного угла, неверно применяет теорему о вписанных четырехугольниках |
Допускает ошибки в нахождении величины смежного угла, в применении теоремы о вписанных четырехугольниках |
Верно находит величины смежного угла, в применении теоремы о вписанных четырехугольниках |
|
Решает задачу с помощью теоремы об описанных четырёхугольниках |
Затрудняется в применении теоремы об описанных четырёхугольниках |
Допускает ошибки в применении теоремы об описанных четырёхугольниках |
Верно применяет теорему об описанных четырёхугольниках |
|
Применяет свойства правильных многоугольников при решении задач |
Затрудняется в применении теоремы об описанных четырёхугольниках |
Допускает ошибки в применении теоремы об описанных четырёхугольниках |
Верно применяет теоремы об описанных четырёхугольниках |
|
Применяет формулы длины дуги и площади сектора |
Затрудняется при вычислении градусной меры сектора, длины дуги сектора и площади сектора |
Допускает ошибки при вычислении градусной меры сектора, длины дуги сектора и площади сектора |
Верно, вычисляет градусную меру сектора, длину дуги сектора и площадь сектора |
-
СПЕЦИФИКАЦИЯ СУММАТИВНОГО ОЦЕНИВАНИЯ ЗА 1 ЧЕТВЕРТЬ
Обзор суммативного оценивания
Продолжительность - 40 минут
Количество баллов – 20
Типы заданий:
КО – задания, требующие краткого ответа;
РО – задания, требующие развернутого ответа.
Структура суммативного оценивания
Данный вариант состоит из 6 заданий, включающие вопросы с краткими и развернутыми ответами.
В заданиях, требующих краткого ответа, обучающийся записывает ответ в виде численного значения, слова или короткого предложения.
В заданиях, требующие развернутого ответа, обучающийся должен показать всю последовательность действий в решении заданий для получения максимального балла. Оценивается способность обучающегося выбирать и применять математические приемы в ряде математических контекстов. Задание может содержать несколько структурных частей/ вопросов.
Характеристика заданий суммативного оценивания
|
Раздел |
Проверяемая цель |
Уровень мыслительных навыков |
Кол. заданий* |
№ задания* |
Тип задания* |
Время на выполнение, мин* |
Балл* |
Балл за раздел |
|
Векторы на плоскости |
9.1.4.5 знать определение угла между двумя векторами |
Знание и понимание |
1 |
1 |
КО |
2 |
2 |
20 |
|
9.1.4.4 раскладывать вектор по двум неколлинеарным векторам |
Применение |
1 |
2 |
РО |
5 |
2 |
||
|
9.1.4.2 знать и применять правила сложения векторов и умножения вектора на число |
Применение |
1 |
3 |
РО |
2 |
3 |
||
|
9.1.3.3 выполнять действия над векторами в координатах |
Применение |
1 |
4 |
РО |
6 |
3 |
||
|
9.1.3.4 знать и применять скалярное произведение векторов и его свойства |
Применение |
1 |
5 |
РО |
10 |
5 |
||
|
9.1.4.7 решать задачи векторным методом |
Навыки высокого порядка |
1 |
6 |
РО |
15 |
5 |
||
|
ИТОГО: |
|
|
6 |
|
|
40 |
20 |
20 |
|
Примечание: * - разделы, в которые можно вносить изменения |
||||||||
ЗАДАНИЯ СУММАТИВНОГО ОЦЕНИВАНИЯ
|
Оценивание заданий работы |
||||||
|
№ задания |
1 |
2 |
3 |
4 |
5 |
6 |
|
Количество баллов |
2 |
2 |
3 |
3 |
5 |
5 |
|
Всего баллов |
20 баллов |
|||||
1 ВАРИАНТ
-
Четырехугольник ABCD – трапеция,
. Найдите угол между
векторами
и
.

-
Диагонали параллелограмма PMCK пересекаются в точке О. Выразите вектор КО
через
векторы
и
.

-
Упростите выражение
![]()
-
Найдите длину вектора
, где
и
. -
Даны вектор
,
и
.
Найдите:
а) косинус между
векторами
и
;
b) число а, если
векторы
и
коллинеарны;
с) число а, если
векторы
и
перпендикулярны.
6. Решите задачу векторным методом. Выполните рисунок.
Дан треугольник с вершинами М (-2;8), N (6;2), K(2;-6). Найдите длину медианы МР.
Схема выставления баллов
|
№ |
Ответ |
Балл |
Дополнительная информация |
|
1 |
|
1 |
|
|
|
1 |
|
|
|
2 |
|
1 |
|
|
|
1 |
|
|
|
3 |
|
1 |
|
|
|
1 |
|
|
|
|
1 |
|
|
|
4 |
|
1 |
|
|
|
1 |
|
|
|
|
1 |
|
|
|
5 |
|
1 |
|
|
|
1 |
|
|
|
|
1 |
|
|
|
b)
|
1 |
|
|
|
|
1 |
|
|
|
6 |
Верно выполнен рисунок к задаче |
1 |
|
|
М(х;у) |
1 |
|
|
|
М (4;-2). Верно построена медиана МР |
1 |
|
|
|
|
1 |
|
|
|
|
1 |
|
|
|
Итого: |
20 |
|
|
2 ВАРИАНТ
|
Оценивание заданий работы |
||||||
|
№ задания |
1 |
2 |
3 |
4 |
5 |
6 |
|
Количество баллов |
2 |
2 |
3 |
3 |
5 |
5 |
|
Всего баллов |
20 баллов |
|||||
-
Четырехугольник ABCD – ромб,
. Найдите угол между
векторами
и
.

-
Диагонали параллелограмма PMCK пересекаются в точке О. Выразите вектор РО
через
векторы
и
.

-
Упростите выражение
![]()
-
Найдите длину вектора
, где
и
. -
Даны вектор
,
и
.
Найдите:
а) косинус между
векторами
и
;
b) число а, если
векторы
и
коллинеарны;
с) число а, если
векторы
и
перпендикулярны.
6. Решите задачу. Дан параллелограмм с вершинами М (3;-4), N (-5;3), K(1;2), L (х; у). Найдите сумму координат вершины L.
Схема выставления баллов
|
№ |
Ответ |
Балл |
Дополнительная информация |
|
1 |
|
1 |
|
|
|
1 |
|
|
|
2 |
|
1 |
|
|
|
1 |
|
|
|
3 |
|
1 |
|
|
|
1 |
|
|
|
|
1 |
|
|
|
4 |
|
1 |
|
|
|
1 |
|
|
|
|
1 |
|
|
|
5 |
а) |
1 |
|
|
|
1 |
|
|
|
|
1 |
|
|
|
b)
|
1 |
|
|
|
|
1 |
|
|
|
6 |
|
1 |
|
|
|
1 |
|
|
|
х-3=6, х= 9 |
1 |
|
|
|
у+4=-1, у=-5 |
1 |
|
|
|
L (9; -5), 9-5=4 |
1 |
|
|
|
Итого: |
20 |
|
|
3 ВАРИАНТ
|
Оценивание заданий работы |
||||||
|
№ задания |
1 |
2 |
3 |
4 |
5 |
6 |
|
Количество баллов |
2 |
2 |
3 |
3 |
5 |
5 |
|
Всего баллов |
20 баллов |
|||||
-
Четырехугольник ABCD – параллелограмм,
. Найдите
угол между векторами
и
.

-
В треугольнике PMC точки O и F являются серединами сторон соответственно PM и РС. Выразите вектор СМ через векторы
.

-
Упростите выражение
![]()
-
Найдите длину вектора
, где
и
. -
Даны вектор
,
и
.
Найдите:
а) косинус между
векторами
и
;
b) число а, если
векторы
и
коллинеарны;
с) число а, если
векторы
и
перпендикулярны.
6. Решите задачу векторным методом. Выполните рисунок к задаче. Найти угол треугольника ONР при вершине О, если даны координаты вершин треугольника O (-1;-2), N (-4;-2), P(3;-2).
Схема выставления баллов
|
№ |
Ответ |
Балл |
Дополнительная информация |
|
1 |
|
1 |
|
|
|
1 |
|
|
|
2 |
|
1 |
|
|
|
1 |
|
|
|
3 |
|
1 |
|
|
|
1 |
|
|
|
|
1 |
|
|
|
4 |
|
1 |
|
|
|
1 |
|
|
|
|
1 |
|
|
|
5 |
а) |
1 |
|
|
|
1 |
|
|
|
|
1 |
|
|
|
b)
|
1 |
|
|
|
|
1 |
|
|
|
6 |
|
1 |
|
|
|
1 |
|
|
|
|
1 |
|
|
|
|
1 |
|
|
|
|
1 |
|
|
|
Итого: |
20 |
|
|
4 ВАРИАНТ
|
Оценивание заданий работы |
||||||
|
№ задания |
1 |
2 |
3 |
4 |
5 |
6 |
|
Количество баллов |
2 |
2 |
3 |
3 |
5 |
5 |
|
Всего баллов |
20 баллов |
|||||
-
Четырехугольник ABCD – параллелограмм,
. Найдите
угол между векторами
и
.

-
МF является медианой треугольника PMC . Выразите вектор
через векторы
.

-
Упростите выражение
![]()
-
Найдите длину вектора
, где
и
. -
Даны вектор
,
и
.
Найдите:
а) косинус между
векторами
и
;
b) число а, если
векторы
и
коллинеарны;
с) число а, если
векторы
и
перпендикулярны.
6. Решите задачу векторным методом. Выполните рисунок к задаче. В треугольнике ONР с вершинами O (-2;0), N (-1;2), P(8;-4). Найдите длину медианы NК.
Схема выставления баллов
|
№ |
Ответ |
Балл |
Дополнительная информация |
|
1 |
|
1 |
|
|
|
1 |
|
|
|
2 |
|
1 |
|
|
|
1 |
|
|
|
3 |
|
1 |
|
|
|
1 |
|
|
|
|
1 |
|
|
|
4 |
|
1 |
|
|
|
1 |
|
|
|
|
1 |
|
|
|
5 |
а) |
1 |
|
|
|
1 |
|
|
|
|
1 |
|
|
|
b)
|
1 |
|
|
|
|
1 |
|
|
|
6 |
Верно выполнен рисунок к задаче |
1 |
|
|
|
1 |
|
|
|
|
1 |
|
|
|
|
1 |
|
|
|
|
1 |
|
|
|
Итого: |
20 |
|
|
СПЕЦИФИКАЦИЯ СУММАТИВНОГО ОЦЕНИВАНИЯ ЗА 2 ЧЕТВЕРТЬ
Обзор суммативного оценивания
Продолжительность – 40 минут
Количество баллов – 20
Типы заданий:
МВО – задания с множественным выбором ответов;
КО – задания, требующие краткого ответа;
РО – задания, требующие развернутого ответа.
Структура суммативного оценивания
Данный вариант состоит из 9 заданий, включающих вопросы с множественным
выбором ответов, с кратким и развернутым ответами.
В вопросах с множественным выбором ответов обучающийся выбирает правильный ответ из предложенных вариантов ответов.
В вопросах, требующих краткого ответа, обучающийся записывает ответ в виде
численного значения, слова или короткого предложения.
В вопросах, требующих развернутого ответа, обучающийся должен показать всю последовательность действий в решении заданий для получения максимального балла.
Оценивается способность обучающегося выбирать и применять математические приемы в ряде математических контекстов. Задание может содержать несколько структурных частей/вопросов.
Характеристика заданий суммативного оценивания
|
Раздел |
Проверяемая цель |
Уровень мыслительных навыков |
Кол. заданий* |
№ задания* |
Тип задания* |
Время на выполнение, мин* |
Балл* |
Балл за раздел |
|
Преобразования плоскости |
9.1.4.8 знать виды, композиции движений и их свойства |
Знание и понимание |
5 |
1,2,3,4 |
МВО |
6 |
4 |
20 |
|
5 |
КО |
4 |
2 |
|||||
|
9.1.4.9 строить образы фигур при симметриях, параллельном переносе, повороте; |
Применение |
1 |
6 |
КО |
8 |
3 |
||
|
9.1.4.12 строить образы различных фигур при гомотетии; |
Применение |
1 |
7 |
КО |
6 |
3 |
||
|
9.1.4.14 знать и применять признаки подобия треугольников |
Применение |
1 |
9 |
РО |
10 |
5 |
||
|
9.1.4.16 знать и применять свойство биссектрисы треугольника; |
Применение |
1 |
8 |
КО |
6 |
3 |
||
|
ИТОГО: |
|
|
9 |
|
|
40 мин |
20 |
20 |
ЗАДАНИЯ СУММАТИВНОГО ОЦЕНИВАНИЯ
1 ВАРИАНТ
|
Оценивание заданий работы |
|||||||||
|
№ задания |
1 |
2 |
3 |
4 |
5 |
6 |
7 |
8 |
9 |
|
Количество баллов |
1 |
1 |
1 |
1 |
2 |
3 |
3 |
3 |
5 |
|
Всего баллов |
20 баллов |
||||||||
-
Укажите координаты точки, симметричной точке К(-5; 9) относительно оси ординат
А) (-5; -9)
В) (5; 9)
С) (5; -9)
D) (-9; 5)
-
Какое из высказываний верное?
А) Ромб имеет две оси симметрии, это две его диагонали
В) Ромб имеет две оси симметрии, это два серединных перпендикуляра к его сторонам
С) Ромб имеет четыре оси симметрии
D) Все высказывания неверны
-
Чтобы поворот имел место, должен быть задан:
А) угол поворота α
В) центр поворота О
С) центр поворота О и угол поворота α
D) фигура
-
Т
очка О –
центр правильного шестиугольника ABCDEFКМ. Укажите образ стороны
СD при
повороте вокруг точки О по часовой стрелке на угол
1200.
А) АВ
В) ВС
С) DЕ
D) EF
-
Параллельный перенос задан формулами
=x – 2,
= y+6. Найдите образ точки А(4; -5)
при данном параллельном переносе. -
Построить треугольник А1В1С1, образованный поворотом вокруг точки В на 450 равнобедренного прямоугольного (с прямым углом В) треугольника АВС против часовой стрелки.
-
Постройте треугольник К1L1М1 гомотетичный треугольнику КLМ с коэффициентом гомотетии равным 2. Центр гомотетии – точка О.
-
В треугольнике АВС сумма сторон АВ и ВС равна 88 см, а биссектриса ВН угла между ними делит третью сторону в отношении 4:7. Найдите стороны АВ и ВС треугольника.
-
В трапеции АВСD диагонали пересекаются в точке О. Точка пересечения диагоналей трапеции делит диагональ АС на отрезки 9см и 4см. Найдите основания трапеции АD и ВС, если их разность равна 25см. Выполните чертеж по условию задачи
Схема выставления баллов
-
№
Ответ
Балл
Дополнительная информация
1
В
1
2
А
1
3
В
1
4
D
1
5
=4 –
2=21
=
-5+6=11
6
Поворот на угол 450
1
Поворот против часовой стрелки
1
Выполнение чертежа по условию задачи
1
7
Выполнен чертеж по условию задачи
1
Использован коэффициент гомотетии
1
Построена гомотетичная фигура
1
8
Выполнен чертеж по условию задачи
1
Применяется свойство биссектрисы АВ:ВС=АН:НС
1
Принимается альтернативная запись

Вводится неизвестное, составлено и решено уравнение
х: (88-х)=4:7
Запись ответа: 32 и 56
1
Принимается альтернативная запись

9
Выполнен чертеж по условию задачи
1
Доказано ∆ВОС⁓∆DОА (по двум углам)
1
9:4=(х+25) : х
1
Принимается альтернативная запись

х=20
1
ВС=20см, АD=45см
1
Всего
20
2 ВАРИАНТ
|
Оценивание заданий работы |
|||||||||
|
№ задания |
1 |
2 |
3 |
4 |
5 |
6 |
7 |
8 |
9 |
|
Количество баллов |
1 |
1 |
1 |
1 |
2 |
3 |
3 |
3 |
5 |
|
Всего баллов |
20 баллов |
||||||||
-
Укажите координаты точки, симметричной точке М(-3; 6) относительно оси ординат
А) (-3; -6)
В) (3; 6)
С) (3; -6)
D) (-6; 3)
-
Какая фигура имеет центр симметрии и ось симметрии?
А) отрезок
В) параллелограмм
С) равнобокая трапеция
D) ромб
-
Чтобы осевая симметрия имела место, что должно быть задано:
А) ось симметрии
В) центр симметрии
С) центр симметрии и ось симметрии
D) фигура
-
Т
очка О –
центр правильного шестиугольника ABCDEFКМ. Укажите образ стороны
ЕF при
повороте вокруг точки О по часовой стрелке на угол
1350.
А) АВ
В) ВС
С) DС
D) МА
-
Параллельный перенос задан формулами
=x – 1,
= y+5 Найдите образ точки А(3; -2)
при данном параллельном переносе. -
Построить треугольник А1В1С1, образованный поворотом вокруг точки В на 600 равнобедренного прямоугольного (с прямым углом В) треугольника АВС против часовой стрелки.
-
Постройте треугольник К1L1М1 гомотетичный треугольнику КLМ с коэффициентом гомотетии равным 3. Центр гомотетии – точка О.
-
В треугольнике АВС сумма сторон АВ и ВС равна 91 см, а биссектриса ВН угла между ними делит третью сторону в отношении 5:8. Найдите стороны АВ и ВС треугольника.
-
В трапеции АВСD диагонали пересекаются в точке О. Точка пересечения диагоналей трапеции делит диагональ АС на отрезки 6см и 4см. Найдите основания трапеции АD и ВС, если их разность равна 25см. Выполните чертеж по условию задачи
Схема выставления баллов
-
№
Ответ
Балл
Дополнительная информация
1
В
1
2
D
1
3
А
1
4
D
1
5
=3 –
1=21
=
-2+5=31
6
Поворот на угол 600
1
Поворот против часовой стрелки
1
Выполнение чертежа по условию задачи
1
7
Выполнен чертеж по условию задачи
1
Использован коэффициент гомотетии
1
Построена гомотетичная фигура
1
8
Выполнен чертеж по условию задачи
1
Применяется свойство биссектрисы АВ:ВС=АН:НС
1
Принимается альтернативная запись

Вводится неизвестное, составлено и решено уравнение
х:(91-х)=5:8
Запись ответа: 35 и 56
1
Принимается альтернативная запись

9
Выполнен чертеж по условию задачи
1
Доказано ∆ВОС⁓∆DОА (по двум углам)
1
6:4=(х+25) : х
1
Принимается альтернативная запись

х=50
1
ВС=50см, АD=75см
1
Всего
20
3 ВАРИАНТ
|
Оценивание заданий работы |
|||||||||
|
№ задания |
1 |
2 |
3 |
4 |
5 |
6 |
7 |
8 |
9 |
|
Количество баллов |
1 |
1 |
1 |
1 |
2 |
3 |
3 |
3 |
5 |
|
Всего баллов |
20 баллов |
||||||||
-
Укажите координаты точки, симметричной точке Р(-5; 8) относительно оси ординат
А) (-5; -8)
В) (5; 8)
С) (5; -8)
D) (-8; 5)
-
Какое из высказываний верное?
А) Прямоугольник имеет две оси симметрии, это две его диагонали
В) Прямоугольник имеет две оси симметрии, это два серединных перпендикуляра к его сторонам
С) Прямоугольник имеет четыре оси симметрии
D) Все высказывания неверные
-
Чтобы центральная симметрия имела место, что должно быть задано:
А) центр симметрии
В) ось симметрии
С) центр симметрии и ось симметрии
D) фигура
-
Т
очка О –
центр правильного шестиугольника ABCDEFКМ. Укажите образ стороны
ВС при
повороте вокруг точки О по часовой стрелке на угол
900.
А) АВ
В) DЕ
С) DС
D) МА
-
Параллельный перенос задан формулами
=x – 4,
= y+3 Найдите образ точки А(5; -1)
при данном параллельном переносе. -
Построить треугольник А1В1С1, образованный поворотом вокруг точки В на 500 равнобедренного прямоугольного (с прямым углом В) треугольника АВС против часовой стрелки.
-
Постройте треугольник К1L1М1 гомотетичный треугольнику КLМ с коэффициентом гомотетии равным 3. Центр гомотетии – точка О.
-
В треугольнике АВС разность сторон АВ и ВС равна 28, А биссектриса ВН угла между ними делит третью сторону на отрезки 43 см и 29 см. Найдите стороны АВ и ВС
-
В трапеции АВСD диагонали пересекаются в точке О. Точка пересечения диагоналей трапеции делит диагональ АС на отрезки 9см и 4см. Найдите основания трапеции АD и ВС, если их разность равна 25см. Выполните чертеж по условию задачи
Схема выставления баллов
-
№
Ответ
Балл
Дополнительная информация
1
В
1
2
В
1
3
А
1
4
В
1
5
=5 –
4=11
=
-1+3=21
6
Поворот на угол 500
1
Поворот против часовой стрелки
1
Выполнение чертежа по условию задачи
1
7
Выполнен чертеж по условию задачи
1
Использован коэффициент гомотетии
1
Построена гомотетичная фигура
1
8
Выполнен чертеж по условию задачи
1
Применяется свойство биссектрисы АВ:ВС=АН:НС
1
Принимается альтернативная запись

Вводится неизвестное, составлено и решено уравнение
(28+х):х=43:29
Запись ответа: 58 и 86
1
Принимается альтернативная запись

9
Выполнен чертеж по условию задачи
1
Доказано ∆ВОС⁓∆DОА (по двум углам)
1
9:4=(х+25) : х
1
Принимается альтернативная запись

х=20
1
ВС=20см, АD=45см
1
Всего
20
4 ВАРИАНТ
|
Оценивание заданий работы |
|||||||||
|
№ задания |
1 |
2 |
3 |
4 |
5 |
6 |
7 |
8 |
9 |
|
Количество баллов |
1 |
1 |
1 |
1 |
2 |
3 |
3 |
3 |
5 |
|
Всего баллов |
20 баллов |
||||||||
-
Укажите координаты точки, симметричной точке В(-7; 3) относительно оси ординат
А) (-7; -3)
В) (7; 3)
С) (7; -3)
D) (-3; 7)
-
Какая фигура имеет центр симметрии и ось симметрии?
А) прямоугольный треугольник
В) параллелограмм
С) равнобокая трапеция
D) квадрат
-
Чтобы поворот имел место, должен быть задан:
А) угол поворота α
В) центр поворота О
С) центр поворота О и угол поворота α
D) фигура
-
Т
очка О –
центр правильного шестиугольника ABCDEFКМ. Укажите образ стороны
АВ при
повороте вокруг точки О по часовой стрелке на угол
900.
А) АВ
В) DЕ
С) DС
D) МА
-
Параллельный перенос задан формулами
=x – 6,
= y+2 Найдите образ точки А(8; -1)
при данном параллельном переносе. -
Построить треугольник А1В1С1, образованный поворотом вокруг точки В на 700 равнобедренного прямоугольного (с прямым углом В) треугольника АВС против часовой стрелки.
-
Постройте треугольник К1L1М1 гомотетичный треугольнику КLМ с коэффициентом гомотетии равным 2. Центр гомотетии – точка О.
-
В треугольнике АВС разность сторон АВ и ВС равна 18 см, а биссектриса ВН угла между ними делит третью сторону на отрезки 28 см и 12 см. Найдите стороны АВ и ВС
-
В трапеции АВСD диагонали пересекаются в точке О. Точка пересечения диагоналей трапеции делит диагональ АС на отрезки 8см и 4см. Найдите основания трапеции АD и ВС, если их разность равна 25см. Выполните чертеж по условию задачи
Схема выставления баллов
-
№
Ответ
Балл
Дополнительная информация
1
В
1
2
D
1
3
В
1
4
С
1
5
=8 –
6=21
=
-1+2=11
6
Поворот на угол 700
1
Поворот против часовой стрелки
1
Выполнение чертежа по условию задачи
1
7
Выполнен чертеж по условию задачи
1
Использован коэффициент гомотетии
1
Построена гомотетичная фигура
1
8
Выполнен чертеж по условию задачи
1
Применяется свойство биссектрисы АВ:ВС=АН:НС
1
Принимается альтернативная запись

Вводится неизвестное, составлено и решено уравнение
(18+х):х=28:12
Запись ответа: 13,5 см и 31,5 см
1
Принимается альтернативная запись

9
Выполнен чертеж по условию задачи
1
Доказано ∆ВОС⁓∆DОА (по двум углам)
1
8:4=(х+25) : х
1
Принимается альтернативная запись

х=25
1
ВС=20см, АD=50см
1
Всего
20
СПЕЦИФИКАЦИЯ СУММАТИВНОГО ОЦЕНИВАНИЯ ЗА 4 ЧЕТВЕРТЬ
Обзор суммативного оценивания
Продолжительность – 40 минут
Количество баллов – 20
Типы заданий:
МВО – задания с множественным выбором ответов;
КО – задания, требующие краткого ответа;
РО – задания, требующие развернутого ответа.
Структура суммативного оценивания
Данный вариант состоит из 6 заданий, включающих вопросы с множественным
выбором ответов, с кратким и развернутым ответами.
В вопросах с множественным выбором ответов обучающийся выбирает правильный ответ из предложенных вариантов ответов.
В вопросах, требующих краткого ответа, обучающийся записывает ответ в виде
численного значения, слова или короткого предложения.
В вопросах, требующих развернутого ответа, обучающийся должен показать всю
последовательность действий в решении заданий для получения максимального балла.
Оценивается способность обучающегося выбирать и применять математические приемы в ряде математических контекстов. Задание может содержать несколько структурных частей/вопросов
Характеристика заданий суммативного оценивания
|
Раздел |
Проверяемая цель |
Уровень мыслительных навыков |
Кол. заданий* |
№ задания* |
Тип задания* |
Время на выполнение, мин* |
Балл* |
Балл за раздел |
|
Окружность. Многоугольники |
9.1.2.2 Знать определение и свойства правильных многоугольников |
Знание и понимание |
1 |
1 |
МВО |
2 |
1 |
20 |
|
9.1.1.1 Выводить и применять формулу длины дуги |
Применение |
1 |
2 |
МВО |
2 |
1 |
||
|
9.1.2.1 Знать и применять свойства и признаки вписанных и описанных четырёхугольников |
Применение |
1 |
3 |
КО |
6 |
4 |
||
|
9.1.2.5 Знать и применять формулы, связывающие стороны, периметр, площадь правильного многоугольника и радиусы вписанной и описанной окружностей правильного многоугольника |
Применение |
1 |
4 |
РО |
8 |
4 |
||
|
9.1.2.6 Знать и применять свойства медиан треугольника |
Применение |
1 |
5 |
РО |
10 |
5 |
||
|
9.1.1.2 Выводить и применять формулу площади сектора, сегмента |
Применение |
1 |
6 |
РО |
12 |
5 |
||
|
ИТОГО: |
|
|
|
40 |
20 |
20 |
||
ЗАДАНИЯ СУММАТИВНОГО ОЦЕНИВАНИЯ
1 ВАРИАНТ
|
Оценивание заданий работы |
||||||
|
№ задания |
1 |
2 |
3 |
4 |
5 |
6 |
|
Количество баллов |
1 |
1 |
4 |
4 |
5 |
5 |
|
Всего баллов |
20 баллов |
|||||
1. Найдите количество сторон правильного многоугольника, если сумма всех его внутренних углов равна 1440°.
А) 8 В) 9 С) 10 D) 12
2. Дана окружность радиуса 10 см . Чему равна длина ее дуги с градусной мерой 90°?
А) 4 см В) 6 см С) 8 см D) 5 см
3. Три угла четырехугольника, вписанного в окружность, взятые в порядке следования, относятся как 4 : 3 : 5. Найдите углы четырехугольника.
4. В окружность вписан квадрат со стороной 3 √2 см. Найдите площадь правильного треугольника, описанного около этой окружности.
5. Основание АВ треугольника АВС равно 26 см. Медианы АК и ВМ, проведенные к боковым сторонам, равны соответственно 30 см и 39 см. Найдите площадь треугольника АВС.

6. На рисунке изображен сектор круга с центром в точке O и радиусом, равным 4 см. ОD = 2 см и DOС 45°. Найдите площадь закрашенной области.

Схема выставления баллов
1 вариант
|
№ |
Ответ |
Балл |
Дополнительная информация |
|
1 |
С |
1 |
|
|
2 |
D |
1 |
|
|
3 |
4х + 5х = 180° |
1 |
|
|
х = 20° |
1 |
|
|
|
80°, 60°, 100° |
1 |
|
|
|
180° – 60° = 120° |
1 |
|
|
|
4 |
|
1 |
|
|
|
1 |
Принимается альтернативное решение |
|
|
|
1 |
|
|
|
|
1 |
|
|
|
5 |
АО=2х, ОК=х 2х х 30 или ВО=2х,ОМ=х 2х х 39 |
1 |
Применяет свойство медиан треугольника |
|
АО = 20 см и ВО = 26 см |
1 |
|
|
|
Полупериметр |
1 |
|
|
|
|
1 |
|
|
|
SABC 3240 720 см2 |
1 |
Применяет свойство медиан треугольника |
|
|
6 |
|
1 |
|
|
DC=DOsin450 |
1 |
Принимается альтернативное решение |
|
|
|
1 |
|
|
|
|
1 |
|
|
|
|
1 |
|
|
|
Итого: |
20 |
|
|
2 ВАРИАНТ
|
Оценивание заданий работы |
||||||
|
№ задания |
1 |
2 |
3 |
4 |
5 |
6 |
|
Количество баллов |
1 |
1 |
4 |
4 |
5 |
5 |
|
Всего баллов |
20 баллов |
|||||
1. Найдите количество сторон правильного многоугольника, если сумма всех его внутренних углов равна 1980°.
А) 18 В) 13 С) 12 D) 11
2. Дана окружность радиуса 12 см . Чему равна длина ее дуги с градусной мерой 90°?
А) 4 см В) 6 см С) 8 см D) 12 см
3. Три угла четырехугольника, вписанного в окружность, взятые в порядке следования, относятся как 2 : 6 : 7. Найдите углы четырехугольника.
4. В окружность вписан квадрат со стороной 4√2 см. Найдите площадь правильного треугольника, описанного около этой окружности.
5. Основание АВ треугольника АВС равно 26 см. Медианы АК и ВМ, проведенные к боковым сторонам, равны соответственно 30 см и 39 см. Найдите площадь треугольника АВС.

6. На рисунке изображен сектор круга с центром в точке O и радиусом, равным 8 см. ОD = 2 см и DOС 45°. Найдите площадь закрашенной области.

Схема выставления баллов
2 вариант
|
№ |
Ответ |
Балл |
Дополнительная информация |
|
1 |
B |
1 |
|
|
2 |
B |
1 |
|
|
3 |
2х + 7х = 180° |
1 |
|
|
х = 20° |
1 |
|
|
|
40°, 120°, 140° |
1 |
|
|
|
180° – 120° = 60° |
1 |
|
|
|
4 |
|
1 |
|
|
|
1 |
Принимается альтернативное решение |
|
|
|
1 |
|
|
|
|
1 |
|
|
|
5 |
АО=2х, ОК=х 2х х 30 или ВО=2х,ОМ=х 2х х 39 |
1 |
Применяет свойство медиан треугольника |
|
АО = 20 см и ВО = 26 см |
1 |
|
|
|
Полупериметр |
1 |
|
|
|
|
1 |
|
|
|
SABC 3240 720 см2 |
1 |
Применяет свойство медиан треугольника |
|
|
6 |
|
1 |
|
|
DC=DOsin450 |
1 |
Принимается альтернативное решение |
|
|
|
1 |
|
|
|
|
1 |
|
|
|
|
1 |
|
|
|
Итого: |
20 |
|
|
3 ВАРИАНТ
|
Оценивание заданий работы |
||||||
|
№ задания |
1 |
2 |
3 |
4 |
5 |
6 |
|
Количество баллов |
1 |
1 |
4 |
4 |
5 |
5 |
|
Всего баллов |
20 баллов |
|||||
1. Найдите количество сторон правильного многоугольника, если сумма всех его внутренних углов равна 1440°.
А) 8 В) 9 С) 10 D) 12
2. Дана окружность радиуса 12 см . Чему равна длина ее дуги с градусной мерой 90°?
А) 4 см В) 6 см С) 8 см D) 12 см
3. Сумма углов выпуклого многоугольника на 7200больше суммы его внешних углов, взятых по одному при каждой вершине. Найдите число сторон этого многоугольника
4. В окружность вписан квадрат со стороной 4 √2 см. Найдите площадь правильного треугольника, описанного около этой окружности.
5. Основание АВ треугольника АВС равно 26 см. Медианы АК и ВМ, проведенные к боковым сторонам, равны соответственно 30 см и 39 см. Найдите площадь треугольника АВС.

6. На рисунке изображен сектор круга с центром в точке O и радиусом, равным 6 см. ОD = 2 см и DOС 45°. Найдите площадь закрашенной области.

Схема выставления баллов
3 вариант
|
№ |
Ответ |
Балл |
Дополнительная информация |
|
1 |
С |
1 |
|
|
2 |
B |
1 |
|
|
3 |
180(n-2)=3600+7200 |
1 |
|
|
n-2=10800:1800 |
1 |
|
|
|
n-2=6 |
1 |
|
|
|
n=8 |
1 |
|
|
|
4 |
|
1 |
|
|
|
1 |
Принимается альтернативное решение |
|
|
|
1 |
|
|
|
|
1 |
|
|
|
5 |
АО=2х, ОК=х 2х х 30 или ВО=2х,ОМ=х 2х х 39 |
1 |
Применяет свойство медиан треугольника |
|
АО = 20 см и ВО = 26 см |
1 |
|
|
|
Полупериметр |
1 |
|
|
|
|
1 |
|
|
|
SABC 3240 720 см2 |
1 |
Применяет свойство медиан треугольника |
|
|
6 |
|
1 |
|
|
DC=DOsin450 |
1 |
Принимается альтернативное решение |
|
|
|
1 |
|
|
|
|
1 |
|
|
|
|
1 |
|
|
|
Итого: |
20 |
|
|
4 ВАРИАНТ
|
Оценивание заданий работы |
||||||
|
№ задания |
1 |
2 |
3 |
4 |
5 |
6 |
|
Количество баллов |
1 |
1 |
4 |
4 |
5 |
5 |
|
Всего баллов |
20 баллов |
|||||
1. Найдите количество сторон правильного многоугольника, если сумма всех его внутренних углов равна 1440°.
А) 8 В) 9 С) 10 D) 12
2. Дана окружность радиуса 12 см . Чему равна длина ее дуги с градусной мерой 60°?
А) 4 см В) 6 см С) 8 см D) 12 см
3. Сумма углов выпуклого многоугольника на 9000больше суммы его внешних углов, взятых по одному при каждой вершине. Найдите число сторон этого многоугольника
4. В окружность вписан квадрат со стороной 8√ 2 см. Найдите площадь правильного треугольника, описанного около этой окружности.
5. Основание АВ треугольника АВС равно 26 см. Медианы АК и ВМ, проведенные к боковым сторонам, равны соответственно 30 см и 39 см. Найдите площадь треугольника АВС.

6. На рисунке изображен сектор круга с центром в точке O и радиусом, равным 8 см. ОD = 2 см и DOС 45°. Найдите площадь закрашенной области.

Схема выставления баллов
4 вариант
|
№ |
Ответ |
Балл |
Дополнительная информация |
|
1 |
С |
1 |
|
|
2 |
А |
1 |
|
|
3 |
180(n-2)=3600+9000 |
1 |
|
|
n-2=12600:1800 |
1 |
|
|
|
n-2=7 |
1 |
|
|
|
n=9 |
1 |
|
|
|
4 |
|
1 |
|
|
|
1 |
Принимается альтернативное решение |
|
|
|
1 |
|
|
|
|
1 |
|
|
|
5 |
АО=2х, ОК=х 2х х 30 или ВО=2х,ОМ=х 2х х 39 |
1 |
Применяет свойство медиан треугольника |
|
АО = 20 см и ВО = 26 см |
1 |
|
|
|
Полупериметр |
1 |
|
|
|
|
1 |
|
|
|
SABC 3240 720 см2 |
1 |
Применяет свойство медиан треугольника |
|
|
6 |
|
1 |
|
|
DC=DOsin450 |
1 |
Принимается альтернативное решение |
|
|
|
1 |
|
|
|
|
1 |
|
|
|
|
1 |
|
|
|
Итого: |
20 |
|
|
Форма анализа суммативного оценивания за учебный период (четверть)
_________________________________________________
(наименование организации образования)
Сведения об анализе по итогам проведения суммативного оценивания
за ______ четверть по предмету _______________
Класс: __________
Количество учащихся: __________________
Педагог: ____________________________________________________________________
Цель: Анализ результатов СОР и СОЧ
|
Предмет |
Писал |
Макс балл |
Процентное содержание баллов суммативного оценивания |
% качества |
|||
|
низкий |
средний |
высокий |
|||||
|
0-39% |
40-84% |
85-100% |
|||||
|
1 |
2 |
3 |
4 |
5 |
6 |
7 |
|
|
|
|
|
Количество учеников |
|
|||
|
СОР 1 |
|
|
|
|
|
|
|
|
СОР 2 |
|
|
|
|
|
|
|
|
СОЧ |
|
|
|
|
|
|
|
|
|
Достигнутые цели |
Цели, вызвавшие затруднения |
|||||
|
СОР 1 |
|
|
|||||
|
СОР 2 |
|
|
|||||
|
СОЧ |
|
|
|||||
1.Анализ СОР и СОЧ показал следующий уровень знаний у обучающихся:
высокий (В): 85-100% (перечисляем ФИ обучающихся) –
средний (С): 40-84% (перечисляем ФИ обучающихся) -
низкий (Н): 0-39% (перечисляем ФИ обучающихся) –
2.Перечень затруднений, которые возникли у обучающихся при выполнении заданий
__________________________________________________________________________________________________________________________________________________________________________________________________________________________________________________________________________________________________________________________________________________________________________________________________________
3.Причины, указанных выше затруднений у обучающихся при выполнении заданий
__________________________________________________________________________________________________________________________________________________________
4.Планируемая коррекционная работа: ______________________________________________________________________________
Дата_______________ФИО(при наличии) педагога ____________________
Список литературы
-
Сборник заданий по суммативному оцениванию по учебным предметам основного среднего уровня. Сборник заданий. Вторая часть – Нур-Султан: АО имени И. Алтынсарина, 2019. – 300 с.
-
Методические рекомендации по составлению рубрик согласно целям обучения по учебным предметам 5-9 классов для предоставления обратной связи. - г.Нур-Султан: НАО имени И. Алтынсарина, 2019. - 204 с.
3. Методические рекомендации по составлению дифференцированных заданий СОР и СОЧ по учебным предметам естественно-математического направления 5-9 классов в условиях инклюзии. Методические рекомендации – Нур-Султан: НАО имени И. Алтынсарина, 2020. – 144 с.
4. Методические рекомендации по изучению учебного предмета "математика" (5-9классы) в рамках обновления содержания образования.-Астана, НАО имени И. Алтынсарина, 2017
5. Руководство по критериальному оцениванию для учителей основной и общей средней школ:Учебно-методическое пособие под ред. О.И. Можаевой, А.С. Шилибековой- Астана, АОО "Назарбаев Интеллектуальные школы", 2016
6. Руководство для учителя, ЦПМ АОО " Назарбаев Интеллектуальные школы" 2018
7. Сборник заданий и упражнений. Учебные цели согласно таксономии Блума / А.Е. Мурзагалиева, Б.М. Утегенова. – Астана: АОО «Назарбаев Интеллектуальные школы» Центр педагогического мастерства, 2015. – 54 с.
8. Алгебра: Учебная программа для 7-9 классов уровня основного среднего образования. – Астана: НАО им. И.Алтынсарина, 2013. – 18 с.
9. Геометрия: Учебная программа для 7-9 классов уровня основного среднего образования. – Астана: НАО им. И.Алтынсарина, 2013. – 20 с.

|
|
1 |
шағым қалдыра аласыз











;
;





тмечает
множество точек, удаленных от ближайшей стороны меньше, чем на 2
см.
















