6 сынып Математика
Үлгермеуші оқушымен жұмыс жоспары
|
№ |
Мазмұны
|
Сағат саны |
Мерзімі |
|
1 |
Қатынастар |
1 |
|
|
2 |
Берілген қатынаста бөлуге есептер |
1 |
|
|
3 |
Пропорция |
1 |
|
|
4 |
Тура пропорционал шамалар |
1 |
|
|
5 |
Масштаб |
1 |
|
|
6 |
Кері пропорционал шамалар |
1 |
|
|
7 |
Шеңбердің ұзындығы. Дөңгелектің ауданы. Шар |
1 |
|
|
8 |
Жиын және оның элементтері. Ішкі жиын |
1 |
|
|
9 |
Жиындардың қиылысуы. Жиындардың бірігуі |
1 |
|
|
10 |
Оң және теріс сандар |
1 |
|
|
11 |
Координаталық түзу. Координаталық түзу бойында рационал сандарды кескіндеу |
1 |
|
|
12 |
Қарама-қарсы сандар |
1 |
|
|
13 |
Рационал санның модулі |
1 |
|
|
14 |
Рационал сандарды салыстыру |
1 |
|
|
15 |
Теріс сандарды қосу |
1 |
|
|
16 |
Таңбалары әр түрлі екі санды қосу |
1 |
|
|
17 |
Рационал сандарды азайту. Координаталық түзудегі кесіндінің ұзындығы |
1 |
|
|
18 |
Рационал сандарды көбейту |
1 |
|
|
19 |
Рационал сандарды бөлу |
1 |
|
|
20 |
Рационал сандардың периодты ондық бөлшек түрінде жазылуы |
1 |
|
|
21 |
Жай бөлшектің ондық жуықтауы |
1 |
|
|
22 |
Алгебралық өрнектің мәні. Алгебралық қосынды |
1 |
|
|
23 |
Қосу мен көбейтудің ауыстырымдылық, терімділік қасиеттерін пайдаланып, алгебралық өрнектерді ықшамдау. |
1 |
|
|
24 |
Жақшаларды ашу. Ортақ көбейткішті жақша сыртына шығару |
1 |
|
|
25 |
Ұқсас қосылғыштарды біріктіру |
1 |
|
|
26 |
Бір айнымалысы бар сызықтық теңдеу |
1 |
|
|
27 |
Санды теңсіздік |
1 |
|
|
28 |
Санды теңсіздіктердің қасиеттері |
1 |
|
|
29 |
Санды теңсіздіктерді қосу және азайту |
1 |
|
|
30 |
Санды теңсіздіктерді көбейту және бөлу |
1 |
|
|
31 |
Сан аралықтары |
1 |
|
|
32 |
Бір айнымалысы бар сызықтық теңсіздікті шешу |
1 |
|
|
33 |
Қиылысатын түзулер |
1 |
|
|
34 |
Перпендикуляр түзулер.Нүктеден түзуге дейінгі қашықтық |
1 |
|
I ТАРАУ. ҚАТЫНАСТАР ЖӘНЕ ПРОПОРЦИЯЛАР
1-сабақ. Қатынастар
1.Қатынасты қысқарту арқылы оған тең қатынасты жазыңдар:
8
:6 = ; 15:20= ; 30:25=
;
![]()
21 = 44 = 45 =
24 22 60
2.Қатынастың белгісіз мүшесін табыңдар:
а) х:3= 5; б) 21:х= 17 в) 35:х= 5
х=___________ х=___________ х=___________
3.Дүкендегі 150 м матадан 90 м мата сатылды.
а)Дүкендегі матаның қандай бөлігі сатылды?
__________________________________________________________________
ә)Дүкендегі матаның қандай бөлігі сатылмай қалды?
__________________________________________________________________
б)Сатылған мата дүкендегі сатылмай қалған матадан неше есе артық?
2-сабақ.Берілген қатынаста бөлуге есептер
1.Жазыңқы бұрышты сызып, оны градустық өлшемдерінің қатынасы 5:4 қатынасындай екі бұрышқа бөліңдер.
Жауабы:___________________________________________________________
2.Үшбұрыштың қабырғаларының қатынасы 2:3:4 қатынасындай. Үшбұрыштың периметрі 27 см. Үшбұрыштың қабырғаларының әрқайсысының ұзындықтарын табыңдар.
Шешуі:
1)_________________________________________________________________
2)_____________________________________________________________
3)______________________________________________________________
4)_____________________________________________________________
5)______________________________________________________________
3.Компьютерде бірінші теруші 1 сағатта 8 бет, ал екінші теруші 1 сағатта 6 бет тереді. Олар 84 бет шығарманы бірігіп теріп шықты. Шығарманың бірінші теруші неше бетін терді? Екінші теруші неше бетін терді?
Жауабы:___________________________________________________________
3-сабақ. Пропорция
1.Пропорцияның белгісіз мүшелерін тауып, бос орындарды толтырыңдар:
![]()
а) 6:3=4: ; б) 12:4= : 5;
![]()
ә) :10=6:4; в) 20: = 10:7
2.Пропорция түрінде жазыңдар:
а) 4,2-нің 7-ге қатынасы 3-тің 5-ке қатынасын тең.
ә) 9-дың 6-ға қатынасы 3,6-ның 2,4-ке қатынасына тең.
б)8 саны 5 санынан неше есе артық болса, 4,8 саны 3 санынан сонша есе артық.
в) 6 саны 24 санының қандай бөлігі болса, 9 саны 36 санының сондай бөлігі.
|
|
|
|
|
|
|
|
|
|
|
|
|
|
|
|
|
|
|
|
|
|
|
|
|
|
|
|
|
|
|
|
|
|
|
|
|
|
|
|
|
|
|
|
|
|
|
|
|
|
|
|
|
|
|
|
|
|
|
|
|
|
|
|
|
|
|
|
|
|
|
|
|
|
|
|
|
|
|
|
|
|
|
|
|
|
|
|
|
|
|
|
|
|
|
|
|
|
|
|
|
|
|
|
|
|
|
|
|
|
|
|
|
|
|
|
|
|
|
|
|
|
|
|
|
|
|
|
|
|
|
|
|
|
|
|
|
|
|
|
|
|
|
|
|
|
|
|
|
|
|
|
|
|
|
|
|
|
|
|
|
|
|
|
|
|
|
|
|
|
|
|
|
|
|
|
|
|
|
|
|
|
|
|
|
|
|
|
|
|
|
|
|
|
|
|
|
|
|
|
|
|
|
|
|
|
|
|
|
|
|
|
|
|
|
|
|
|
|
|
|
|
|
|
3.Мына теңдік пропорция бола ма?
Екі тәсілмен тексеріңдер:
а) 3:7,5= 8:20; б) 7:21= 8:16;
ә) 5:18= 9:32,4; в) 26:4= 19,5:3.
|
|
|
|
|
|
|
|
|
|
|
|
|
|
|
|
|
|
|
|
|
|
|
|
|
|
|
|
|
|
|
|
|
|
|
|
|
|
|
|
|
|
|
|
|
|
|
|
|
|
|
|
|
|
|
|
|
|
|
|
|
|
|
|
|
|
|
|
|
|
|
|
|
|
|
|
|
|
|
|
|
|
|
|
|
|
|
|
|
|
|
|
|
|
|
|
|
|
|
|
|
|
|
|
|
|
|
|
|
|
|
|
|
|
|
|
|
|
|
|
|
|
|
|
|
|
|
|
|
|
|
|
|
|
|
|
|
|
|
|
|
|
|
|
|
|
|
|
|
|
|
|
|
|
|
|
|
|
|
|
|
|
|
|
|
|
|
|
|
|
|
|
|
|
|
|
|
|
|
|
|
|
|
|
|
|
|
|
|
|
|
|
4-сабақ. Тура пропорционал шамалар
1.Алюминийдің 15 см 3 көлемінің массасы 40,5 г.
а) Алюминийдің 10 см 3 көлемінің массасы неше грамм?
________________________________________________________________
ә) Массасы 81 г алюминийдің көлемі неше куб сантиметр?
________________________________________________________________
2. 5 кг күріште 3,75 кг крахмал бар.
а) 7 кг күріште неше килограмм крахмал бар?
________________________________________________________________
б) Неше килограмм күріште 6 кг крахмал болады?
________________________________________________________________
3. Трактор 4 сағ жер жыртқанда 128 л жанармай жұмсайды.
а) Трактор 7 сағ жер жыртқанда неше литр жанармай жұмсайды?
________________________________________________________________
б) Трактор неше сағат жер жыртқанда 192 л жанармай жұмсайды?
________________________________________________________________
5-сабақ. Масштаб
1.Тіктөртбұрыштың ені 50 см, ұзындығы 80 см. 1:20 масштабымен осы тік төртбұрышты салыңдар.
1) 1:20 масштабымен сызылған тік төртбұрыштың ені
________________________________________________________________
2) 1:20 масштабымен сызылған тік төртбұрыштың ұзындығы.
________________________________________________________________
|
|
|
|
|
|
|
|
|
|
|
|
|
|
|
|
|
|
|
|
|
|
|
|
|
|
|
|
|
|
|
|
|
|
|
|
|
|
|
|
|
|
|
|
|
|
|
|
|
|
|
|
|
|
|
|
|
|
|
|
|
|
|
|
|
|
|
|
|
|
|
|
|
|
|
|
|
|
|
|
|
|
|
|
|
|
|
|
|
|
|
|
|
|
|
|
|
|
|
|
|
|
|
|
|
|
|
|
|
|
|
|
|
|
|
|
|
|
|
|
|
|
|
|
|
|
|
|
|
|
|
|
|
|
|
|
|
|
|
|
|
|
|
|
|
|
|
|
|
|
|
|
|
|
|
|
|
|
|
|
|
|
|
|
|
|
|
|
|
|
|
|
|
|
|
|
|
|
|
|
|
|
|
|
|
|
|
|
|
|
|
|
2. Ұзындығы 50 м, ені 30 м тік төртбұрышты жер учаскесінің сызбасы 1:1000 масштабымен салыңдар. Сызбадағы тік төртбұрыштың
ұзындығы____________см
ені__________________см
|
|
|
|
|
|
|
|
|
|
|
|
|
|
|
|
|
|
|
|
|
|
|
|
|
|
|
|
|
|
|
|
|
|
|
|
|
|
|
|
|
|
|
|
|
|
|
|
|
|
|
|
|
|
|
|
|
|
|
|
|
|
|
|
|
|
|
|
|
|
|
|
|
|
|
|
|
|
|
|
|
|
|
|
|
|
|
|
|
|
|
|
|
|
|
|
|
|
|
|
|
|
|
|
|
|
|
|
|
|
|
|
|
|
|
|
|
|
|
|
|
|
|
|
|
|
|
|
|
|
|
|
|
|
|
|
|
|
|
|
|
|
|
|
|
|
|
|
|
|
|
|
|
|
|
|
|
|
|
|
|
|
|
|
|
|
|
|
|
|
|
|
|
|
|
|
|
|
|
|
|
|
|
|
|
|
|
|
|
|
|
|
3.Астана мен Қарағанды қалаларының арасы 225 км, ал картада осы қалаларды қосатын кесіндінің ұзындығы 3 см. Картаның масштабын табыңдар.
|
Ш |
е |
ш |
у |
і |
: |
|
|
|
|
|
|
|
|
|
|
|
|
|
|
|
|
|
|
|
|
|
|
|
|
|
|
|
|
|
|
|
|
|
|
|
|
|
|
|
|
|
|
|
|
|
|
|
|
|
|
|
|
|
|
|
|
|
|
|
|
|
|
|
|
|
|
|
|
|
|
|
|
|
|
|
|
|
|
|
|
|
|
|
|
|
|
|
|
|
|
|
|
|
|
|
|
|
|
|
|
|
|
|
|
|
|
|
|
|
|
|
|
|
|
|
|
|
|
|
|
|
|
|
|
|
|
|
|
|
|
|
|
|
|
|
|
|
|
|
|
|
|
|
|
|
|
|
|
|
|
|
|
|
|
|
|
|
|
|
|
|
|
|
|
|
|
|
|
|
|
|
|
|
|
|
|
|
|
|
|
|
|
|
|
|
6-сабақ. Кері пропорционал шамалар
1.Тапсырманы 10 жұмысшы 8 күнде орындауы керек.
1) Осы тапсырма 5 күнде орындалуы үшін неше жұмысшы керек?
|
Ш |
е |
ш |
у |
і |
: |
х |
- |
|
|
|
|
|
|
|
|
|
|
|
|
|
|
|
|
|
|
|
|
|
|
|
|
|
|
|
|
|
|
|
|
|
|
|
|
|
|
|
|
|
|
|
|
|
|
|
|
|
|
|
|
|
|
|
|
|
|
|
|
|
|
|
|
|
|
|
|
|
|
|
|
|
|
|
|
|
|
|
|
|
|
|
|
|
|
|
Есептің шарты бойынша пропорция құрамыз:
|
|
|
|
|
|
|
|
|
|
|
|
|
|
|
|
|
|
|
|
|
|
|
|
|
|
|
|
|
|
|
|
|
|
|
|
|
|
|
|
|
|
|
|
|
|
|
|
|
|
|
|
|
|
|
|
|
|
|
|
|
|
|
|
|
|
|
|
|
|
|
|
|
|
|
|
|
|
|
|
|
|
|
|
|
|
|
|
|
|
|
|
|
|
|
|
2) Осы тапсырманы 20 жұмысшы неше күнде орындайды?
|
Ш |
е |
ш |
у |
і |
: |
х |
- |
|
|
|
|
|
|
|
|
|
|
|
|
|
|
|
|
|
|
|
|
|
|
|
|
|
|
|
|
|
|
|
|
|
|
|
|
|
|
|
|
|
|
|
|
|
|
|
|
|
|
|
|
|
|
|
|
|
|
|
|
|
|
|
|
|
|
|
|
|
|
|
|
|
|
|
|
|
|
|
|
|
|
|
|
|
|
|
Есептің шарты бойынша пропорция құрамыз:
|
|
|
|
|
|
|
|
|
|
|
|
|
|
|
|
|
|
|
|
|
|
|
|
|
|
|
|
|
|
|
|
|
|
|
|
|
|
|
|
|
|
|
|
|
|
|
|
|
|
|
|
|
|
|
|
|
|
|
|
|
|
|
|
|
|
|
|
|
|
|
|
|
|
|
|
|
|
|
|
|
|
|
|
|
|
|
|
|
|
|
|
|
|
|
|
2.Екі қала арасындағы қашықтықты жүк пойызы 60 км/сағ жылдамдықпен 2,8 сағ жүрді.
Екі қала арасындағы қашықтықты жүрдек пойыз 84 км/сағ жылдамдықпен неше сағат жүреді?
|
Ш |
е |
ш |
у |
і |
: |
х |
- |
|
|
|
|
|
|
|
|
|
|
|
|
|
|
|
|
|
|
|
|
|
|
|
|
|
|
|
|
|
|
|
|
|
|
|
|
|
|
|
|
|
|
|
|
|
|
|
|
|
|
|
|
|
|
|
|
|
|
|
|
|
|
|
|
|
|
|
|
|
|
|
|
|
|
|
|
|
|
|
|
|
|
|
|
|
|
|
Есептің шарты бойынша пропорция құрамыз:
|
|
|
|
|
|
|
|
|
|
|
|
|
|
|
|
|
|
|
|
|
|
|
|
|
|
|
|
|
|
|
|
|
|
|
|
|
|
|
|
|
|
|
|
|
|
|
|
|
|
|
|
|
|
|
|
|
|
|
|
|
|
|
|
|
|
|
|
|
|
|
|
|
|
|
|
|
|
|
|
|
|
|
|
|
|
|
|
|
|
|
|
|
|
|
|
7-сабақ. Шеңбердің ұзындығы. Дөңгелектің ауданы. Шар
1.Радиустың берілген мәні бойынша шеңбердің ұзындығын, дөңгелектің ауданын тауып, кестені толтырыңдар.
|
Радиусы, R (см) |
3 |
5 |
8 |
10 |
|
Шеңбердің ұзындығы, С (см) |
|
|
|
|
|
Дөңгелектің ауданы, S (см 2) |
|
|
|
|
2.Дөңгелек тәріздес цирк алаңының шеңберінің ұзындығы 40,82 м. Цирк алаңының диматрін табыңдар.
|
|
|
|
|
|
|
|
|
|
|
|
|
|
|
|
|
|
|
|
|
|
|
|
|
|
|
|
|
|
|
|
|
|
|
|
|
|
|
|
|
|
|
|
|
|
|
|
|
|
|
|
|
|
|
|
|
|
|
|
|
|
|
|
|
|
|
|
|
|
|
|
|
|
|
|
|
|
|
|
|
|
|
|
|
|
|
|
|
|
|
|
|
|
|
|
|
|
|
|
|
|
|
|
|
|
|
|
|
|
|
|
|
|
|
|
|
|
|
|
|
|
|
|
|
|
|
|
|
|
|
|
|
|
|
|
|
|
|
|
|
|
|
|
|
|
|
|
|
|
|
|
|
|
|
|
|
|
|
|
|
|
D=?
3.Шеңбердің ұзындығы 43,96 см дөңгелектің ауданын табыңдар.
|
Ш |
е |
ш |
у |
і |
: |
|
|
|
|
|
|
|
|
|
|
|
|
|
|
|
|
|
|
|
|
|
|
|
|
|
|
|
|
|
|
|
|
|
|
|
|
|
|
|
|
|
|
|
|
|
|
|
|
|
|
|
|
|
|
|
|
|
|
|
|
|
|
|
|
|
|
|
|
|
|
|
|
|
|
|
|
|
|
|
|
|
|
|
|
|
|
|
|
|
|
|
|
|
|
|
|
|
|
|
|
|
|
|
|
|
|
|
|
|
|
|
|
|
|
|
|
|
|
|
|
|
|
|
|
|
|
|
|
|
|
|
|
|
|
|
|
|
|
|
|
|
|
|
|
|
|
|
|
|
|
|
|
|
|
|
|
|
|
|
|
|
|
|
|
|
|
|
|
|
|
|
|
|
|
|
|
|
|
|
|
|
|
|
|
|
8-сабақ. Жиын және оның элементтері. Ішкі жиын
1. 23 санынан кіші сандардың А жиынын жазыңдар.
|
|
|
|
|
|
|
|
|
|
|
|
|
|
|
|
|
|
|
|
|
|
|
|
|
|
|
|
|
|
|
|
|
|
|
|
|
|
|
|
|
|
|
|
|
|
|
|
|
|
|
|
|
|
|
|
|
|
|
|
|
|
|
|
|
|
|
|
|
|
|
|
|
|
|
|
|
|
|
|
|
|
|
|
|
|
|
|
|
|
|
|
|
|
|
|
|
|
|
|
|
|
|
|
|
|
|
|
|
|
|
|
|
|
|
|
|
|
|
|
|
|
|
|
|
|
|
|
2.Суреттегі үшбұрыштардың С жиынын жазыңдар.

|
|
|
|
|
|
|
|
|
|
|
|
|
|
|
|
|
|
|
|
|
|
|
|
|
|
|
|
|
|
|
|
|
|
|
|
|
|
|
|
|
|
|
|
|
|
|
|
|
|
|
|
|
|
|
|
|
|
|
|
|
|
|
|
|
|
|
|
|
|
|
|
|
|
|
|
|
|
|
|
|
|
|
|
|
|
|
|
|
|
|
|
|
|
|
|
|
|
|
|
|
|
|
|
|
|
|
|
|
|
|
|
|
|
|
|
|
|
|
|
|
|
|
|
|
|
|
|
|
|
|
|
|
|
|
|
|
|
|
|
|
|
|
|
|
|
|
|
|
|
|
|
|
|
|
|
|
|
|
|
|
|
|
|
|
|
|
|
|
|
|
|
|
|
|
|
|
|
|
|
|
|
|
|
|
|
|
|
|
|
|
|
3.30 санынан кіші 3-ке еселік сандардың В жиынын жазыңдар.
|
|
|
|
|
|
|
|
|
|
|
|
|
|
|
|
|
|
|
|
|
|
|
|
|
|
|
|
|
|
|
|
|
|
|
|
|
|
|
|
|
|
|
|
|
|
|
|
|
|
|
|
|
|
|
|
|
|
|
|
|
|
|
|
|
|
|
|
|
|
|
|
|
|
|
|
|
|
|
|
|
|
|
|
|
|
|
|
|
|
|
|
|
|
|
|
|
|
|
|
|
|
|
|
|
|
|
|
|
|
|
|
|
|
|
|
|
|
|
|
|
|
|
|
|
|
|
|
9-сабақ. Жиындардың қиылысуы. Жиындардың бірігуі
1
.А= 2,3,5 ; В= 3,5,7 және С=
1,7,9 :
а) А және В жиындарының қиылысуын жазыңдар;
ә) А және С жиындарының қиылысуын жазыңдар;
б) А және С жиындарының бірігуін жазыңдар.
|
|
|
|
|
|
|
|
|
|
|
|
|
|
|
|
|
|
|
|
|
|
|
|
|
|
|
|
|
|
|
|
|
|
|
|
|
|
|
|
|
|
|
|
|
|
|
|
|
|
|
|
|
|
|
|
|
|
|
|
|
|
|
|
|
|
|
|
|
|
|
|
|
|
|
|
|
|
|
|
|
|
|
|
|
|
|
|
|
|
|
|
|
|
|
|
|
|
|
|
|
|
|
|
|
|
|
|
|
|
|
|
|
|
|
|
|
|
|
|
|
|
|
|
|
|
|
|
|
|
|
|
|
|
|
|
|
|
|
|
|
|
|
|
|
|
|
|
|
|
|
|
|
|
|
|
|
|
|
|
|
|
|
|
|
|
|
|
|
|
|
|
|
|
|
|
|
|
|
|
|
|
|
|
|
|
|
|
|
|
|
|
2. «Математика» сөзіндегі әріптердің D жиынынан және «грамматика» сөзіндегі әріптердің Е жиынынан D және Е жиындарының:
а) қиылысуын____________________________________________________
ә) бірігуін жазыңдар______________________________________________
![]()
3
. В=
a,b,c,d
және
С=
a,b,c,d,e,f
:
а) В және С жиындарының бірігуін жазыңдар;
_______________________________________________________________
а) В және С жиындарының қиылысуын жазыңдар;
_______________________________________________________________
II ТАРАУ. ОҢ САНДАР ЖӘНЕ ТЕРІС САНДАР
10-сабақ. Оң және теріс сандар
1.Оң немесе теріс сандармен жазыңдар:
![]()
а) көшеде 20 С аяз – _____________________________________________
ә
) үйде 20
С жылы –
____________________________________________
б) Команда мүшелері 4 ұпай ұтты – ________________________________
в) Команда мүшелері 4 ұпайға ұтылды – ____________________________

2.Суреттегі термометрдің көрсетуін жазыңдар:
а) таңертеңгілік температура –________________________
ә) кешкі температура –______________________________
в) таңертеңгіге қарағанда кешке температура неше градусқа
төмендеді? –_______________________________________
таңертең кешке
3.Шамаларды мағынасына қарай оң санмен немесе теріс санмен жазыңдар:
![]()
а) Ұшақ 800 м биіктікте ұшты - м
![]()
ә
) Қыстың
бір күнінде 42 аяз болды- м
![]()
б) Сүңгуір қайық 150 м тереңдікте жүзді - м
11-сабақ. Координаталық түзу. Координаталық түзу бойында рационал сандарды кескіндеу
1.Координаталық түзудегі A,B,C,P,K және E нүктелерін белгілеңдер.
|
|
|
|
|
|
|
|
|
|
|
|
|
|
|
|
|
|
|
|
|
|
|
|
|
|
|
|
|
|
|
|
|
|
|
|
|
|
|
|
|
|
|
|
|
|
|
|
|
|
|
|
|
|
|
|
|
|
|
|
|
|
|
|
|
|
|
|
|
|
|
|
|
|
|
|
|
|
|
|
|
|
|
|
|
|
|
|
|
|
|
|
|
|
|
|
|
|
|
|
|
|
|
|
|
|
|
|
|
|
|
|
|
|
|
|
|
|
|
|
|
|
|
|
|
|
|
|
|
|
|
|
|
|
|
|
|
|
|
|
|
|
|
|
|
|
|
|
|
|
|
|
|
|
|
|
|
|
|
|
|
|
|
|
|
|
|
|
|
|
|
|
|
|
|
|
|
|
|
|
|
|
|
|
|
|
|
|
|
|
|
|
A( ); B( ); C( ); P( ); K( ); E( ).
2.Координаталық түзудегі A (-2); B (1); C (-4); D(4) нүктелерін белгілеңдер.
|
|
|
|
|
|
|
|
|
|
|
|
|
|
|
|
|
|
|
|
|
|
|
|
|
|
|
|
|
|
|
|
|
|
|
|
|
|
|
|
|
|
|
|
|
|
|
|
|
|
|
|
|
|
|
|
|
|
|
|
|
|
|
|
|
|
|
|
|
|
|
|
|
|
|
|
|
|
|
|
|
|
|
|
|
|
|
|
|
|
|
|
|
|
|
|
|
|
|
|
|
|
|
|
|
|
|
|
|
|
|
|
|
|
|
|
|
|
|
|
|
|
|
|
|
|
|
|
|
|
|
|
|
|
|
|
|
|
|
|
|
|
|
|
|
|
|
|
|
|
|
|
|
|
|
|
|
|
|
|
|
|
|
|
|
|
|
|
|
|
|
|
|
|
|
|
|
|
|
|
|
|
|
|
|
|
|
|
|
|
|
|
3.Кординаталық түзудегі А (-2) нүктесінен:
а) оң бағытта 6 бірлік кесіндіге тең қашықтықтағы Е нүктесін белігеп, оны координатасымен жазыңдар;
ә) теріс бағытта 2 бірлік кесіндіге тең қашықтықтағы К нүктесін белгілеп, оны координатасымен жазыңдар.
|
|
|
|
|
|
|
|
|
|
|
|
|
|
|
|
|
|
|
|
|
|
|
|
|
|
|
|
|
|
|
|
|
|
|
|
|
|
|
|
|
|
|
|
|
|
|
|
|
|
|
|
|
|
|
|
|
|
|
|
|
|
|
|
|
|
|
|
|
|
|
|
|
|
|
|
|
|
|
|
|
|
|
|
|
|
|
|
|
|
|
|
|
|
|
|
|
|
|
|
|
|
|
|
|
|
|
|
|
|
|
|
|
|
|
|
|
|
|
|
|
|
|
|
|
|
|
|
|
|
|
|
|
|
|
|
|
|
|
|
|
|
|
|
|
|
|
|
|
|
|
|
|
|
|
|
|
|
|
|
|
|
|
|
|
|
|
|
|
|
|
|
|
|
|
|
|
|
|
|
|
|
|
|
|
|
|
|
|
|
|
|
12-сабақ. Қарама-қарсы сандар
1.Координаталық түзуде A(-2); B(-4); C(3); нүктелерін белгілеңдер. Координаталары осы нүктелердің координаталарына қарама-қарсы сандар болатын Е, К және N нүктелерін белгілеңдер.
|
|
|
|
|
|
|
|
|
|
|
|
|
|
|
|
|
|
|
|
|
|
|
|
|
|
|
|
|
|
|
|
|
|
|
|
|
|
|
|
|
|
|
|
|
|
|
|
|
|
|
|
|
|
|
|
|
|
|
|
|
|
|
|
|
|
|
|
|
|
|
|
|
|
|
|
|
|
|
|
|
|
|
|
|
|
|
|
|
|
|
|
|
|
|
|
|
|
|
|
|
|
|
|
|
|
|
|
|
|
|
|
|
|
|
|
|
|
|
|
|
|
|
|
|
|
|
|
|
|
|
|
|
|
|
|
|
|
|
|
|
|
|
|
|
|
|
|
|
|
|
|
|
|
|
|
|
|
|
|
|
|
|
|
|
|
|
|
|
|
|
|
|
|
|
|
|
|
|
|
|
|
|
|
|
|
|
|
|
|
|
|
2.Қарама-қарсы сандарды сандарды жазыңдар:
а) 7,2 және 18 сандарының қосындысына____________________________
ә) 6 және 5,1 сандарының айырмасына______________________________
б) 0,2 және 0,7 сандарының көбейтіндісіне___________________________
в) 44 және 0,9 сандарының бөліндісіне_______________________________
![]()
3.Мына рационал сандарды түрінде жазыңдар:
|
|
|
|
|
|
|
|
|
|
|
|
|
|
|
|
|
|
|
|
|
|
|
|
|
|
|
|
|
|
|
|
|
|
|
|
|
|
|
|
|
|
|
|
|
|
|
|
|
|
|
|
|
|
|
|
|
|
|
|
|
|
|
|
|
|
|
|
|
|
|
|
|
|
|
|
|
|
|
|
|
|
|
|
|
|
|
|
|
|
|
|
|
|
|
|
|
|
|
|
|
|
|
|
|
|
|
|
|
|
|
|
|
|
|
|
|
|
|
|
|
|
|
|
|
|
|
|
|
|
|
|
|
|
|
|
|
|
|
|
|
|
|
|
|
|
|
|
|
|
|
|
|
|
|
|
|
|
|
|
|
|
|
|
|
|
|
|
|
|
|
|
|
|
|
|
|
|
|
|
|
|
|
|
|
|
|
|
|
|
|
|
|
|
|
|
|
|
|
|
|
|
|
|
|
|
|
|
|
|
|
|
|
|
|
|
|
|
|
|
|
|
|
|
|
|
|
|
|
|
|
|
|
|
|
|
|
|
|
|
|
|
|
|
|
|
|
|
|
|
|
|
|
|
|
|
|
|
|
|
|
|
|
|
|
|
|
|
|
|
|
|
|
|
|
|
|
|
|
|
|
|
|
|
|
|
|
|
13-сабақ.Рационал санның модулі
1.Координаталық түзуде М(-4) және К(3) нүктелерін белгілеңдер:
|
|
|
|
|
|
|
|
|
|
|
|
|
|
|
|
|
|
|
|
|
|
|
|
|
|
|
|
|
|
|
|
|
|
|
|
|
|
|
|
|
|
|
|
|
|
|
|
|
|
|
|
|
|
|
|
|
|
|
|
|
|
|
|
|
|
|
|
|
|
|
|
|
|
|
|
|
|
|
|
|
|
|
|
|
|
|
|
|
|
|
|
|
|
|
|
|
|
|
|
|
|
|
|
|
|
|
|
|
|
|
|
|
|
|
|
|
|
|
|
|
|
|
|
|
|
|
|
|
|
|
|
|
|
|
|
|
|
|
|
|
|
|
|
|
|
|
|
|
|
|
|
|
|
|
|
|
|
|
|
|
|
|
|
|
|
|
|
|
|
|
|
|
|
|
|
|
|
|
|
|
|
|
|
|
|
|
|
|
|
|
|
а) М және К нүктелері санақ басынан неше бірлік кесіндіге тең қашықтықта орналасқан?
_______________________________________________________________
ә) -4 және 3 сандарының модулі неге тең?
_______________________________________________________________
2. Мына сандардың модульдерін табыңдар:
|
|
|
|
|
|
|
|
|
|
|
|
|
|
|
|
|
|
|
|
|
|
|
|
|
|
|
|
|
|
|
|
|
|
|
|
|
|
|
|
|
|
|
|
|
|
|
|
|
|
|
|
|
|
|
|
|
|
|
|
|
|
|
|
|
|
|
|
|
|
|
|
|
|
|
|
|
|
|
|
|
|
|
|
|
|
|
|
|
|
|
|
|
|
|
|
|
|
|
|
|
|
|
|
|
|
|
|
|
|
|
|
|
|
|
|
|
|
|
|
|
|
|
|
|
|
|
|
|
|
|
|
|
|
|
|
|
|
|
|
|
|
|
|
|
|
|
|
|
|
|
|
|
|
|
|
|
|
|
|
|
|
|
|
|
|
|
|
|
|
|
|
|
|
|
|
|
|
|
|
|
|
|
|
|
|
|
|
|
|
|
|
![]()
3.Егер болса,
Өрнегінің мәнін табыңдар.
|
|
|
|
|
|
|
|
|
|
|
|
|
|
|
|
|
|
|
|
|
|
|
|
|
|
|
|
|
|
|
|
|
|
|
|
|
|
|
|
|
|
|
|
|
|
|
|
|
|
|
|
|
|
|
|
|
|
|
|
|
|
|
|
|
|
|
|
|
|
|
|
|
|
|
|
|
|
|
|
|
|
|
|
|
|
|
|
|
|
|
|
|
|
|
|
|
|
|
|
|
|
|
|
|
|
|
|
|
|
|
|
|
|
|
|
|
|
|
|
|
|
|
|
|
|
|
|
|
|
|
|
|
|
|
|
|
|
|
|
|
|
|
|
|
|
|
|
|
|
|
|
|
|
|
|
|
|
|
|
|
|
|
|
|
|
|
|
|
|
|
|
|
|
|
|
|
|
|
|
|
|
|
|
|
|
|
|
|
|
|
|
14-сабақ.Рационал сандарды салыстыру
1.Мына бүтін сандарды координаталық түзуде кескіндеңдер. Салыстырып, өсу ретімен жазыңдар: 3; -5; 4; -1; 5; -6.
|
|
|
|
|
|
|
|
|
|
|
|
|
|
|
|
|
|
|
|
|
|
|
|
|
|
|
|
|
|
|
|
|
|
|
|
|
|
|
|
|
|
|
|
|
|
|
|
|
|
|
|
|
|
|
|
|
|
|
|
|
|
|
|
|
|
|
|
|
|
|
|
|
|
|
|
|
|
|
|
|
|
|
|
|
|
|
|
|
|
|
|
|
|
|
|
|
|
|
|
|
|
|
|
|
|
|
|
|
|
|
|
|
|
|
|
|
|
|
|
|
|
|
|
|
|
|
|
|
|
|
|
|
|
|
|
|
|
|
|
|
|
|
|
|
|
|
|
|
|
|
|
|
|
|
|
|
|
|
|
|
|
|
|
|
|
|
|
|
|
|
|
|
|
|
|
|
|
|
|
|
|
|
|
|
|
|
|
|
|
|
|
2.Сандарды 0 санымен салыстырыңдар:
![]()
|
|
|
|
|
|
|
|
|
|
|
|
|
|
|
|
|
|
|
|
|
|
|
|
|
|
|
|
|
|
|
|
|
|
|
|
|
|
|
|
|
|
|
|
|
|
|
|
|
|
|
|
|
|
|
|
|
|
|
|
|
|
|
|
|
|
|
|
|
|
|
|
|
|
|
|
|
|
|
|
|
|
|
|
|
|
|
|
|
|
|
|
|
|
|
|
|
|
|
|
|
|
|
|
|
|
|
|
|
|
|
|
|
|
|
|
|
|
|
|
|
|
|
|
|
|
|
|
|
|
|
|
|
|
|
|
|
|
|
|
|
|
|
|
|
|
|
|
|
|
|
|
|
|
|
|
|
|
|
|
|
|
|
|
|
|
|
|
|
|
|
|
|
|
|
|
|
|
|
|
|
|
|
|
|
|
|
|
|
|
|
|
3.Сандарды салыстырыңдар:
а) 3,8 бен -1,7-ні; б) 2,5 пен -2,7-ні;
________________ _________________
ә) -6,9 бен -0,2-ні; в) -9,3 пен -3,9-ды;
________________ __________________
III ТАРАУ. РАЦИОНАЛ САНДАРҒА АМАЛДАР ҚОЛДАНУ
15-сабақ.Теріс сандарды қосу
1.Координаталық түзуде қосуды орындаңдар:

|
|
|
|
|
|
|
|
|
|
|
|
|
|
|
|
|
|
|
|
|
|
|
|
|
|
|
|
|
|
|
|
|
|
|
|
|
|
|
|
|
|
|
|
|
|
|
|
|
|
|
|
|
|
|
|
|
|
|
|
|
|
|
|
|
|
|
|
|
|
|
|
|
|
|
|
|
|
|
|
|
|
|
|
|
|
|
|
|
|
|
|
|
|
|
|
|
|
|
|
|
|
|
|
|
|
|
|
|
|
|
|
|
|
|
|
|
|
|
|
|
|
|
|
|
|
|
|
|
|
|
|
|
|
|
|
|
|
|
|
|
|
|
|
|
|
|
|
|
|
|
|
|
|
|
|
|
|
|
|
|
|
|
|
|
|
|
|
|
|
|
|
|
|
|
|
|
|
|
|
|
|
|
|
|
|
|
|
|
|
|
|
|
|
|
|
|
|
|
|
|
|
|
|
|
|
|
|
|
|
|
|
|
|
|
|
|
|
|
|
|
|
|
|
|
|
|
|
|
|
|
|
|
|
|
|
|
|
|
|
|
|
|
|
|
|
|
|
|
|
|
|
|
|
|
|
|
|
|
|
|
|
|
|
|
|
|
|
|
|
|
|
|
|
|
|
|
|
|
|
|
|
|
|
|
|
|
|
|
|
|
|
|
|
|
|
|
|
|
|
|
|
|
|
|
|
|
|
|
|
|
|
|
|
|
|
|
|
|
|
|
|
|
|
|
|
|
|
|
|
|
|
|
|
|
|
|
|
|
|
|
|
|
|
|
|
|
|
|
|
|
|
|
|
|
|
|
|
|
|
|
|
|
|
|
|
|
|
|
|
|
|
|
|
|
|
|
|
|
|
|
|
|
|
2
.Қосындыны
табыңдар:
|
|
|
|
|
|
|
|
|
|
|
|
|
|
|
|
|
|
|
|
|
|
|
|
|
|
|
|
|
|
|
|
|
|
|
|
|
|
|
|
|
|
|
|
|
|
|
|
|
|
|
|
|
|
|
|
|
|
|
|
|
|
|
|
|
|
|
|
|
|
|
|
|
|
|
|
|
|
|
|
|
|
|
|
|
|
|
|
|
|
|
|
|
|
|
|
|
|
|
|
|
|
|
|
|
|
|
|
|
|
|
|
|
|
|
|
|
|
|
|
|
|
|
|
|
|
|
|
|
|
|
|
|
|
|
|
|
|
|
|
|
|
|
|
|
|
|
|
|
|
|
|
|
|
|
|
|
|
|
|
|
|
|
|
|
|
|
|
|
|
|
|
|
|
|
|
|
|
|
|
|
|
|
|
|
|
|
|
|
|
|
|
3.Теңдеуді шешіңдер:
а) х-(-5)=-25; б) у-(-3,9) =-8;
________________ ________________
ә) у-(-2,5)=-7 ; в) у-(-19) =-3.
________________ ________________
16-сабақ.Таңбалары әр түрлі екі санды қосу
1.Есептеңдер:
а) 9+(-4)=___________; г) 7+(-7)=____________;
а) -6+2=____________; ғ) 9,3+(-10)=_________;
а) 5+(-7)=___________; д) 2,7+(-0,5)=_________;
в) -3+8=____________; д) 3+(-5,8)=___________;
2.Теңдеуді шешіңдер:
а) х-5=-35; ә) х-1=-99; б) х-7=-56;
___________ ____________ ____________
___________ ____________ ____________
3.Өрнектің мәнін салыстырыңдар:
а) -5,9+3,6 және 5,9+(-3,6);
______________________________
ә) 4,5+(1,6) және 1,6+(-4,5);
______________________________
б) -7+(-3,2) және 3,2+(-7).
______________________________
17-сабақ. Рационал сандарды азайту. Координаталық түзудегі кесіндінің ұзындығы
1.Азайтуды орындаңдар:
5-17= ______________; 2-(-9) = ______________;
-6+10= ______________; 16-(-3) = ______________;
38-50= ______________; 45-(-20) = ______________;
-40-(-40)= ______________; 42-(-15) = ______________;
2.Амалдарды орындаңдар:
-5-8-12-19= _____________________________________________________;
-25-17+4-30= _____________________________________________________;
54-9-16-10-2= _____________________________________________________;
-3,5-4-0,5+8= _____________________________________________________;
3.Координаталық түзу бойындағы СD кесіндісінің ұзындығы 7 бірлік кесіндіге тең. Егер кесіндінің сол жақтағы шеткі нүктесі С(-2) болса, оның оң жақтағы шеткі нүктесінің координатасын табыңдар.
|
|
|
|
|
|
|
|
|
|
|
|
|
|
|
|
|
|
|
|
|
|
|
|
|
|
|
|
|
|
|
|
|
|
|
|
|
|
|
|
|
|
|
|
|
|
|
|
|
|
|
|
|
|
|
|
|
|
|
|
|
|
|
|
|
|
|
|
|
|
|
|
|
|
|
|
|
|
|
|
|
|
|
|
|
|
|
|
|
|
|
|
|
|
|
|
|
|
|
|
|
|
|
|
|
|
|
|
|
|
|
|
|
|
|
|
|
|
|
|
|
|
|
|
|
|
|
|
|
|
|
|
|
|
|
|
|
|
|
|
|
|
|
|
|
|
|
|
|
|
|
|
|
|
|
|
|
|
|
|
|
|
|
|
|
|
|
|
|
|
|
|
|
|
|
|
|
|
|
|
|
|
|
|
|
|
|
|
|
|
|
|
|
|
|
|
|
|
|
|
|
|
|
|
|
|
|
|
|
|
|
|
|
|
|
|
|
|
|
|
|
|
|
|
|
|
|
|
|
|
|
|
|
|
|
|
|
|
|
|
|
|
|
|
|
|
|
|
|
|
|
|
|
|
|
|
18-сабақ. Рационал сандарды көбейту
1.Көбейтуді орындаңдар:
1,2*(-5)= ______________; 6,2*(3,5)= ______________;
-3,4*(-2)=______________; -1,8*(-0,5)= ______________;
-5,6*0,4=______________; 9,3*(-1,2)= ______________;
2.Көбейтіндіні табыңдар:
|
|
|
|
|
|
|
|
|
|
|
|
|
|
|
|
|
|
|
|
|
|
|
|
|
|
|
|
|
|
|
|
|
|
|
|
|
|
|
|
|
|
|
|
|
|
|
|
|
|
|
|
|
|
|
|
|
|
|
|
|
|
|
|
|
|
|
|
|
|
|
|
|
|
|
|
|
|
|
|
|
|
|
|
|
|
|
|
|
|
|
|
|
|
|
|
|
|
|
|
|
|
|
|
|
|
|
|
|
|
|
|
|
|
|
|
|
|
|
|
|
|
|
|
|
|
|
|
|
|
|
|
|
|
|
|
|
|
|
|
|
|
|
|
|
|
|
|
|
|
|
|
|
|
|
|
|
|
|
|
|
|
|
|
|
|
|
|
|
|
|
|
|
|
|
|
|
|
|
|
|
|
|
|
|
|
|
|
|
|
|
|
|
|
|
|
|
|
|
|
|
|
|
|
|
|
|
|
|
|
|
|
|
|
|
|
|
|
|
|
|
|
|
|
|
|
|
|
|
|
|
|
|
|
|
|
|
|
|
|
|
|
|
|
|
|
|
|
|
|
|
|
|
|
|
|
|
|
|
|
|
|
|
|
|
|
|
|
|
|
|
|
|
|
|
|
|
|
|
|
|
|
|
|
|
|
|
|
3.Өрнектің мәнін табыңдар:
|
|
|
|
|
|
|
|
|
|
|
|
|
|
|
|
|
|
|
|
|
|
|
|
|
|
|
|
|
|
|
|
|
|
|
|
|
|
|
|
|
|
|
|
|
|
|
|
|
|
|
|
|
|
|
|
|
|
|
|
|
|
|
|
|
|
|
|
|
|
|
|
|
|
|
|
|
|
|
|
|
|
|
|
|
|
|
|
|
|
|
|
|
|
|
|
|
|
|
|
|
|
|
|
|
|
|
|
|
|
|
|
|
|
|
|
|
|
|
|
|
|
|
|
|
|
|
|
|
|
|
|
|
|
|
|
|
|
|
|
|
|
|
|
|
|
|
|
|
|
|
|
|
|
|
|
|
|
|
|
|
|
|
|
|
|
|
|
|
|
|
|
|
|
|
|
|
|
|
|
|
|
|
|
|
|
|
|
|
|
|
|
|
|
|
|
|
|
|
|
|
|
|
|
|
|
|
|
|
|
|
|
|
|
|
|
|
|
|
|
|
|
|
|
|
|
|
|
|
|
|
|
|
|
|
|
|
|
|
|
|
|
|
|
|
|
|
|
|
|
|
|
|
|
|
|
|
|
|
|
|
|
|
|
|
|
|
|
|
|
|
|
|
|
|
|
|
|
|
|
|
|
|
|
|
|
|
|
|
|
|
|
|
|
|
|
|
|
|
|
|
|
|
|
|
|
|
|
|
|
|
|
|
|
|
|
|
|
|
|
19-сабақ. Рационал сандарды бөлу
1.Бөлуді орындаңдар:
-35: (-7)= _______________; -4: (-4)=_______________;
-80: (-16)= _______________; -2: (-6)= _______________;
-7: (-14)= _______________; -5: (-20)=_______________.
2.Бөліндіні табыңдар:
|
|
|
|
|
|
|
|
|
|
|
|
|
|
|
|
|
|
|
|
|
|
|
|
|
|
|
|
|
|
|
|
|
|
|
|
|
|
|
|
|
|
|
|
|
|
|
|
|
|
|
|
|
|
|
|
|
|
|
|
|
|
|
|
|
|
|
|
|
|
|
|
|
|
|
|
|
|
|
|
|
|
|
|
|
|
|
|
|
|
|
|
|
|
|
|
|
|
|
|
|
|
|
|
|
|
|
|
|
|
|
|
|
|
|
|
|
|
|
|
|
|
|
|
|
|
|
|
|
|
|
|
|
|
|
|
|
|
|
|
|
|
|
|
|
|
|
|
|
|
|
|
|
|
|
|
|
|
|
|
|
|
|
|
|
|
|
|
|
|
|
|
|
|
|
|
|
|
|
|
|
|
|
|
|
|
|
|
|
|
|
|
|
|
|
|
|
|
|
|
|
|
|
|
|
|
|
|
|
|
|
|
|
|
|
|
|
|
|
|
|
|
|
|
|
|
|
|
|
|
|
|
|
|
|
|
|
|
|
|
|
|
|
|
|
|
|
|
|
|
|
|
|
|
|
|
|
|
|
|
|
|
|
|
|
|
|
|
|
|
|
|
|
|
|
|
|
|
|
|
|
|
|
|
|
|
|
|
|
|
|
|
|
|
|
|
|
|
|
|
|
|
|
|
|
|
|
|
|
|
|
|
|
|
|
|
|
|
|
|
|
|
|
|
|
|
|
|
|
|
|
|
|
|
|
|
|
|
|
|
|
|
|
|
|
|
|
|
|
|
|
|
3.Теңдеуді шешіңдер:
а) -5х=10; ә) -6х=13; б) -0,9х=7,2.
____________ _____________ _____________
____________ _____________ _____________
20-сабақ.Рационал сандардың периодты ондық бөлшек түрінде жазылуы
![]()
1.Рационал сандарды (m – бүтін сан, n – натурал сан ) түрінде жазыңдар:

|
|
|
|
|
|
|
|
|
|
|
|
|
|
|
|
|
|
|
|
|
|
|
|
|
|
|
|
|
|
|
|
|
|
|
|
|
|
|
|
|
|
|
|
|
|
|
|
|
|
|
|
|
|
|
|
|
|
|
|
|
|
|
|
|
|
|
|
|
|
|
|
|
|
|
|
|
|
|
|
|
|
|
|
|
|
|
|
|
|
|
|
|
|
|
|
|
|
|
|
|
|
|
|
|
|
|
|
|
|
|
|
|
|
|
|
|
|
|
|
|
|
|
|
|
|
|
|
|
|
|
|
|
|
|
|
|
|
|
|
|
|
|
|
|
|
|
|
|
|
|
|
|
|
|
|
|
|
|
|
|
|
|
|
|
|
|
|
|
|
|
|
|
|
|
|
|
|
|
|
|
|
|
|
|
|
|
|
|
|
|
|
2.Қысқартылмайтын жай бөлшектерді ондық бөлшек түрінде жазыңдар:
|
|
|
|
|
|
|
|
|
|
|
|
|
|
|
|
|
|
|
|
|
|
|
|
|
|
|
|
|
|
|
|
|
|
|
|
|
|
|
|
|
|
|
|
|
|
|
|
|
|
|
|
|
|
|
|
|
|
|
|
|
|
|
|
|
|
|
|
|
|
|
|
|
|
|
|
|
|
|
|
|
|
|
|
|
|
|
|
|
|
|
|
|
|
|
|
|
|
|
|
|
|
|
|
|
|
|
|
|
|
|
|
|
|
|
|
|
|
|
|
|
|
|
|
|
|
|
|
|
|
|
|
|
|
|
|
|
|
|
|
|
|
|
|
|
|
|
|
|
|
|
|
|
|
|
|
|
|
|
|
|
|
|
|
|
|
|
|
|
|
|
|
|
|
|
|
|
|
|
|
|
|
|
|
|
|
|
|
|
|
|
|
|
|
|
|
|
|
|
|
|
|
|
|
|
|
|
|
|
|
|
|
|
|
|
|
|
|
|
|
|
|
|
|
3.Қысқартылмайтын жай бөлшектердің алымын бөліміне бөліп, шектеусіз ондық бөлшек түрінде жазыңдар:
|
|
|
|
|
|
|
|
|
|
|
|
|
|
|
|
|
|
|
|
|
|
|
|
|
|
|
|
|
|
|
|
|
|
|
|
|
|
|
|
|
|
|
|
|
|
|
|
|
|
|
|
|
|
|
|
|
|
|
|
|
|
|
|
|
|
|
|
|
|
|
|
|
|
|
|
|
|
|
|
|
|
|
|
|
|
|
|
|
|
|
|
|
|
|
|
|
|
|
|
|
|
|
|
|
|
|
|
|
|
|
|
|
|
|
|
|
|
|
|
|
|
|
|
|
|
|
|
|
|
|
|
|
|
|
|
|
|
|
|
|
|
|
|
|
|
|
|
|
|
|
|
|
|
|
|
|
|
|
|
21-сабақ.Жай бөлшектің ондық жуықтауы
1.Жай бөлшектердің ондық үлестерге дейін дөңгелектенген ондық жуықтауларын табыңдар (бөлуді екінші периодты шығарып алған соң тоқтатыңдар):
|
|
|
|
|
|
|
|
|
|
|
|
|
|
|
|
|
|
|
|
|
|
|
|
|
|
|
|
|
|
|
|
|
|
|
|
|
|
|
|
|
|
|
|
|
|
|
|
|
|
|
|
|
|
|
|
|
|
|
|
|
|
|
|
|
|
|
|
|
|
|
|
|
|
|
|
|
|
|
|
|
|
|
|
|
|
|
|
|
|
|
|
|
|
|
|
|
|
|
|
|
|
|
|
|
|
|
|
|
|
|
|
|
|
|
|
|
|
|
|
|
|
|
|
|
|
|
|
|
|
|
|
|
|
|
|
|
|
|
|
|
|
|
|
|
|
|
|
|
|
|
|
|
|
|
|
|
|
|
|
|
|
|
|
|
|
|
|
|
|
|
|
|
|
|
|
|
|
|
|
|
|
|
|
|
|
|
|
|
|
|
|
2.Периодты ондық бөлшектерді жүздік үлестерге дейін дөңгелектеңдер:
а) 0,(7)= ___________________; ә) 3,(14)=___________________;
б) -5,(32)=___________________; в) 0,(18)=___________________;
![]()
3. бөлшегінің ондық жуықтауларын тауып, кестені толтырыңдар:
|
ондық жуықтауы |
0,1-ге дейінгі |
0,01-ге дейінгі |
0,001-ге дейінгі |
|
кемімен
|
|
|
|
|
артығымен
|
|
|
|
IV ТАРАУ. АЛГЕБРАЛЫҚ ӨРНЕКТЕР ЖӘНЕ ОЛАРДЫ ТҮРЛЕНДІРУ
22-сабақ.Алгебралық өрнектің мәні. Алгебралық қосынды
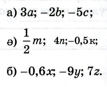
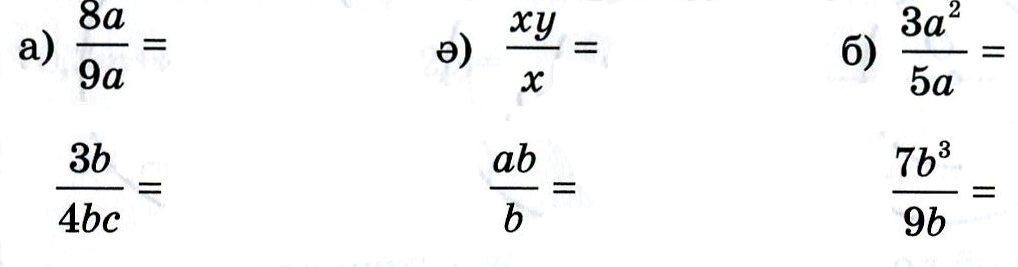
1.Мына қосылғыштардан алгебралық қосынды құрастырыңдар:
|
|
|
|
|
|
|
|
|
|
|
|
|
|
|
|
|
|
|
|
|
|
|
|
|
|
|
|
|
|
|
|
|
|
|
|
|
|
|
|
|
|
|
|
|
|
|
|
|
|
|
|
|
|
|
|
|
|
|
|
|
|
|
|
|
|
|
|
|
|
|
|
|
|
|
|
|
|
|
|
|
|
|
|
|
|
|
|
|
|
|
|
|
|
|
|
|
|
|
|
|
|
|
|
|
|
|
|
|
|
|
|
|
|
|
|
|
|
|
|
|
|
|
|
|
|
|
|
|
|
|
|
|
|
|
|
|
|
|
|
|
|
|
|
|
|
|
|
|
|
|
|
|
|
|
|
|
|
|
|
|
|
|
|
|
|
|
|
|
|
|
|
|
|
|
|
|
|
|
|
|
|
|
|
|
|
|
|
|
|
|
|
|
|
|
|
|
|
|
|
|
|
|
|
|
|
|
|
|
|
|
|
|
|
|
|
|
|
|
|
|
|
|
|
|
|
|
|
|
|
|
|
|
|
|
|
|
|
|
|
|
|
|
|
|
|
|
|
|
|
|
|
|
|
|
|
2.Алгебралық өрнектің мәнін табыңдар:
|
|
|
|
|
|
|
|
|
|
|
|
|
|
|
|
|
|
|
|
|
|
|
|
|
|
|
|
|
|
|
|
|
|
|
|
|
|
|
|
|
|
|
|
|
|
|
|
|
|
|
|
|
|
|
|
|
|
|
|
|
|
|
|
|
|
|
|
|
|
|
|
|
|
|
|
|
|
|
|
|
|
|
|
|
|
|
|
|
|
|
|
|
|
|
|
|
|
|
|
|
|
|
|
|
|
|
|
|
|
|
|
|
|
|
|
|
|
|
|
|
|
|
|
|
|
|
|
|
|
|
|
|
|
|
|
|
|
|
|
|
|
|
|
|
|
|
|
|
|
|
|
|
|
|
|
|
|
|
|
|
|
|
|
|
|
|
|
|
|
|
|
|
|
|
|
|
|
|
|
|
|
|
|
|
|
|
|
|
|
|
|
|
|
|
|
|
|
|
|
|
|
|
|
|
|
|
|
|
|
|
|
|
|
|
|
|
|
|
|
|
|
|
|
|
|
|
|
|
|
|
|
|
|
|
|
|
|
|
|
|
|
|
|
|
|
|
|
|
|
|
|
|
|
|
|
|
|
|
|
|
|
|
|
|
|
|
|
|
|
|
|
|
|
|
|
|
|
|
|
|
|
|
|
|
|
|
|
|
|
|
|
|
|
|
|
|
|
|
|
|
|
|
|
|
|
|
|
|
|
|
|
|
|
|
|
|
|
|
|
|
|
|
|
|
|
|
|
|
|
|
|
|
|
|
|
|
|
|
|
|
|
|
|
|
|
|
|
|
|
|
|
|
|
|
|
|
|
|
|
|
|
|
|
|
|
|
|
|
|
|
|
|
|
|
|
|
|
|
|
|
|
|
|
3.Кинотеатрдың үлкен залында әрбір қатарда 36 орынқтан а қатар, кіші залында әрбір қатарда 24 орындықтан b қатар бар. Кинотеатрдың үлкен және кіші залдарында барлығы неше орындық бар?
|
|
|
|
|
|
|
|
|
|
|
|
|
|
|
|
|
|
|
|
|
|
|
|
|
|
|
|
|
|
|
|
|
|
|
|
|
|
|
|
|
|
|
|
|
|
|
|
|
|
|
|
|
|
|
|
|
|
|
|
|
|
|
|
|
|
|
|
|
|
|
|
|
|
|
|
|
|
|
|
|
|
|
|
|
|
|
|
|
|
|
|
|
|
|
|
|
|
|
|
|
|
|
|
|
|
|
|
|
|
|
|
|
|
|
|
|
|
|
|
|
|
|
|
|
|
|
|
|
|
|
|
|
|
|
|
|
|
|
|
|
|
|
|
|
|
|
|
|
|
|
|
|
|
|
|
|
|
|
|
|
|
|
|
|
|
|
|
|
|
|
|
|
|
|
|
|
|
|
|
|
|
|
|
|
|
|
|
|
|
|
|
|
|
|
|
|
|
|
|
|
|
|
|
|
|
|
|
|
|
|
|
|
|
|
|
|
|
|
|
|
|
|
|
23-сабақ.Қосу мен көбейтудің ауыстырымдылық, терімділік қасиеттерін пайдаланып, алгебралық өрнектерді ықшамдау.
1.Алгебралық қосындыны ықшамдаңдар:
|
|
|
|
|
|
|
|
|
|
|
|
|
|
|
|
|
|
|
|
|
|
|
|
|
|
|
|
|
|
|
|
|
|
|
|
|
|
|
|
|
|
|
|
|
|
|
|
|
|
|
|
|
|
|
|
|
|
|
|
|
|
|
|
|
|
|
|
|
|
|
|
|
|
|
|
|
|
|
|
|
|
|
|
|
|
|
|
|
|
|
|
|
|
|
|
|
|
|
|
|
|
|
|
|
|
|
|
|
|
|
|
|
|
|
|
|
|
|
|
|
|
|
|
|
|
|
|
|
|
|
|
|
|
|
|
|
|
|
|
|
|
|
|
|
|
|
|
|
|
|
|
|
|
|
|
|
|
|
|
|
|
|
|
|
|
|
|
|
|
|
|
|
|
|
|
|
|
|
|
|
|
|
|
|
|
|
|
|
|
|
|
|
|
|
|
|
|
|
|
|
|
|
|
|
|
|
|
|
|
|
|
|
|
|
|
|
|
|
|
|
|
|
|
|
|
|
|
|
|
|
|
|
|
|
|
|
|
|
|
|
|
|
|
|
|
|
|
|
|
|
|
|
|
|
|
|
|
|
|
|
|
|
|
|
|
|
|
|
|
|
|
|
|
|
|
|
|
|
|
|
|
|
|
|
|
|
|
2.Өрнекті ықшамдап, коэфиценттің астын сызыңдар:
|
|
|
|
|
|
|
|
|
|
|
|
|
|
|
|
|
|
|
|
|
|
|
|
|
|
|
|
|
|
|
|
|
|
|
|
|
|
|
|
|
|
|
|
|
|
|
|
|
|
|
|
|
|
|
|
|
|
|
|
|
|
|
|
|
|
|
|
|
|
|
|
|
|
|
|
|
|
|
|
|
|
|
|
|
|
|
|
|
|
|
|
|
|
|
|
|
|
|
|
|
|
|
|
|
|
|
|
|
|
|
|
|
|
|
|
|
|
|
|
|
|
|
|
|
|
|
|
|
|
|
|
|
|
|
|
|
|
|
|
|
|
|
|
|
|
|
|
|
|
|
|
|
|
|
|
|
|
|
|
|
|
|
|
|
|
|
|
|
|
|
|
|
|
|
|
|
|
|
|
|
|
|
|
|
|
|
|
|
|
|
|
|
|
|
|
|
|
|
|
|
|
|
|
|
|
|
|
|
|
|
|
|
|
|
|
|
|
|
|
|
|
|
|
|
|
|
|
|
|
|
|
|
|
|
|
|
|
|
|
|
|
|
|
|
|
|
|
|
|
|
|
|
|
|
|
3.Бөлшектерді қысқартыңдар:
|
|
|
|
|
|
|
|
|
|
|
|
|
|
|
|
|
|
|
|
|
|
|
|
|
|
|
|
|
|
|
|
|
|
|
|
|
|
|
|
|
|
|
|
|
|
|
|
|
|
|
|
|
|
|
|
|
|
|
|
|
|
|
|
|
|
|
|
|
|
|
|
|
|
|
|
|
|
|
|
|
|
|
|
|
|
|
|
|
|
|
|
|
|
|
|
|
|
|
|
|
|
|
|
|
|
|
|
|
|
|
|
|
|
|
|
|
|
|
|
|
|
|
|
|
|
|
|
|
|
|
|
|
|
|
|
|
|
|
|
|
|
|
|
|
|
|
|
|
|
|
|
|
|
|
|
|
|
|
|
|
|
|
|
|
|
|
|
|
|
|
|
|
|
|
|
|
|
|
|
|
|
|
|
|
|
|
|
|
|
|
|
|
|
|
|
|
|
|
|
|
|
|
|
|
|
|
|
|
|
|
|
|
|
|
|
|
|
|
|
|
|
|
|
|
|
|
|
|
|
|
|
|
|
|
|
|
|
|
|
|
|
|
|
|
|
|
|
|
|
|
|
|
|
|
|
24.Жақшаларды ашу. Ортақ көбейткішті жақша сыртына шығару
1.Жақшаны ашып жазыңдар:
1) 0,1+(a-b)= ___________________________________;
2) 3,2-(2с+d)=___________________________________;
3) 1,5-(х-у)= ___________________________________;
4) m-(4,1-n)= ___________________________________;
2.Жақшаны ашып жазып, өрнекті ықшамдаңдар:
1) 3(a+1,2)-10= ___________________________________;
2) 7-2-( b-3))=___________________________________;
3) 8+5(-с-6)= ___________________________________;
4) 1,7(d+8)-5,6= ___________________________________.
3.Ортақ көбейткішті сыртына шығарыңдар:
1) 2a+4b = ______________; 4) 3ab -2а = ______________;
2) 15b-12с)=______________; 5) 4b+12bс= ______________;
3) 21х-35у= ______________; 6) 5ас-3с= ______________;
25.Ұқсас қосылғыштарды біріктіру
1.Ұқсас қосылғыштарды біріктіріңдер:
![]()
1
)
4а-9а-3а= ; 4
)
0,8b+b+1,5b
= ;
![]()
2
)
10а-2а+73а= ;
5)
2,5с-2с+4с= ;
![]()
3) 6b+4b-2b = ; 6) 5,2d-3d+9d= ;
2.Жақшаны ашып, ұқсас қосылғыштарды біріктіріңдер:
1) (3а+1)-(2а-9b) =_________; 3) (8у+7)-(2у+3) =_________;
2) (4х-1)+(5-3х) = _________; 4) (9d-5)-(d-4) = _________.
3.Теңдеуді шешіңдер:
1) 14х-9х=4; 3) 0,3х+1,8х=18,9;
_____________ _____________
2) 2 х +8+3х=15; 4) 1,7х+3-0,8х=7,5.
_____________ _____________
V ТАРАУ. СЫЗЫҚТЫҚ ТЕҢДЕУ ЖӘНЕ СЫЗЫҚТЫҚ ТЕҢСІЗДІК
26-Сабақ.Бір айнымалысы бар сызықтық теңдеу
1.Кестедегі берілген алгоритм бойынша 16х+9=14х+15 теңдеуін шешіңдер.
|
Теңдеуді шешу алгоритмі |
Теңдеуді шешу |
|
Айнымалысы бар мүшелерді теңдеудің бір жағына, бос мүшелерді теңдеудің екінші жағына жинақтаймыз.
|
|
|
|
|
|
|
|
|
|
|
|
Ұқсас қосылғыштарды біріктіреміз.
|
|
|
|
|
|
|
|
|
|
|
|
Теңдеудің екі жағын да х-тің коэффициентіне бөлеміз.
|
|
|
|
|
|
|
|
|
|
2.Теңдеуді шешіңдер:
а) 3х-5=х+11; ә) 1,2х+7=0,8х+9;
_________________ _____________________
_________________ _____________________
_________________ _____________________
б) 5х-8=х+4; в) 4х-7=х+05;
_________________ _____________________
_________________ _____________________
_________________ _____________________
3.Екі кітап сөресінің біреуіндегі кітаптар саны екіншісіндегіден 20% артық. 3 кітапты бірінші сөреден алып, екінші сөреге қойғанда екі сөредегі кітаптар саны бірдей болды. Алғашқыда екінші кітап сөресінде неше кітап болды?
|
Ш |
е |
ш |
у |
і |
: |
|
|
|
|
|
|
|
|
|
|
|
|
|
|
|
|
|
|
|
|
|
|
|
|
|
|
|
|
|
|
|
|
|
|
|
|
|
|
|
|
|
|
|
|
|
|
|
|
|
|
|
|
|
|
|
|
|
|
|
|
|
|
|
|
|
|
|
|
|
|
|
|
|
|
|
|
|
|
|
|
|
|
|
|
|
|
|
|
|
27-сабақ.Санды теңсіздік
![]()
1.Сандарды салыстырып, орнына тиісті теңсіздік белгісін қойыңдар:
![]()
а) 2,3 1,9; б) -5 1; г) -7 0,7;
![]()
ә) 3,8 8,3; в) -8 -10; г) -9 3,9;
2.Салыстырып, теңсіздікпен жазыңдар:
а) х+5 және 8, мұндағы х=6;
ә) 3,9+у және 10, мұндағы у=-2;
б) 15 және х+6,7, мұндағы х=-9;
3.Координаталық түзуде D, Е және F нүктелері берілген.
1) D нүктесінен координатасы мен Е нүктесінің координатасын салыстырып, теңсіздік түрінде жазыңдар.
______________________________________________________________
2)Е нүктесінің координатасы мен F нүктесінің координатасын салыстырып, теңсіздік түрінде жазыңдар.
______________________________________________________________
|
|
|
|
|
|
|
|
|
|
|
|
|
|
|
|
|
|
|
|
|
|
|
|
|
|
|
|
|
|
|
|
|
|
|
|
|
|
|
|
|
|
|
|
|
|
|
|
|
|
|
|
|
|
|
|
|
|
|
|
|
|
|
|
|
|
|
|
|
|
|
|
|
|
|
|
|
|
|
|
|
|
|
|
|
|
|
|
|
|
|
|
|
|
|
|
|
|
|
|
|
|
|
|
|
|
|
|
|
|
|
|
|
|
|
|
|
|
|
|
|
|
|
|
|
|
|
|
28-сабақ. Санды теңсіздіктердің қасиеттері
1.Теңсіздік белгілерін қарама-қарсы белгіге өзгертіп, тура теңсіздікті жазыңдар.
Егер 3<5 болса, онда_______________________________________________
7,
2<9 болса,
онда_______________________________________________
болса, онда_______________________________________________
2. 9<15 теңсіздігінің екі жақ бөлігін де:
а) 7 санын; 4 санын қосыңдар;
_______________________________________________________________
ә) -6 санын; -4 санын қосыңдар.
_______________________________________________________________
3. 60>24 теңсіздігінің екі жақ бөлігін де:
а) 3-ке; 5-ке; 0,2-ге; -0,3-ке көбейтіңдер.
_______________________________________________________________
ә) 3-ке; 2-ге; -4-ке, -6-ға бөліңдер.
_______________________________________________________________
29-сабақ. Санды теңсіздіктерді қосу және азайту
1.Теңсіздіктерді мүшелеп қосыңдар:
а
) 3<7 және 8<8; ә)
2,8>1,5 және 4,3>2;
|
|
|
|
|
|
|
|
|
|
|
|
|
|
|
|
|
|
|
|
|
|
|
|
|
|
|
|
|
|
|
|
|
|
|
|
|
|
|
|
|
|
|
|
|
|
|
|
|
|
|
|
|
|
|
|
|
|
|
|
|
|
|
|
|
|
|
|
|
|
|
|
|
|
|
|
|
|
|
|
|
|
|
|
|
|
|
|
|
|
|
|
|
|
|
|
|
|
|
|
|
|
|
|
|
|
|
|
|
|
|
|
|
|
|
|
|
|
|
|
|
|
|
|
|
|
|
|
|
|
|
|
|
|
|
|
|
|
|
|
|
|
|
|
|
|
|
|
|
|
|
|
|
|
|
|
|
|
|
|
|
|
|
|
|
|
|
|
|
|
|
|
|
|
|
|
|
|
|
|
|
|
|
|
|
|
|
|
|
|
|
|
б) 5>3 және 7>4; в) 7<10 және 6<7.
|
|
|
|
|
|
|
|
|
|
|
|
|
|
|
|
|
|
|
|
|
|
|
|
|
|
|
|
|
|
|
|
|
|
|
|
|
|
|
|
|
|
|
|
|
|
|
|
|
|
|
|
|
|
|
|
|
|
|
|
|
|
|
|
|
|
|
|
|
|
|
|
|
|
|
|
|
|
|
|
|
|
|
|
|
|
|
|
|
|
|
|
|
|
|
|
|
|
|
|
|
|
|
|
|
|
|
|
|
|
|
|
|
|
|
|
|
|
|
|
|
|
|
|
|
|
|
|
2.Теңсіздіктерді мүшелеп азайтыңдар:
а) 8<10-нан 5>3; ә) 12>7-ден 4<6;
б) 5,2>3,7-ден 2,3>1,5; в) 8,3<10-нан 6,2<9;
|
|
|
|
|
|
|
|
|
|
|
|
|
|
|
|
|
|
|
|
|
|
|
|
|
|
|
|
|
|
|
|
|
|
|
|
|
|
|
|
|
|
|
|
|
|
|
|
|
|
|
|
|
|
|
|
|
|
|
|
|
|
|
|
|
|
|
|
|
|
|
|
|
|
|
|
|
|
|
|
|
|
|
|
|
|
|
|
|
|
|
|
|
|
|
|
|
|
|
|
|
|
|
|
|
|
|
|
|
|
|
|
|
|
|
|
|
|
|
|
|
|
|
|
|
|
|
|
|
|
|
|
|
|
|
|
|
|
|
|
|
|
|
|
|
|
|
|
|
|
|
|
|
|
|
|
|
|
|
|
|
|
|
|
|
|
|
|
|
|
|
|
|
|
|
|
|
|
|
|
|
|
|
|
|
|
|
|
|
|
|
|
3.Теңсіздіктерді мүшелеп азайтыңдар:
Бірінші астық қоймасына 180 т, ал екінші астық қоймасында 220 т астық болды. Астық қоймаларының әрқайсысынан 70 т астық тасылып әкетілді. Астық қоймаларының қайсысындағы астық көп, қайсысында аз?
___________________________________________________________________________________________________________________________________________________________________________________________________
30-сабақ. Санды теңсіздіктерді көбейту және бөлу
1.Бөлінді теңсіздікті бағалаңдар:
а) 6<9; 3<5; ә) 30>20; 10>6;
|
|
|
|
|
|
|
|
|
|
|
|
|
|
|
|
|
|
|
|
|
|
|
|
|
|
|
|
|
|
|
|
|
|
|
|
|
|
|
|
|
|
|
|
|
|
|
|
|
|
|
|
|
|
|
|
|
|
|
|
|
|
|
|
|
|
|
|
|
|
|
|
|
|
|
|
|
|
|
|
|
|
|
|
|
|
|
|
|
|
|
|
|
|
|
|
|
|
|
|
|
|
|
|
|
|
|
|
|
|
|
|
|
|
|
|
|
|
|
|
|
|
|
|
|
|
|
|
б) 129>8; 4<6; в) 28<32; 7>4;
|
|
|
|
|
|
|
|
|
|
|
|
|
|
|
|
|
|
|
|
|
|
|
|
|
|
|
|
|
|
|
|
|
|
|
|
|
|
|
|
|
|
|
|
|
|
|
|
|
|
|
|
|
|
|
|
|
|
|
|
|
|
|
|
|
|
|
|
|
|
|
|
|
|
|
|
|
|
|
|
|
|
|
|
|
|
|
|
|
|
|
|
|
|
|
|
|
|
|
|
|
|
|
|
|
|
|
|
|
|
|
|
|
|
|
|
|
|
|
|
|
|
|
|
|
|
|
|
2.ab көбейтіндісін бағалаңдар:
а) 11<a<15 және 4<b<9; ә) 0,25<a<1 және 6<b<10;
|
|
|
|
|
|
|
|
|
|
|
|
|
|
|
|
|
|
|
|
|
|
|
|
|
|
|
|
|
|
|
|
|
|
|
|
|
|
|
|
|
|
|
|
|
|
|
|
|
|
|
|
|
|
|
|
|
|
|
|
|
|
|
|
|
|
|
|
|
|
|
|
|
|
|
|
|
|
|
|
|
|
|
|
|
|
|
|
|
|
|
|
|
|
|
|
|
|
|
|
|
|
|
|
|
|
|
|
|
|
|
|
|
|
|
|
|
|
|
|
|
|
|
|
|
|
|
|
б) 0,4<a<3 және 7<b<9; в) 0,9<a<4 және 0,7<b<1.
|
|
|
|
|
|
|
|
|
|
|
|
|
|
|
|
|
|
|
|
|
|
|
|
|
|
|
|
|
|
|
|
|
|
|
|
|
|
|
|
|
|
|
|
|
|
|
|
|
|
|
|
|
|
|
|
|
|
|
|
|
|
|
|
|
|
|
|
|
|
|
|
|
|
|
|
|
|
|
|
|
|
|
|
|
|
|
|
|
|
|
|
|
|
|
|
|
|
|
|
|
|
|
|
|
|
|
|
|
|
|
|
|
|
|
|
|
|
|
|
|
|
|
|
|
|
|
|
|
|
|
|
|
|
|
|
|
|
|
|
|
|
|
|
|
|
|
|
|
|
|
|
|
|
|
|
|
|
|
|
![]()
3. бөліндісін бағалаңдар:
а) 27<a<56; 7<b<9; ә) 16<a<24; 3<b<8;
б) 12<a<44; 4<b<6; в) 28<a<35; 7<b<14;
|
|
|
|
|
|
|
|
|
|
|
|
|
|
|
|
|
|
|
|
|
|
|
|
|
|
|
|
|
|
|
|
|
|
|
|
|
|
|
|
|
|
|
|
|
|
|
|
|
|
|
|
|
|
|
|
|
|
|
|
|
|
|
|
|
|
|
|
|
|
|
|
|
|
|
|
|
|
|
|
|
|
|
|
|
|
|
|
|
|
|
|
|
|
|
|
|
|
|
|
|
|
|
|
|
|
|
|
|
|
|
|
|
|
|
|
|
|
|
|
|
|
|
|
|
|
|
|
|
|
|
|
|
|
|
|
|
|
|
|
|
|
|
|
|
|
|
|
|
|
|
|
|
|
|
|
|
|
|
|
31-сабақ. Сан аралықтары
1.Суретте кескінделген сан аралықтарының белгіленуін пайдаланып жазыңдар:
|
|
|
|
|
|
|
|
|
|
|
|
|
|
|
|
|
|
|
|
|
|
|
|
|
|
|
|
|
|
|
|
|
|
|
|
|
|
|
|
|
|
|
|
|
|
|
|
|
|
|
|
|
|
|
|
|
|
|
|
|
|
|
|
|
|
|
|
|
|
|
|
|
|
|
|
|
|
|
|
|
|
|
|
|
|
|
|
|
|
|
|
|
|
|
|
|
|
|
|
|
|
|
|
|
|
|
|
|
|
|
|
|
|
|
|
|
|
|
|
|
|
|
|
|
|
|
|
|
|
|
|
|
|
|
|
|
|
|
|
|
|
|
|
|
|
|
|
|
|
|
|
|
|
|
|
|
|
|
|
|
|
|
|
|
|
|
|
|
|
|
|
|
|
|
|
|
|
|
|
|
|
|
|
|
|
|
|
|
|
|
|
|
|
|
|
|
|
|
|
|
|
|
|
|
|
|
|
|
|
|
|
|
|
|
|
|
|
|
|
|
|
|
|
|
|
|
|
|
|
|
|
|
|
|
|
|
|
|
|
|
|
|
|
|
|
|
|
|
|
|
|
|
|
|
|
|
|
|
|
|
|
|
|
|
|
|
|
|
|
|
|
|
|
|
|
|
|
|
|
|
|
|
|
|
|
|
|
2.Сан аралығындағы бүтін сандарды жазыңдар:
|
|
|
|
|
|
|
|
|
|
|
|
|
|
|
|
|
|
|
|
|
|
|
|
|
|
|
|
|
|
|
|
|
|
|
|
|
|
|
|
|
|
|
|
|
|
|
|
|
|
|
|
|
|
|
|
|
|
|
|
|
|
|
|
|
|
|
|
|
|
|
|
|
|
|
|
|
|
|
|
|
|
|
|
|
|
|
|
|
|
|
|
|
|
|
|
|
|
|
|
|
|
|
|
|
|
|
|
|
|
|
|
|
|
|
|
|
|
|
|
|
|
|
|
|
|
|
|
|
|
|
|
|
|
|
|
|
|
|
|
|
|
|
|
|
|
|
|
|
|
|
|
|
|
|
|
|
|
|
|
|
|
|
|
|
|
|
|
|
|
|
|
|
|
|
|
|
|
|
|
|
|
|
|
|
|
|
|
|
|
|
|
|
|
|
|
|
|
|
|
|
|
|
|
|
|
|
|
|
|
|
|
|
|
|
|
|
|
|
|
|
|
|
|
3.Белгіленуімен жазыңдар:
а)1-ден 4-ке дейінгі кесінді – ________________________________________
ә)1-ден 4-ке дейінгі интервал – _______________________________________
б)1-ден 4-ке дейінгі 4 саны қоса алынған жартылай интервал–_________________________________________________________________
в
) -тен 5-ке дейінгі
сәуле________________________________________
32-сабақ.Бір айнымалысы бар сызықтық теңсіздікті шешу
1.Теңсіздіктерді шешіп, шешімдер жиынын сан аралығы арқылы көрсетіңдер:
|
|
|
|
|
|
|
|
|
|
|
|
|
|
|
|
|
|
|
|
|
|
|
|
|
|
|
|
|
|
|
|
|
|
|
|
|
|
|
|
|
|
|
|
|
|
|
|
|
|
|
|
|
|
|
|
|
|
|
|
|
|
|
|
|
|
|
|
|
|
|
|
|
|
|
|
|
|
|
|
|
|
|
|
|
|
|
|
|
|
|
|
|
|
|
|
|
|
|
|
|
|
|
|
|
|
|
|
|
|
|
|
|
|
|
|
|
|
|
|
|
|
|
|
|
|
|
|
|
|
|
|
|
|
|
|
|
|
|
|
|
|
|
|
|
|
|
|
|
|
|
|
|
|
|
|
|
|
|
|
|
|
|
|
|
|
|
|
|
|
|
|
|
|
|
|
|
|
|
|
|
|
|
|
|
|
|
|
|
|
|
|
|
|
|
|
|
|
|
|
|
|
|
|
|
|
|
|
|
|
|
|
|
|
|
|
|
|
|
|
|
|
|
|
2. Теңсіздіктерді шешіңдер:
|
|
|
|
|
|
|
|
|
|
|
|
|
|
|
|
|
|
|
|
|
|
|
|
|
|
|
|
|
|
|
|
|
|
|
|
|
|
|
|
|
|
|
|
|
|
|
|
|
|
|
|
|
|
|
|
|
|
|
|
|
|
|
|
|
|
|
|
|
|
|
|
|
|
|
|
|
|
|
|
|
|
|
|
|
|
|
|
|
|
|
|
|
|
|
|
|
|
|
|
|
|
|
|
|
|
|
|
|
|
|
|
|
|
|
|
|
|
|
|
|
|
|
|
|
|
|
|
|
|
|
|
|
|
|
|
|
|
|
|
|
|
|
|
|
|
|
|
|
|
|
|
|
|
|
|
|
|
|
|
|
|
|
|
|
|
|
|
|
|
|
|
|
|
|
|
|
|
|
|
|
|
|
|
|
|
|
|
|
|
|
|
|
|
|
|
|
|
|
|
|
|
|
|
|
|
|
|
|
|
|
|
|
|
|
|
|
|
|
|
|
|
|
|
|
|
|
|
|
|
|
|
|
|
|
|
|
|
|
|
|
|
|
|
|
|
|
|
|
|
|
|
|
|
|
|
|
|
|
|
|
|
|
|
|
|
|
|
|
|
|
|
|
|
|
|
|
|
|
|
|
|
|
|
|
|
|
|
|
|
|
|
|
|
|
|
|
|
|
|
|
|
|
|
|
|
|
|
|
|
|
|
|
|
|
|
|
|
|
|
|
|
|
|
|
|
|
|
|
|
|
|
|
|
|
|
|
|
|
|
|
|
|
|
|
|
|
|
|
|
|
|
|
|
|
|
|
|
|
|
|
|
|
|
|
|
|
|
|
|
|
|
|
|
|
|
|
|
|
|
|
|
|
|
3.Пойыз 2 сағ 30 мин-та 200 км-ден кем қашқытықты жүрді. Пойыздың жылдамдығын бағалаңдар.
|
|
|
|
|
|
|
|
|
|
|
|
|
|
|
|
|
|
|
|
|
|
|
|
|
|
|
|
|
|
|
|
|
|
|
|
|
|
|
|
|
|
|
|
|
|
|
|
|
|
|
|
|
|
|
|
|
|
|
|
|
|
|
|
|
|
|
|
|
|
|
|
|
|
|
|
|
|
|
|
|
|
|
|
|
|
|
|
|
|
|
|
|
|
|
|
|
|
|
|
|
|
|
|
|
|
|
|
|
|
|
|
|
|
|
|
|
|
|
|
|
|
|
|
|
|
|
|
|
|
|
|
|
|
|
|
|
|
|
|
|
|
|
|
|
|
|
|
|
|
|
|
|
|
|
|
|
|
|
|
|
|
|
|
|
|
|
|
|
|
|
|
|
|
|
|
|
|
|
|
|
|
|
|
|
|
|
|
|
|
|
|
|
|
|
|
|
|
|
|
|
|
|
|
|
|
|
|
|
|
|
|
|
|
|
|
|
|
|
|
|
|
|
|
|
|
|
|
|
|
|
|
|
|
|
|
|
|
|
|
|
|
|
|
|
|
|
|
|
|
|
|
|
|
|
|
|
|
|
|
|
|
|
|
|
|
|
|
|
|
|
|
|
|
|
|
|
|
|
|
|
|
|
|
|
|
|
|
VI ТАРАУ. ЖАЗЫҚТЫҚТАҒЫ КООРДИНАТАЛАР
33-сабақ. Қиылысатын түзулер
1.а,ә,б-суреттерде неше түзу кескінделген? Түзулерді әріптермен белгілеңдер. Олар неше нүктеде қиылысады?_________________________

|
|
|
|
|
|
|
|
|
|
|
|
|
|
|
|
|
|
|
|
|
|
|
|
|
|
|
|
|
|
|
|
|
|
|
|
|
|
|
|
|
|
|
|
|
|
|
|
|
|
|
|
|
|
|
|
|
|
|
|
|
|
|
|
|
|
|
|
|
|
|
|
|
|
|
|
|
|
|
|
|
|
|
|
|
|
|
|
|
|
|
|
|
|
|
|
|
|
|
|
|
|
|
|
|
|
|
|
|
|
|
|
|
|
|
|
|
|
|
|
|
|
|
|
|
|
|
|
|
|
|
|
|
|
|
|
|
|
|
|
|
|
|
|
|
|
|
|
|
|
|
|
|
|
|
|
|
|
|
|
|
|
|
|
|
|
|
|
|
|
|
|
|
|
|
|
|
|
|
|
|
|
|
|
|
|
|
|
|
|
|
|
|
|
|
|
|
|
|
|
|
|
|
|
|
|
|
|
|
|
|
|
|
|
|
|
|
|
|
|
|
|
|
|
|
|
|
|
|
|
|
|
|
|
|
|
|
|
|
|
|
|
|
|
|
|
|
|
|
|
|
|
|
|
|
|
|
|
|
|
|
|
|
|
|
|
|
|
|
|
|
|
|
|
|
|
|
|
|
|
|
|
|
|
|
|
|
|
|
|
|
|
|
|
|
|
|
|
|
|
|
|
|
|
|
|
|
|
|
|
|
|
|
|
|
|
|
|
|
|
Екі түзі неше нүктеде қиылысады?
__________________________________________________________________
2. 1-суреттен: а)вертикаль бұрыштарды жазыңдар.
________________________________________________________________

ә)Олардың әрқайсысының градустық
өлшемін транспортирмен өлшеп жазыңдар.
____________________________________
б)Барлық бұраштардың қосындысы неше
градус?
1-сурет ____________________________________
3
4-сабақ.Перпендикуляр
түзулер. Нүктеден түзуге дейінгі
қашықтық
1
. Түзуінде жатпайтын А
және В нүктелері
а
рқылы түзуіне
перпендикуляр жүргізіңдер.
Перпендикуляр түзулерді « » белгісімен
жазыңдар._____________________________
ә
)
түзуінде
жатқан С
нүктесі
арқылы
түзуіне перпендикуляр
жүргізіңдер. Перпендикуляр түзулерді « » белгісімен
жазыңдар.
_________________________________________________________________
|
|
|
|
|
|
|
|
|
|
|
|
|
|
|
|
|
|
|
|
|
|
|
|
|
|
|
|
|
|
|
|
|
|
|
|
|
|
|
|
|
|
|
|
|
|
|
|
|
|
|
|
|
|
|
|
|
|
|
|
|
|
|
|
|
|
|
|
|
|
|
|
|
|
|
|
|
|
|
|
|
|
|
|
|
|
|
|
|
|
|
|
|
|
|
|
|
|
|
|
|
|
|
|
|
|
|
|
|
|
|
|
|
|
|
|
|
|
|
|
|
|
|
|
|
|
|
|
|
|
|
|
|
|
|
|
|
|
|
|
|
|
|
|
2.Сүйір бұрыш сызып, оның ішкі
аймағындағы А нүктесінен
бұрыштың қабырғаларының
әрқайсысына перпендикуляр
жүргізіңдер.

3.АВС үшбұрышының а төбесінен
ВС қабырғасына, в төбесінен АС
қабырғасына, С төбесінен АВ қабырғасына
п
ерпендикуляр түзу
жүргізіңдер. Оларды
әріптермен белгілеп, « » белгісімен
жазыңдар:
__________________________________________________________________
________________________________________________________________
жүктеу мүмкіндігіне ие боласыз
Бұл материал сайт қолданушысы жариялаған. Материалдың ішінде жазылған барлық ақпаратқа жауапкершілікті жариялаған қолданушы жауап береді. Ұстаз тілегі тек ақпаратты таратуға қолдау көрсетеді. Егер материал сіздің авторлық құқығыңызды бұзған болса немесе басқа да себептермен сайттан өшіру керек деп ойласаңыз осында жазыңыз
Үлгерімі_төмен_оқушылармен_жұмыс 6 сынып матемаика
Үлгерімі_төмен_оқушылармен_жұмыс 6 сынып матемаика
6 сынып Математика
Үлгермеуші оқушымен жұмыс жоспары
|
№ |
Мазмұны
|
Сағат саны |
Мерзімі |
|
1 |
Қатынастар |
1 |
|
|
2 |
Берілген қатынаста бөлуге есептер |
1 |
|
|
3 |
Пропорция |
1 |
|
|
4 |
Тура пропорционал шамалар |
1 |
|
|
5 |
Масштаб |
1 |
|
|
6 |
Кері пропорционал шамалар |
1 |
|
|
7 |
Шеңбердің ұзындығы. Дөңгелектің ауданы. Шар |
1 |
|
|
8 |
Жиын және оның элементтері. Ішкі жиын |
1 |
|
|
9 |
Жиындардың қиылысуы. Жиындардың бірігуі |
1 |
|
|
10 |
Оң және теріс сандар |
1 |
|
|
11 |
Координаталық түзу. Координаталық түзу бойында рационал сандарды кескіндеу |
1 |
|
|
12 |
Қарама-қарсы сандар |
1 |
|
|
13 |
Рационал санның модулі |
1 |
|
|
14 |
Рационал сандарды салыстыру |
1 |
|
|
15 |
Теріс сандарды қосу |
1 |
|
|
16 |
Таңбалары әр түрлі екі санды қосу |
1 |
|
|
17 |
Рационал сандарды азайту. Координаталық түзудегі кесіндінің ұзындығы |
1 |
|
|
18 |
Рационал сандарды көбейту |
1 |
|
|
19 |
Рационал сандарды бөлу |
1 |
|
|
20 |
Рационал сандардың периодты ондық бөлшек түрінде жазылуы |
1 |
|
|
21 |
Жай бөлшектің ондық жуықтауы |
1 |
|
|
22 |
Алгебралық өрнектің мәні. Алгебралық қосынды |
1 |
|
|
23 |
Қосу мен көбейтудің ауыстырымдылық, терімділік қасиеттерін пайдаланып, алгебралық өрнектерді ықшамдау. |
1 |
|
|
24 |
Жақшаларды ашу. Ортақ көбейткішті жақша сыртына шығару |
1 |
|
|
25 |
Ұқсас қосылғыштарды біріктіру |
1 |
|
|
26 |
Бір айнымалысы бар сызықтық теңдеу |
1 |
|
|
27 |
Санды теңсіздік |
1 |
|
|
28 |
Санды теңсіздіктердің қасиеттері |
1 |
|
|
29 |
Санды теңсіздіктерді қосу және азайту |
1 |
|
|
30 |
Санды теңсіздіктерді көбейту және бөлу |
1 |
|
|
31 |
Сан аралықтары |
1 |
|
|
32 |
Бір айнымалысы бар сызықтық теңсіздікті шешу |
1 |
|
|
33 |
Қиылысатын түзулер |
1 |
|
|
34 |
Перпендикуляр түзулер.Нүктеден түзуге дейінгі қашықтық |
1 |
|
I ТАРАУ. ҚАТЫНАСТАР ЖӘНЕ ПРОПОРЦИЯЛАР
1-сабақ. Қатынастар
1.Қатынасты қысқарту арқылы оған тең қатынасты жазыңдар:
8
:6 = ; 15:20= ; 30:25=
;
![]()
21 = 44 = 45 =
24 22 60
2.Қатынастың белгісіз мүшесін табыңдар:
а) х:3= 5; б) 21:х= 17 в) 35:х= 5
х=___________ х=___________ х=___________
3.Дүкендегі 150 м матадан 90 м мата сатылды.
а)Дүкендегі матаның қандай бөлігі сатылды?
__________________________________________________________________
ә)Дүкендегі матаның қандай бөлігі сатылмай қалды?
__________________________________________________________________
б)Сатылған мата дүкендегі сатылмай қалған матадан неше есе артық?
2-сабақ.Берілген қатынаста бөлуге есептер
1.Жазыңқы бұрышты сызып, оны градустық өлшемдерінің қатынасы 5:4 қатынасындай екі бұрышқа бөліңдер.
Жауабы:___________________________________________________________
2.Үшбұрыштың қабырғаларының қатынасы 2:3:4 қатынасындай. Үшбұрыштың периметрі 27 см. Үшбұрыштың қабырғаларының әрқайсысының ұзындықтарын табыңдар.
Шешуі:
1)_________________________________________________________________
2)_____________________________________________________________
3)______________________________________________________________
4)_____________________________________________________________
5)______________________________________________________________
3.Компьютерде бірінші теруші 1 сағатта 8 бет, ал екінші теруші 1 сағатта 6 бет тереді. Олар 84 бет шығарманы бірігіп теріп шықты. Шығарманың бірінші теруші неше бетін терді? Екінші теруші неше бетін терді?
Жауабы:___________________________________________________________
3-сабақ. Пропорция
1.Пропорцияның белгісіз мүшелерін тауып, бос орындарды толтырыңдар:
![]()
а) 6:3=4: ; б) 12:4= : 5;
![]()
ә) :10=6:4; в) 20: = 10:7
2.Пропорция түрінде жазыңдар:
а) 4,2-нің 7-ге қатынасы 3-тің 5-ке қатынасын тең.
ә) 9-дың 6-ға қатынасы 3,6-ның 2,4-ке қатынасына тең.
б)8 саны 5 санынан неше есе артық болса, 4,8 саны 3 санынан сонша есе артық.
в) 6 саны 24 санының қандай бөлігі болса, 9 саны 36 санының сондай бөлігі.
|
|
|
|
|
|
|
|
|
|
|
|
|
|
|
|
|
|
|
|
|
|
|
|
|
|
|
|
|
|
|
|
|
|
|
|
|
|
|
|
|
|
|
|
|
|
|
|
|
|
|
|
|
|
|
|
|
|
|
|
|
|
|
|
|
|
|
|
|
|
|
|
|
|
|
|
|
|
|
|
|
|
|
|
|
|
|
|
|
|
|
|
|
|
|
|
|
|
|
|
|
|
|
|
|
|
|
|
|
|
|
|
|
|
|
|
|
|
|
|
|
|
|
|
|
|
|
|
|
|
|
|
|
|
|
|
|
|
|
|
|
|
|
|
|
|
|
|
|
|
|
|
|
|
|
|
|
|
|
|
|
|
|
|
|
|
|
|
|
|
|
|
|
|
|
|
|
|
|
|
|
|
|
|
|
|
|
|
|
|
|
|
|
|
|
|
|
|
|
|
|
|
|
|
|
|
|
|
|
|
|
|
|
|
|
|
|
|
|
|
|
|
|
|
3.Мына теңдік пропорция бола ма?
Екі тәсілмен тексеріңдер:
а) 3:7,5= 8:20; б) 7:21= 8:16;
ә) 5:18= 9:32,4; в) 26:4= 19,5:3.
|
|
|
|
|
|
|
|
|
|
|
|
|
|
|
|
|
|
|
|
|
|
|
|
|
|
|
|
|
|
|
|
|
|
|
|
|
|
|
|
|
|
|
|
|
|
|
|
|
|
|
|
|
|
|
|
|
|
|
|
|
|
|
|
|
|
|
|
|
|
|
|
|
|
|
|
|
|
|
|
|
|
|
|
|
|
|
|
|
|
|
|
|
|
|
|
|
|
|
|
|
|
|
|
|
|
|
|
|
|
|
|
|
|
|
|
|
|
|
|
|
|
|
|
|
|
|
|
|
|
|
|
|
|
|
|
|
|
|
|
|
|
|
|
|
|
|
|
|
|
|
|
|
|
|
|
|
|
|
|
|
|
|
|
|
|
|
|
|
|
|
|
|
|
|
|
|
|
|
|
|
|
|
|
|
|
|
|
|
|
|
|
4-сабақ. Тура пропорционал шамалар
1.Алюминийдің 15 см 3 көлемінің массасы 40,5 г.
а) Алюминийдің 10 см 3 көлемінің массасы неше грамм?
________________________________________________________________
ә) Массасы 81 г алюминийдің көлемі неше куб сантиметр?
________________________________________________________________
2. 5 кг күріште 3,75 кг крахмал бар.
а) 7 кг күріште неше килограмм крахмал бар?
________________________________________________________________
б) Неше килограмм күріште 6 кг крахмал болады?
________________________________________________________________
3. Трактор 4 сағ жер жыртқанда 128 л жанармай жұмсайды.
а) Трактор 7 сағ жер жыртқанда неше литр жанармай жұмсайды?
________________________________________________________________
б) Трактор неше сағат жер жыртқанда 192 л жанармай жұмсайды?
________________________________________________________________
5-сабақ. Масштаб
1.Тіктөртбұрыштың ені 50 см, ұзындығы 80 см. 1:20 масштабымен осы тік төртбұрышты салыңдар.
1) 1:20 масштабымен сызылған тік төртбұрыштың ені
________________________________________________________________
2) 1:20 масштабымен сызылған тік төртбұрыштың ұзындығы.
________________________________________________________________
|
|
|
|
|
|
|
|
|
|
|
|
|
|
|
|
|
|
|
|
|
|
|
|
|
|
|
|
|
|
|
|
|
|
|
|
|
|
|
|
|
|
|
|
|
|
|
|
|
|
|
|
|
|
|
|
|
|
|
|
|
|
|
|
|
|
|
|
|
|
|
|
|
|
|
|
|
|
|
|
|
|
|
|
|
|
|
|
|
|
|
|
|
|
|
|
|
|
|
|
|
|
|
|
|
|
|
|
|
|
|
|
|
|
|
|
|
|
|
|
|
|
|
|
|
|
|
|
|
|
|
|
|
|
|
|
|
|
|
|
|
|
|
|
|
|
|
|
|
|
|
|
|
|
|
|
|
|
|
|
|
|
|
|
|
|
|
|
|
|
|
|
|
|
|
|
|
|
|
|
|
|
|
|
|
|
|
|
|
|
|
|
2. Ұзындығы 50 м, ені 30 м тік төртбұрышты жер учаскесінің сызбасы 1:1000 масштабымен салыңдар. Сызбадағы тік төртбұрыштың
ұзындығы____________см
ені__________________см
|
|
|
|
|
|
|
|
|
|
|
|
|
|
|
|
|
|
|
|
|
|
|
|
|
|
|
|
|
|
|
|
|
|
|
|
|
|
|
|
|
|
|
|
|
|
|
|
|
|
|
|
|
|
|
|
|
|
|
|
|
|
|
|
|
|
|
|
|
|
|
|
|
|
|
|
|
|
|
|
|
|
|
|
|
|
|
|
|
|
|
|
|
|
|
|
|
|
|
|
|
|
|
|
|
|
|
|
|
|
|
|
|
|
|
|
|
|
|
|
|
|
|
|
|
|
|
|
|
|
|
|
|
|
|
|
|
|
|
|
|
|
|
|
|
|
|
|
|
|
|
|
|
|
|
|
|
|
|
|
|
|
|
|
|
|
|
|
|
|
|
|
|
|
|
|
|
|
|
|
|
|
|
|
|
|
|
|
|
|
|
|
3.Астана мен Қарағанды қалаларының арасы 225 км, ал картада осы қалаларды қосатын кесіндінің ұзындығы 3 см. Картаның масштабын табыңдар.
|
Ш |
е |
ш |
у |
і |
: |
|
|
|
|
|
|
|
|
|
|
|
|
|
|
|
|
|
|
|
|
|
|
|
|
|
|
|
|
|
|
|
|
|
|
|
|
|
|
|
|
|
|
|
|
|
|
|
|
|
|
|
|
|
|
|
|
|
|
|
|
|
|
|
|
|
|
|
|
|
|
|
|
|
|
|
|
|
|
|
|
|
|
|
|
|
|
|
|
|
|
|
|
|
|
|
|
|
|
|
|
|
|
|
|
|
|
|
|
|
|
|
|
|
|
|
|
|
|
|
|
|
|
|
|
|
|
|
|
|
|
|
|
|
|
|
|
|
|
|
|
|
|
|
|
|
|
|
|
|
|
|
|
|
|
|
|
|
|
|
|
|
|
|
|
|
|
|
|
|
|
|
|
|
|
|
|
|
|
|
|
|
|
|
|
|
6-сабақ. Кері пропорционал шамалар
1.Тапсырманы 10 жұмысшы 8 күнде орындауы керек.
1) Осы тапсырма 5 күнде орындалуы үшін неше жұмысшы керек?
|
Ш |
е |
ш |
у |
і |
: |
х |
- |
|
|
|
|
|
|
|
|
|
|
|
|
|
|
|
|
|
|
|
|
|
|
|
|
|
|
|
|
|
|
|
|
|
|
|
|
|
|
|
|
|
|
|
|
|
|
|
|
|
|
|
|
|
|
|
|
|
|
|
|
|
|
|
|
|
|
|
|
|
|
|
|
|
|
|
|
|
|
|
|
|
|
|
|
|
|
|
Есептің шарты бойынша пропорция құрамыз:
|
|
|
|
|
|
|
|
|
|
|
|
|
|
|
|
|
|
|
|
|
|
|
|
|
|
|
|
|
|
|
|
|
|
|
|
|
|
|
|
|
|
|
|
|
|
|
|
|
|
|
|
|
|
|
|
|
|
|
|
|
|
|
|
|
|
|
|
|
|
|
|
|
|
|
|
|
|
|
|
|
|
|
|
|
|
|
|
|
|
|
|
|
|
|
|
2) Осы тапсырманы 20 жұмысшы неше күнде орындайды?
|
Ш |
е |
ш |
у |
і |
: |
х |
- |
|
|
|
|
|
|
|
|
|
|
|
|
|
|
|
|
|
|
|
|
|
|
|
|
|
|
|
|
|
|
|
|
|
|
|
|
|
|
|
|
|
|
|
|
|
|
|
|
|
|
|
|
|
|
|
|
|
|
|
|
|
|
|
|
|
|
|
|
|
|
|
|
|
|
|
|
|
|
|
|
|
|
|
|
|
|
|
Есептің шарты бойынша пропорция құрамыз:
|
|
|
|
|
|
|
|
|
|
|
|
|
|
|
|
|
|
|
|
|
|
|
|
|
|
|
|
|
|
|
|
|
|
|
|
|
|
|
|
|
|
|
|
|
|
|
|
|
|
|
|
|
|
|
|
|
|
|
|
|
|
|
|
|
|
|
|
|
|
|
|
|
|
|
|
|
|
|
|
|
|
|
|
|
|
|
|
|
|
|
|
|
|
|
|
2.Екі қала арасындағы қашықтықты жүк пойызы 60 км/сағ жылдамдықпен 2,8 сағ жүрді.
Екі қала арасындағы қашықтықты жүрдек пойыз 84 км/сағ жылдамдықпен неше сағат жүреді?
|
Ш |
е |
ш |
у |
і |
: |
х |
- |
|
|
|
|
|
|
|
|
|
|
|
|
|
|
|
|
|
|
|
|
|
|
|
|
|
|
|
|
|
|
|
|
|
|
|
|
|
|
|
|
|
|
|
|
|
|
|
|
|
|
|
|
|
|
|
|
|
|
|
|
|
|
|
|
|
|
|
|
|
|
|
|
|
|
|
|
|
|
|
|
|
|
|
|
|
|
|
Есептің шарты бойынша пропорция құрамыз:
|
|
|
|
|
|
|
|
|
|
|
|
|
|
|
|
|
|
|
|
|
|
|
|
|
|
|
|
|
|
|
|
|
|
|
|
|
|
|
|
|
|
|
|
|
|
|
|
|
|
|
|
|
|
|
|
|
|
|
|
|
|
|
|
|
|
|
|
|
|
|
|
|
|
|
|
|
|
|
|
|
|
|
|
|
|
|
|
|
|
|
|
|
|
|
|
7-сабақ. Шеңбердің ұзындығы. Дөңгелектің ауданы. Шар
1.Радиустың берілген мәні бойынша шеңбердің ұзындығын, дөңгелектің ауданын тауып, кестені толтырыңдар.
|
Радиусы, R (см) |
3 |
5 |
8 |
10 |
|
Шеңбердің ұзындығы, С (см) |
|
|
|
|
|
Дөңгелектің ауданы, S (см 2) |
|
|
|
|
2.Дөңгелек тәріздес цирк алаңының шеңберінің ұзындығы 40,82 м. Цирк алаңының диматрін табыңдар.
|
|
|
|
|
|
|
|
|
|
|
|
|
|
|
|
|
|
|
|
|
|
|
|
|
|
|
|
|
|
|
|
|
|
|
|
|
|
|
|
|
|
|
|
|
|
|
|
|
|
|
|
|
|
|
|
|
|
|
|
|
|
|
|
|
|
|
|
|
|
|
|
|
|
|
|
|
|
|
|
|
|
|
|
|
|
|
|
|
|
|
|
|
|
|
|
|
|
|
|
|
|
|
|
|
|
|
|
|
|
|
|
|
|
|
|
|
|
|
|
|
|
|
|
|
|
|
|
|
|
|
|
|
|
|
|
|
|
|
|
|
|
|
|
|
|
|
|
|
|
|
|
|
|
|
|
|
|
|
|
|
|
D=?
3.Шеңбердің ұзындығы 43,96 см дөңгелектің ауданын табыңдар.
|
Ш |
е |
ш |
у |
і |
: |
|
|
|
|
|
|
|
|
|
|
|
|
|
|
|
|
|
|
|
|
|
|
|
|
|
|
|
|
|
|
|
|
|
|
|
|
|
|
|
|
|
|
|
|
|
|
|
|
|
|
|
|
|
|
|
|
|
|
|
|
|
|
|
|
|
|
|
|
|
|
|
|
|
|
|
|
|
|
|
|
|
|
|
|
|
|
|
|
|
|
|
|
|
|
|
|
|
|
|
|
|
|
|
|
|
|
|
|
|
|
|
|
|
|
|
|
|
|
|
|
|
|
|
|
|
|
|
|
|
|
|
|
|
|
|
|
|
|
|
|
|
|
|
|
|
|
|
|
|
|
|
|
|
|
|
|
|
|
|
|
|
|
|
|
|
|
|
|
|
|
|
|
|
|
|
|
|
|
|
|
|
|
|
|
|
8-сабақ. Жиын және оның элементтері. Ішкі жиын
1. 23 санынан кіші сандардың А жиынын жазыңдар.
|
|
|
|
|
|
|
|
|
|
|
|
|
|
|
|
|
|
|
|
|
|
|
|
|
|
|
|
|
|
|
|
|
|
|
|
|
|
|
|
|
|
|
|
|
|
|
|
|
|
|
|
|
|
|
|
|
|
|
|
|
|
|
|
|
|
|
|
|
|
|
|
|
|
|
|
|
|
|
|
|
|
|
|
|
|
|
|
|
|
|
|
|
|
|
|
|
|
|
|
|
|
|
|
|
|
|
|
|
|
|
|
|
|
|
|
|
|
|
|
|
|
|
|
|
|
|
|
2.Суреттегі үшбұрыштардың С жиынын жазыңдар.

|
|
|
|
|
|
|
|
|
|
|
|
|
|
|
|
|
|
|
|
|
|
|
|
|
|
|
|
|
|
|
|
|
|
|
|
|
|
|
|
|
|
|
|
|
|
|
|
|
|
|
|
|
|
|
|
|
|
|
|
|
|
|
|
|
|
|
|
|
|
|
|
|
|
|
|
|
|
|
|
|
|
|
|
|
|
|
|
|
|
|
|
|
|
|
|
|
|
|
|
|
|
|
|
|
|
|
|
|
|
|
|
|
|
|
|
|
|
|
|
|
|
|
|
|
|
|
|
|
|
|
|
|
|
|
|
|
|
|
|
|
|
|
|
|
|
|
|
|
|
|
|
|
|
|
|
|
|
|
|
|
|
|
|
|
|
|
|
|
|
|
|
|
|
|
|
|
|
|
|
|
|
|
|
|
|
|
|
|
|
|
|
3.30 санынан кіші 3-ке еселік сандардың В жиынын жазыңдар.
|
|
|
|
|
|
|
|
|
|
|
|
|
|
|
|
|
|
|
|
|
|
|
|
|
|
|
|
|
|
|
|
|
|
|
|
|
|
|
|
|
|
|
|
|
|
|
|
|
|
|
|
|
|
|
|
|
|
|
|
|
|
|
|
|
|
|
|
|
|
|
|
|
|
|
|
|
|
|
|
|
|
|
|
|
|
|
|
|
|
|
|
|
|
|
|
|
|
|
|
|
|
|
|
|
|
|
|
|
|
|
|
|
|
|
|
|
|
|
|
|
|
|
|
|
|
|
|
9-сабақ. Жиындардың қиылысуы. Жиындардың бірігуі
1
.А= 2,3,5 ; В= 3,5,7 және С=
1,7,9 :
а) А және В жиындарының қиылысуын жазыңдар;
ә) А және С жиындарының қиылысуын жазыңдар;
б) А және С жиындарының бірігуін жазыңдар.
|
|
|
|
|
|
|
|
|
|
|
|
|
|
|
|
|
|
|
|
|
|
|
|
|
|
|
|
|
|
|
|
|
|
|
|
|
|
|
|
|
|
|
|
|
|
|
|
|
|
|
|
|
|
|
|
|
|
|
|
|
|
|
|
|
|
|
|
|
|
|
|
|
|
|
|
|
|
|
|
|
|
|
|
|
|
|
|
|
|
|
|
|
|
|
|
|
|
|
|
|
|
|
|
|
|
|
|
|
|
|
|
|
|
|
|
|
|
|
|
|
|
|
|
|
|
|
|
|
|
|
|
|
|
|
|
|
|
|
|
|
|
|
|
|
|
|
|
|
|
|
|
|
|
|
|
|
|
|
|
|
|
|
|
|
|
|
|
|
|
|
|
|
|
|
|
|
|
|
|
|
|
|
|
|
|
|
|
|
|
|
|
2. «Математика» сөзіндегі әріптердің D жиынынан және «грамматика» сөзіндегі әріптердің Е жиынынан D және Е жиындарының:
а) қиылысуын____________________________________________________
ә) бірігуін жазыңдар______________________________________________
![]()
3
. В=
a,b,c,d
және
С=
a,b,c,d,e,f
:
а) В және С жиындарының бірігуін жазыңдар;
_______________________________________________________________
а) В және С жиындарының қиылысуын жазыңдар;
_______________________________________________________________
II ТАРАУ. ОҢ САНДАР ЖӘНЕ ТЕРІС САНДАР
10-сабақ. Оң және теріс сандар
1.Оң немесе теріс сандармен жазыңдар:
![]()
а) көшеде 20 С аяз – _____________________________________________
ә
) үйде 20
С жылы –
____________________________________________
б) Команда мүшелері 4 ұпай ұтты – ________________________________
в) Команда мүшелері 4 ұпайға ұтылды – ____________________________

2.Суреттегі термометрдің көрсетуін жазыңдар:
а) таңертеңгілік температура –________________________
ә) кешкі температура –______________________________
в) таңертеңгіге қарағанда кешке температура неше градусқа
төмендеді? –_______________________________________
таңертең кешке
3.Шамаларды мағынасына қарай оң санмен немесе теріс санмен жазыңдар:
![]()
а) Ұшақ 800 м биіктікте ұшты - м
![]()
ә
) Қыстың
бір күнінде 42 аяз болды- м
![]()
б) Сүңгуір қайық 150 м тереңдікте жүзді - м
11-сабақ. Координаталық түзу. Координаталық түзу бойында рационал сандарды кескіндеу
1.Координаталық түзудегі A,B,C,P,K және E нүктелерін белгілеңдер.
|
|
|
|
|
|
|
|
|
|
|
|
|
|
|
|
|
|
|
|
|
|
|
|
|
|
|
|
|
|
|
|
|
|
|
|
|
|
|
|
|
|
|
|
|
|
|
|
|
|
|
|
|
|
|
|
|
|
|
|
|
|
|
|
|
|
|
|
|
|
|
|
|
|
|
|
|
|
|
|
|
|
|
|
|
|
|
|
|
|
|
|
|
|
|
|
|
|
|
|
|
|
|
|
|
|
|
|
|
|
|
|
|
|
|
|
|
|
|
|
|
|
|
|
|
|
|
|
|
|
|
|
|
|
|
|
|
|
|
|
|
|
|
|
|
|
|
|
|
|
|
|
|
|
|
|
|
|
|
|
|
|
|
|
|
|
|
|
|
|
|
|
|
|
|
|
|
|
|
|
|
|
|
|
|
|
|
|
|
|
|
|
A( ); B( ); C( ); P( ); K( ); E( ).
2.Координаталық түзудегі A (-2); B (1); C (-4); D(4) нүктелерін белгілеңдер.
|
|
|
|
|
|
|
|
|
|
|
|
|
|
|
|
|
|
|
|
|
|
|
|
|
|
|
|
|
|
|
|
|
|
|
|
|
|
|
|
|
|
|
|
|
|
|
|
|
|
|
|
|
|
|
|
|
|
|
|
|
|
|
|
|
|
|
|
|
|
|
|
|
|
|
|
|
|
|
|
|
|
|
|
|
|
|
|
|
|
|
|
|
|
|
|
|
|
|
|
|
|
|
|
|
|
|
|
|
|
|
|
|
|
|
|
|
|
|
|
|
|
|
|
|
|
|
|
|
|
|
|
|
|
|
|
|
|
|
|
|
|
|
|
|
|
|
|
|
|
|
|
|
|
|
|
|
|
|
|
|
|
|
|
|
|
|
|
|
|
|
|
|
|
|
|
|
|
|
|
|
|
|
|
|
|
|
|
|
|
|
|
3.Кординаталық түзудегі А (-2) нүктесінен:
а) оң бағытта 6 бірлік кесіндіге тең қашықтықтағы Е нүктесін белігеп, оны координатасымен жазыңдар;
ә) теріс бағытта 2 бірлік кесіндіге тең қашықтықтағы К нүктесін белгілеп, оны координатасымен жазыңдар.
|
|
|
|
|
|
|
|
|
|
|
|
|
|
|
|
|
|
|
|
|
|
|
|
|
|
|
|
|
|
|
|
|
|
|
|
|
|
|
|
|
|
|
|
|
|
|
|
|
|
|
|
|
|
|
|
|
|
|
|
|
|
|
|
|
|
|
|
|
|
|
|
|
|
|
|
|
|
|
|
|
|
|
|
|
|
|
|
|
|
|
|
|
|
|
|
|
|
|
|
|
|
|
|
|
|
|
|
|
|
|
|
|
|
|
|
|
|
|
|
|
|
|
|
|
|
|
|
|
|
|
|
|
|
|
|
|
|
|
|
|
|
|
|
|
|
|
|
|
|
|
|
|
|
|
|
|
|
|
|
|
|
|
|
|
|
|
|
|
|
|
|
|
|
|
|
|
|
|
|
|
|
|
|
|
|
|
|
|
|
|
|
12-сабақ. Қарама-қарсы сандар
1.Координаталық түзуде A(-2); B(-4); C(3); нүктелерін белгілеңдер. Координаталары осы нүктелердің координаталарына қарама-қарсы сандар болатын Е, К және N нүктелерін белгілеңдер.
|
|
|
|
|
|
|
|
|
|
|
|
|
|
|
|
|
|
|
|
|
|
|
|
|
|
|
|
|
|
|
|
|
|
|
|
|
|
|
|
|
|
|
|
|
|
|
|
|
|
|
|
|
|
|
|
|
|
|
|
|
|
|
|
|
|
|
|
|
|
|
|
|
|
|
|
|
|
|
|
|
|
|
|
|
|
|
|
|
|
|
|
|
|
|
|
|
|
|
|
|
|
|
|
|
|
|
|
|
|
|
|
|
|
|
|
|
|
|
|
|
|
|
|
|
|
|
|
|
|
|
|
|
|
|
|
|
|
|
|
|
|
|
|
|
|
|
|
|
|
|
|
|
|
|
|
|
|
|
|
|
|
|
|
|
|
|
|
|
|
|
|
|
|
|
|
|
|
|
|
|
|
|
|
|
|
|
|
|
|
|
|
2.Қарама-қарсы сандарды сандарды жазыңдар:
а) 7,2 және 18 сандарының қосындысына____________________________
ә) 6 және 5,1 сандарының айырмасына______________________________
б) 0,2 және 0,7 сандарының көбейтіндісіне___________________________
в) 44 және 0,9 сандарының бөліндісіне_______________________________
![]()
3.Мына рационал сандарды түрінде жазыңдар:
|
|
|
|
|
|
|
|
|
|
|
|
|
|
|
|
|
|
|
|
|
|
|
|
|
|
|
|
|
|
|
|
|
|
|
|
|
|
|
|
|
|
|
|
|
|
|
|
|
|
|
|
|
|
|
|
|
|
|
|
|
|
|
|
|
|
|
|
|
|
|
|
|
|
|
|
|
|
|
|
|
|
|
|
|
|
|
|
|
|
|
|
|
|
|
|
|
|
|
|
|
|
|
|
|
|
|
|
|
|
|
|
|
|
|
|
|
|
|
|
|
|
|
|
|
|
|
|
|
|
|
|
|
|
|
|
|
|
|
|
|
|
|
|
|
|
|
|
|
|
|
|
|
|
|
|
|
|
|
|
|
|
|
|
|
|
|
|
|
|
|
|
|
|
|
|
|
|
|
|
|
|
|
|
|
|
|
|
|
|
|
|
|
|
|
|
|
|
|
|
|
|
|
|
|
|
|
|
|
|
|
|
|
|
|
|
|
|
|
|
|
|
|
|
|
|
|
|
|
|
|
|
|
|
|
|
|
|
|
|
|
|
|
|
|
|
|
|
|
|
|
|
|
|
|
|
|
|
|
|
|
|
|
|
|
|
|
|
|
|
|
|
|
|
|
|
|
|
|
|
|
|
|
|
|
|
|
|
13-сабақ.Рационал санның модулі
1.Координаталық түзуде М(-4) және К(3) нүктелерін белгілеңдер:
|
|
|
|
|
|
|
|
|
|
|
|
|
|
|
|
|
|
|
|
|
|
|
|
|
|
|
|
|
|
|
|
|
|
|
|
|
|
|
|
|
|
|
|
|
|
|
|
|
|
|
|
|
|
|
|
|
|
|
|
|
|
|
|
|
|
|
|
|
|
|
|
|
|
|
|
|
|
|
|
|
|
|
|
|
|
|
|
|
|
|
|
|
|
|
|
|
|
|
|
|
|
|
|
|
|
|
|
|
|
|
|
|
|
|
|
|
|
|
|
|
|
|
|
|
|
|
|
|
|
|
|
|
|
|
|
|
|
|
|
|
|
|
|
|
|
|
|
|
|
|
|
|
|
|
|
|
|
|
|
|
|
|
|
|
|
|
|
|
|
|
|
|
|
|
|
|
|
|
|
|
|
|
|
|
|
|
|
|
|
|
|
а) М және К нүктелері санақ басынан неше бірлік кесіндіге тең қашықтықта орналасқан?
_______________________________________________________________
ә) -4 және 3 сандарының модулі неге тең?
_______________________________________________________________
2. Мына сандардың модульдерін табыңдар:
|
|
|
|
|
|
|
|
|
|
|
|
|
|
|
|
|
|
|
|
|
|
|
|
|
|
|
|
|
|
|
|
|
|
|
|
|
|
|
|
|
|
|
|
|
|
|
|
|
|
|
|
|
|
|
|
|
|
|
|
|
|
|
|
|
|
|
|
|
|
|
|
|
|
|
|
|
|
|
|
|
|
|
|
|
|
|
|
|
|
|
|
|
|
|
|
|
|
|
|
|
|
|
|
|
|
|
|
|
|
|
|
|
|
|
|
|
|
|
|
|
|
|
|
|
|
|
|
|
|
|
|
|
|
|
|
|
|
|
|
|
|
|
|
|
|
|
|
|
|
|
|
|
|
|
|
|
|
|
|
|
|
|
|
|
|
|
|
|
|
|
|
|
|
|
|
|
|
|
|
|
|
|
|
|
|
|
|
|
|
|
|
![]()
3.Егер болса,
Өрнегінің мәнін табыңдар.
|
|
|
|
|
|
|
|
|
|
|
|
|
|
|
|
|
|
|
|
|
|
|
|
|
|
|
|
|
|
|
|
|
|
|
|
|
|
|
|
|
|
|
|
|
|
|
|
|
|
|
|
|
|
|
|
|
|
|
|
|
|
|
|
|
|
|
|
|
|
|
|
|
|
|
|
|
|
|
|
|
|
|
|
|
|
|
|
|
|
|
|
|
|
|
|
|
|
|
|
|
|
|
|
|
|
|
|
|
|
|
|
|
|
|
|
|
|
|
|
|
|
|
|
|
|
|
|
|
|
|
|
|
|
|
|
|
|
|
|
|
|
|
|
|
|
|
|
|
|
|
|
|
|
|
|
|
|
|
|
|
|
|
|
|
|
|
|
|
|
|
|
|
|
|
|
|
|
|
|
|
|
|
|
|
|
|
|
|
|
|
|
14-сабақ.Рационал сандарды салыстыру
1.Мына бүтін сандарды координаталық түзуде кескіндеңдер. Салыстырып, өсу ретімен жазыңдар: 3; -5; 4; -1; 5; -6.
|
|
|
|
|
|
|
|
|
|
|
|
|
|
|
|
|
|
|
|
|
|
|
|
|
|
|
|
|
|
|
|
|
|
|
|
|
|
|
|
|
|
|
|
|
|
|
|
|
|
|
|
|
|
|
|
|
|
|
|
|
|
|
|
|
|
|
|
|
|
|
|
|
|
|
|
|
|
|
|
|
|
|
|
|
|
|
|
|
|
|
|
|
|
|
|
|
|
|
|
|
|
|
|
|
|
|
|
|
|
|
|
|
|
|
|
|
|
|
|
|
|
|
|
|
|
|
|
|
|
|
|
|
|
|
|
|
|
|
|
|
|
|
|
|
|
|
|
|
|
|
|
|
|
|
|
|
|
|
|
|
|
|
|
|
|
|
|
|
|
|
|
|
|
|
|
|
|
|
|
|
|
|
|
|
|
|
|
|
|
|
|
2.Сандарды 0 санымен салыстырыңдар:
![]()
|
|
|
|
|
|
|
|
|
|
|
|
|
|
|
|
|
|
|
|
|
|
|
|
|
|
|
|
|
|
|
|
|
|
|
|
|
|
|
|
|
|
|
|
|
|
|
|
|
|
|
|
|
|
|
|
|
|
|
|
|
|
|
|
|
|
|
|
|
|
|
|
|
|
|
|
|
|
|
|
|
|
|
|
|
|
|
|
|
|
|
|
|
|
|
|
|
|
|
|
|
|
|
|
|
|
|
|
|
|
|
|
|
|
|
|
|
|
|
|
|
|
|
|
|
|
|
|
|
|
|
|
|
|
|
|
|
|
|
|
|
|
|
|
|
|
|
|
|
|
|
|
|
|
|
|
|
|
|
|
|
|
|
|
|
|
|
|
|
|
|
|
|
|
|
|
|
|
|
|
|
|
|
|
|
|
|
|
|
|
|
|
3.Сандарды салыстырыңдар:
а) 3,8 бен -1,7-ні; б) 2,5 пен -2,7-ні;
________________ _________________
ә) -6,9 бен -0,2-ні; в) -9,3 пен -3,9-ды;
________________ __________________
III ТАРАУ. РАЦИОНАЛ САНДАРҒА АМАЛДАР ҚОЛДАНУ
15-сабақ.Теріс сандарды қосу
1.Координаталық түзуде қосуды орындаңдар:

|
|
|
|
|
|
|
|
|
|
|
|
|
|
|
|
|
|
|
|
|
|
|
|
|
|
|
|
|
|
|
|
|
|
|
|
|
|
|
|
|
|
|
|
|
|
|
|
|
|
|
|
|
|
|
|
|
|
|
|
|
|
|
|
|
|
|
|
|
|
|
|
|
|
|
|
|
|
|
|
|
|
|
|
|
|
|
|
|
|
|
|
|
|
|
|
|
|
|
|
|
|
|
|
|
|
|
|
|
|
|
|
|
|
|
|
|
|
|
|
|
|
|
|
|
|
|
|
|
|
|
|
|
|
|
|
|
|
|
|
|
|
|
|
|
|
|
|
|
|
|
|
|
|
|
|
|
|
|
|
|
|
|
|
|
|
|
|
|
|
|
|
|
|
|
|
|
|
|
|
|
|
|
|
|
|
|
|
|
|
|
|
|
|
|
|
|
|
|
|
|
|
|
|
|
|
|
|
|
|
|
|
|
|
|
|
|
|
|
|
|
|
|
|
|
|
|
|
|
|
|
|
|
|
|
|
|
|
|
|
|
|
|
|
|
|
|
|
|
|
|
|
|
|
|
|
|
|
|
|
|
|
|
|
|
|
|
|
|
|
|
|
|
|
|
|
|
|
|
|
|
|
|
|
|
|
|
|
|
|
|
|
|
|
|
|
|
|
|
|
|
|
|
|
|
|
|
|
|
|
|
|
|
|
|
|
|
|
|
|
|
|
|
|
|
|
|
|
|
|
|
|
|
|
|
|
|
|
|
|
|
|
|
|
|
|
|
|
|
|
|
|
|
|
|
|
|
|
|
|
|
|
|
|
|
|
|
|
|
|
|
|
|
|
|
|
|
|
|
|
|
|
|
|
2
.Қосындыны
табыңдар:
|
|
|
|
|
|
|
|
|
|
|
|
|
|
|
|
|
|
|
|
|
|
|
|
|
|
|
|
|
|
|
|
|
|
|
|
|
|
|
|
|
|
|
|
|
|
|
|
|
|
|
|
|
|
|
|
|
|
|
|
|
|
|
|
|
|
|
|
|
|
|
|
|
|
|
|
|
|
|
|
|
|
|
|
|
|
|
|
|
|
|
|
|
|
|
|
|
|
|
|
|
|
|
|
|
|
|
|
|
|
|
|
|
|
|
|
|
|
|
|
|
|
|
|
|
|
|
|
|
|
|
|
|
|
|
|
|
|
|
|
|
|
|
|
|
|
|
|
|
|
|
|
|
|
|
|
|
|
|
|
|
|
|
|
|
|
|
|
|
|
|
|
|
|
|
|
|
|
|
|
|
|
|
|
|
|
|
|
|
|
|
|
3.Теңдеуді шешіңдер:
а) х-(-5)=-25; б) у-(-3,9) =-8;
________________ ________________
ә) у-(-2,5)=-7 ; в) у-(-19) =-3.
________________ ________________
16-сабақ.Таңбалары әр түрлі екі санды қосу
1.Есептеңдер:
а) 9+(-4)=___________; г) 7+(-7)=____________;
а) -6+2=____________; ғ) 9,3+(-10)=_________;
а) 5+(-7)=___________; д) 2,7+(-0,5)=_________;
в) -3+8=____________; д) 3+(-5,8)=___________;
2.Теңдеуді шешіңдер:
а) х-5=-35; ә) х-1=-99; б) х-7=-56;
___________ ____________ ____________
___________ ____________ ____________
3.Өрнектің мәнін салыстырыңдар:
а) -5,9+3,6 және 5,9+(-3,6);
______________________________
ә) 4,5+(1,6) және 1,6+(-4,5);
______________________________
б) -7+(-3,2) және 3,2+(-7).
______________________________
17-сабақ. Рационал сандарды азайту. Координаталық түзудегі кесіндінің ұзындығы
1.Азайтуды орындаңдар:
5-17= ______________; 2-(-9) = ______________;
-6+10= ______________; 16-(-3) = ______________;
38-50= ______________; 45-(-20) = ______________;
-40-(-40)= ______________; 42-(-15) = ______________;
2.Амалдарды орындаңдар:
-5-8-12-19= _____________________________________________________;
-25-17+4-30= _____________________________________________________;
54-9-16-10-2= _____________________________________________________;
-3,5-4-0,5+8= _____________________________________________________;
3.Координаталық түзу бойындағы СD кесіндісінің ұзындығы 7 бірлік кесіндіге тең. Егер кесіндінің сол жақтағы шеткі нүктесі С(-2) болса, оның оң жақтағы шеткі нүктесінің координатасын табыңдар.
|
|
|
|
|
|
|
|
|
|
|
|
|
|
|
|
|
|
|
|
|
|
|
|
|
|
|
|
|
|
|
|
|
|
|
|
|
|
|
|
|
|
|
|
|
|
|
|
|
|
|
|
|
|
|
|
|
|
|
|
|
|
|
|
|
|
|
|
|
|
|
|
|
|
|
|
|
|
|
|
|
|
|
|
|
|
|
|
|
|
|
|
|
|
|
|
|
|
|
|
|
|
|
|
|
|
|
|
|
|
|
|
|
|
|
|
|
|
|
|
|
|
|
|
|
|
|
|
|
|
|
|
|
|
|
|
|
|
|
|
|
|
|
|
|
|
|
|
|
|
|
|
|
|
|
|
|
|
|
|
|
|
|
|
|
|
|
|
|
|
|
|
|
|
|
|
|
|
|
|
|
|
|
|
|
|
|
|
|
|
|
|
|
|
|
|
|
|
|
|
|
|
|
|
|
|
|
|
|
|
|
|
|
|
|
|
|
|
|
|
|
|
|
|
|
|
|
|
|
|
|
|
|
|
|
|
|
|
|
|
|
|
|
|
|
|
|
|
|
|
|
|
|
|
|
|
18-сабақ. Рационал сандарды көбейту
1.Көбейтуді орындаңдар:
1,2*(-5)= ______________; 6,2*(3,5)= ______________;
-3,4*(-2)=______________; -1,8*(-0,5)= ______________;
-5,6*0,4=______________; 9,3*(-1,2)= ______________;
2.Көбейтіндіні табыңдар:
|
|
|
|
|
|
|
|
|
|
|
|
|
|
|
|
|
|
|
|
|
|
|
|
|
|
|
|
|
|
|
|
|
|
|
|
|
|
|
|
|
|
|
|
|
|
|
|
|
|
|
|
|
|
|
|
|
|
|
|
|
|
|
|
|
|
|
|
|
|
|
|
|
|
|
|
|
|
|
|
|
|
|
|
|
|
|
|
|
|
|
|
|
|
|
|
|
|
|
|
|
|
|
|
|
|
|
|
|
|
|
|
|
|
|
|
|
|
|
|
|
|
|
|
|
|
|
|
|
|
|
|
|
|
|
|
|
|
|
|
|
|
|
|
|
|
|
|
|
|
|
|
|
|
|
|
|
|
|
|
|
|
|
|
|
|
|
|
|
|
|
|
|
|
|
|
|
|
|
|
|
|
|
|
|
|
|
|
|
|
|
|
|
|
|
|
|
|
|
|
|
|
|
|
|
|
|
|
|
|
|
|
|
|
|
|
|
|
|
|
|
|
|
|
|
|
|
|
|
|
|
|
|
|
|
|
|
|
|
|
|
|
|
|
|
|
|
|
|
|
|
|
|
|
|
|
|
|
|
|
|
|
|
|
|
|
|
|
|
|
|
|
|
|
|
|
|
|
|
|
|
|
|
|
|
|
|
|
3.Өрнектің мәнін табыңдар:
|
|
|
|
|
|
|
|
|
|
|
|
|
|
|
|
|
|
|
|
|
|
|
|
|
|
|
|
|
|
|
|
|
|
|
|
|
|
|
|
|
|
|
|
|
|
|
|
|
|
|
|
|
|
|
|
|
|
|
|
|
|
|
|
|
|
|
|
|
|
|
|
|
|
|
|
|
|
|
|
|
|
|
|
|
|
|
|
|
|
|
|
|
|
|
|
|
|
|
|
|
|
|
|
|
|
|
|
|
|
|
|
|
|
|
|
|
|
|
|
|
|
|
|
|
|
|
|
|
|
|
|
|
|
|
|
|
|
|
|
|
|
|
|
|
|
|
|
|
|
|
|
|
|
|
|
|
|
|
|
|
|
|
|
|
|
|
|
|
|
|
|
|
|
|
|
|
|
|
|
|
|
|
|
|
|
|
|
|
|
|
|
|
|
|
|
|
|
|
|
|
|
|
|
|
|
|
|
|
|
|
|
|
|
|
|
|
|
|
|
|
|
|
|
|
|
|
|
|
|
|
|
|
|
|
|
|
|
|
|
|
|
|
|
|
|
|
|
|
|
|
|
|
|
|
|
|
|
|
|
|
|
|
|
|
|
|
|
|
|
|
|
|
|
|
|
|
|
|
|
|
|
|
|
|
|
|
|
|
|
|
|
|
|
|
|
|
|
|
|
|
|
|
|
|
|
|
|
|
|
|
|
|
|
|
|
|
|
|
|
19-сабақ. Рационал сандарды бөлу
1.Бөлуді орындаңдар:
-35: (-7)= _______________; -4: (-4)=_______________;
-80: (-16)= _______________; -2: (-6)= _______________;
-7: (-14)= _______________; -5: (-20)=_______________.
2.Бөліндіні табыңдар:
|
|
|
|
|
|
|
|
|
|
|
|
|
|
|
|
|
|
|
|
|
|
|
|
|
|
|
|
|
|
|
|
|
|
|
|
|
|
|
|
|
|
|
|
|
|
|
|
|
|
|
|
|
|
|
|
|
|
|
|
|
|
|
|
|
|
|
|
|
|
|
|
|
|
|
|
|
|
|
|
|
|
|
|
|
|
|
|
|
|
|
|
|
|
|
|
|
|
|
|
|
|
|
|
|
|
|
|
|
|
|
|
|
|
|
|
|
|
|
|
|
|
|
|
|
|
|
|
|
|
|
|
|
|
|
|
|
|
|
|
|
|
|
|
|
|
|
|
|
|
|
|
|
|
|
|
|
|
|
|
|
|
|
|
|
|
|
|
|
|
|
|
|
|
|
|
|
|
|
|
|
|
|
|
|
|
|
|
|
|
|
|
|
|
|
|
|
|
|
|
|
|
|
|
|
|
|
|
|
|
|
|
|
|
|
|
|
|
|
|
|
|
|
|
|
|
|
|
|
|
|
|
|
|
|
|
|
|
|
|
|
|
|
|
|
|
|
|
|
|
|
|
|
|
|
|
|
|
|
|
|
|
|
|
|
|
|
|
|
|
|
|
|
|
|
|
|
|
|
|
|
|
|
|
|
|
|
|
|
|
|
|
|
|
|
|
|
|
|
|
|
|
|
|
|
|
|
|
|
|
|
|
|
|
|
|
|
|
|
|
|
|
|
|
|
|
|
|
|
|
|
|
|
|
|
|
|
|
|
|
|
|
|
|
|
|
|
|
|
|
|
|
3.Теңдеуді шешіңдер:
а) -5х=10; ә) -6х=13; б) -0,9х=7,2.
____________ _____________ _____________
____________ _____________ _____________
20-сабақ.Рационал сандардың периодты ондық бөлшек түрінде жазылуы
![]()
1.Рационал сандарды (m – бүтін сан, n – натурал сан ) түрінде жазыңдар:

|
|
|
|
|
|
|
|
|
|
|
|
|
|
|
|
|
|
|
|
|
|
|
|
|
|
|
|
|
|
|
|
|
|
|
|
|
|
|
|
|
|
|
|
|
|
|
|
|
|
|
|
|
|
|
|
|
|
|
|
|
|
|
|
|
|
|
|
|
|
|
|
|
|
|
|
|
|
|
|
|
|
|
|
|
|
|
|
|
|
|
|
|
|
|
|
|
|
|
|
|
|
|
|
|
|
|
|
|
|
|
|
|
|
|
|
|
|
|
|
|
|
|
|
|
|
|
|
|
|
|
|
|
|
|
|
|
|
|
|
|
|
|
|
|
|
|
|
|
|
|
|
|
|
|
|
|
|
|
|
|
|
|
|
|
|
|
|
|
|
|
|
|
|
|
|
|
|
|
|
|
|
|
|
|
|
|
|
|
|
|
|
2.Қысқартылмайтын жай бөлшектерді ондық бөлшек түрінде жазыңдар:
|
|
|
|
|
|
|
|
|
|
|
|
|
|
|
|
|
|
|
|
|
|
|
|
|
|
|
|
|
|
|
|
|
|
|
|
|
|
|
|
|
|
|
|
|
|
|
|
|
|
|
|
|
|
|
|
|
|
|
|
|
|
|
|
|
|
|
|
|
|
|
|
|
|
|
|
|
|
|
|
|
|
|
|
|
|
|
|
|
|
|
|
|
|
|
|
|
|
|
|
|
|
|
|
|
|
|
|
|
|
|
|
|
|
|
|
|
|
|
|
|
|
|
|
|
|
|
|
|
|
|
|
|
|
|
|
|
|
|
|
|
|
|
|
|
|
|
|
|
|
|
|
|
|
|
|
|
|
|
|
|
|
|
|
|
|
|
|
|
|
|
|
|
|
|
|
|
|
|
|
|
|
|
|
|
|
|
|
|
|
|
|
|
|
|
|
|
|
|
|
|
|
|
|
|
|
|
|
|
|
|
|
|
|
|
|
|
|
|
|
|
|
|
|
3.Қысқартылмайтын жай бөлшектердің алымын бөліміне бөліп, шектеусіз ондық бөлшек түрінде жазыңдар:
|
|
|
|
|
|
|
|
|
|
|
|
|
|
|
|
|
|
|
|
|
|
|
|
|
|
|
|
|
|
|
|
|
|
|
|
|
|
|
|
|
|
|
|
|
|
|
|
|
|
|
|
|
|
|
|
|
|
|
|
|
|
|
|
|
|
|
|
|
|
|
|
|
|
|
|
|
|
|
|
|
|
|
|
|
|
|
|
|
|
|
|
|
|
|
|
|
|
|
|
|
|
|
|
|
|
|
|
|
|
|
|
|
|
|
|
|
|
|
|
|
|
|
|
|
|
|
|
|
|
|
|
|
|
|
|
|
|
|
|
|
|
|
|
|
|
|
|
|
|
|
|
|
|
|
|
|
|
|
|
21-сабақ.Жай бөлшектің ондық жуықтауы
1.Жай бөлшектердің ондық үлестерге дейін дөңгелектенген ондық жуықтауларын табыңдар (бөлуді екінші периодты шығарып алған соң тоқтатыңдар):
|
|
|
|
|
|
|
|
|
|
|
|
|
|
|
|
|
|
|
|
|
|
|
|
|
|
|
|
|
|
|
|
|
|
|
|
|
|
|
|
|
|
|
|
|
|
|
|
|
|
|
|
|
|
|
|
|
|
|
|
|
|
|
|
|
|
|
|
|
|
|
|
|
|
|
|
|
|
|
|
|
|
|
|
|
|
|
|
|
|
|
|
|
|
|
|
|
|
|
|
|
|
|
|
|
|
|
|
|
|
|
|
|
|
|
|
|
|
|
|
|
|
|
|
|
|
|
|
|
|
|
|
|
|
|
|
|
|
|
|
|
|
|
|
|
|
|
|
|
|
|
|
|
|
|
|
|
|
|
|
|
|
|
|
|
|
|
|
|
|
|
|
|
|
|
|
|
|
|
|
|
|
|
|
|
|
|
|
|
|
|
|
2.Периодты ондық бөлшектерді жүздік үлестерге дейін дөңгелектеңдер:
а) 0,(7)= ___________________; ә) 3,(14)=___________________;
б) -5,(32)=___________________; в) 0,(18)=___________________;
![]()
3. бөлшегінің ондық жуықтауларын тауып, кестені толтырыңдар:
|
ондық жуықтауы |
0,1-ге дейінгі |
0,01-ге дейінгі |
0,001-ге дейінгі |
|
кемімен
|
|
|
|
|
артығымен
|
|
|
|
IV ТАРАУ. АЛГЕБРАЛЫҚ ӨРНЕКТЕР ЖӘНЕ ОЛАРДЫ ТҮРЛЕНДІРУ
22-сабақ.Алгебралық өрнектің мәні. Алгебралық қосынды
1.Мына қосылғыштардан алгебралық қосынды құрастырыңдар:
|
|
|
|
|
|
|
|
|
|
|
|
|
|
|
|
|
|
|
|
|
|
|
|
|
|
|
|
|
|
|
|
|
|
|
|
|
|
|
|
|
|
|
|
|
|
|
|
|
|
|
|
|
|
|
|
|
|
|
|
|
|
|
|
|
|
|
|
|
|
|
|
|
|
|
|
|
|
|
|
|
|
|
|
|
|
|
|
|
|
|
|
|
|
|
|
|
|
|
|
|
|
|
|
|
|
|
|
|
|
|
|
|
|
|
|
|
|
|
|
|
|
|
|
|
|
|
|
|
|
|
|
|
|
|
|
|
|
|
|
|
|
|
|
|
|
|
|
|
|
|
|
|
|
|
|
|
|
|
|
|
|
|
|
|
|
|
|
|
|
|
|
|
|
|
|
|
|
|
|
|
|
|
|
|
|
|
|
|
|
|
|
|
|
|
|
|
|
|
|
|
|
|
|
|
|
|
|
|
|
|
|
|
|
|
|
|
|
|
|
|
|
|
|
|
|
|
|
|
|
|
|
|
|
|
|
|
|
|
|
|
|
|
|
|
|
|
|
|
|
|
|
|
|
|
|
2.Алгебралық өрнектің мәнін табыңдар:
|
|
|
|
|
|
|
|
|
|
|
|
|
|
|
|
|
|
|
|
|
|
|
|
|
|
|
|
|
|
|
|
|
|
|
|
|
|
|
|
|
|
|
|
|
|
|
|
|
|
|
|
|
|
|
|
|
|
|
|
|
|
|
|
|
|
|
|
|
|
|
|
|
|
|
|
|
|
|
|
|
|
|
|
|
|
|
|
|
|
|
|
|
|
|
|
|
|
|
|
|
|
|
|
|
|
|
|
|
|
|
|
|
|
|
|
|
|
|
|
|
|
|
|
|
|
|
|
|
|
|
|
|
|
|
|
|
|
|
|
|
|
|
|
|
|
|
|
|
|
|
|
|
|
|
|
|
|
|
|
|
|
|
|
|
|
|
|
|
|
|
|
|
|
|
|
|
|
|
|
|
|
|
|
|
|
|
|
|
|
|
|
|
|
|
|
|
|
|
|
|
|
|
|
|
|
|
|
|
|
|
|
|
|
|
|
|
|
|
|
|
|
|
|
|
|
|
|
|
|
|
|
|
|
|
|
|
|
|
|
|
|
|
|
|
|
|
|
|
|
|
|
|
|
|
|
|
|
|
|
|
|
|
|
|
|
|
|
|
|
|
|
|
|
|
|
|
|
|
|
|
|
|
|
|
|
|
|
|
|
|
|
|
|
|
|
|
|
|
|
|
|
|
|
|
|
|
|
|
|
|
|
|
|
|
|
|
|
|
|
|
|
|
|
|
|
|
|
|
|
|
|
|
|
|
|
|
|
|
|
|
|
|
|
|
|
|
|
|
|
|
|
|
|
|
|
|
|
|
|
|
|
|
|
|
|
|
|
|
|
|
|
|
|
|
|
|
|
|
|
|
|
|
|
3.Кинотеатрдың үлкен залында әрбір қатарда 36 орынқтан а қатар, кіші залында әрбір қатарда 24 орындықтан b қатар бар. Кинотеатрдың үлкен және кіші залдарында барлығы неше орындық бар?
|
|
|
|
|
|
|
|
|
|
|
|
|
|
|
|
|
|
|
|
|
|
|
|
|
|
|
|
|
|
|
|
|
|
|
|
|
|
|
|
|
|
|
|
|
|
|
|
|
|
|
|
|
|
|
|
|
|
|
|
|
|
|
|
|
|
|
|
|
|
|
|
|
|
|
|
|
|
|
|
|
|
|
|
|
|
|
|
|
|
|
|
|
|
|
|
|
|
|
|
|
|
|
|
|
|
|
|
|
|
|
|
|
|
|
|
|
|
|
|
|
|
|
|
|
|
|
|
|
|
|
|
|
|
|
|
|
|
|
|
|
|
|
|
|
|
|
|
|
|
|
|
|
|
|
|
|
|
|
|
|
|
|
|
|
|
|
|
|
|
|
|
|
|
|
|
|
|
|
|
|
|
|
|
|
|
|
|
|
|
|
|
|
|
|
|
|
|
|
|
|
|
|
|
|
|
|
|
|
|
|
|
|
|
|
|
|
|
|
|
|
|
|
|
23-сабақ.Қосу мен көбейтудің ауыстырымдылық, терімділік қасиеттерін пайдаланып, алгебралық өрнектерді ықшамдау.
1.Алгебралық қосындыны ықшамдаңдар:
|
|
|
|
|
|
|
|
|
|
|
|
|
|
|
|
|
|
|
|
|
|
|
|
|
|
|
|
|
|
|
|
|
|
|
|
|
|
|
|
|
|
|
|
|
|
|
|
|
|
|
|
|
|
|
|
|
|
|
|
|
|
|
|
|
|
|
|
|
|
|
|
|
|
|
|
|
|
|
|
|
|
|
|
|
|
|
|
|
|
|
|
|
|
|
|
|
|
|
|
|
|
|
|
|
|
|
|
|
|
|
|
|
|
|
|
|
|
|
|
|
|
|
|
|
|
|
|
|
|
|
|
|
|
|
|
|
|
|
|
|
|
|
|
|
|
|
|
|
|
|
|
|
|
|
|
|
|
|
|
|
|
|
|
|
|
|
|
|
|
|
|
|
|
|
|
|
|
|
|
|
|
|
|
|
|
|
|
|
|
|
|
|
|
|
|
|
|
|
|
|
|
|
|
|
|
|
|
|
|
|
|
|
|
|
|
|
|
|
|
|
|
|
|
|
|
|
|
|
|
|
|
|
|
|
|
|
|
|
|
|
|
|
|
|
|
|
|
|
|
|
|
|
|
|
|
|
|
|
|
|
|
|
|
|
|
|
|
|
|
|
|
|
|
|
|
|
|
|
|
|
|
|
|
|
|
|
|
2.Өрнекті ықшамдап, коэфиценттің астын сызыңдар:
|
|
|
|
|
|
|
|
|
|
|
|
|
|
|
|
|
|
|
|
|
|
|
|
|
|
|
|
|
|
|
|
|
|
|
|
|
|
|
|
|
|
|
|
|
|
|
|
|
|
|
|
|
|
|
|
|
|
|
|
|
|
|
|
|
|
|
|
|
|
|
|
|
|
|
|
|
|
|
|
|
|
|
|
|
|
|
|
|
|
|
|
|
|
|
|
|
|
|
|
|
|
|
|
|
|
|
|
|
|
|
|
|
|
|
|
|
|
|
|
|
|
|
|
|
|
|
|
|
|
|
|
|
|
|
|
|
|
|
|
|
|
|
|
|
|
|
|
|
|
|
|
|
|
|
|
|
|
|
|
|
|
|
|
|
|
|
|
|
|
|
|
|
|
|
|
|
|
|
|
|
|
|
|
|
|
|
|
|
|
|
|
|
|
|
|
|
|
|
|
|
|
|
|
|
|
|
|
|
|
|
|
|
|
|
|
|
|
|
|
|
|
|
|
|
|
|
|
|
|
|
|
|
|
|
|
|
|
|
|
|
|
|
|
|
|
|
|
|
|
|
|
|
|
|
|
3.Бөлшектерді қысқартыңдар:
|
|
|
|
|
|
|
|
|
|
|
|
|
|
|
|
|
|
|
|
|
|
|
|
|
|
|
|
|
|
|
|
|
|
|
|
|
|
|
|
|
|
|
|
|
|
|
|
|
|
|
|
|
|
|
|
|
|
|
|
|
|
|
|
|
|
|
|
|
|
|
|
|
|
|
|
|
|
|
|
|
|
|
|
|
|
|
|
|
|
|
|
|
|
|
|
|
|
|
|
|
|
|
|
|
|
|
|
|
|
|
|
|
|
|
|
|
|
|
|
|
|
|
|
|
|
|
|
|
|
|
|
|
|
|
|
|
|
|
|
|
|
|
|
|
|
|
|
|
|
|
|
|
|
|
|
|
|
|
|
|
|
|
|
|
|
|
|
|
|
|
|
|
|
|
|
|
|
|
|
|
|
|
|
|
|
|
|
|
|
|
|
|
|
|
|
|
|
|
|
|
|
|
|
|
|
|
|
|
|
|
|
|
|
|
|
|
|
|
|
|
|
|
|
|
|
|
|
|
|
|
|
|
|
|
|
|
|
|
|
|
|
|
|
|
|
|
|
|
|
|
|
|
|
|
|
24.Жақшаларды ашу. Ортақ көбейткішті жақша сыртына шығару
1.Жақшаны ашып жазыңдар:
1) 0,1+(a-b)= ___________________________________;
2) 3,2-(2с+d)=___________________________________;
3) 1,5-(х-у)= ___________________________________;
4) m-(4,1-n)= ___________________________________;
2.Жақшаны ашып жазып, өрнекті ықшамдаңдар:
1) 3(a+1,2)-10= ___________________________________;
2) 7-2-( b-3))=___________________________________;
3) 8+5(-с-6)= ___________________________________;
4) 1,7(d+8)-5,6= ___________________________________.
3.Ортақ көбейткішті сыртына шығарыңдар:
1) 2a+4b = ______________; 4) 3ab -2а = ______________;
2) 15b-12с)=______________; 5) 4b+12bс= ______________;
3) 21х-35у= ______________; 6) 5ас-3с= ______________;
25.Ұқсас қосылғыштарды біріктіру
1.Ұқсас қосылғыштарды біріктіріңдер:
![]()
1
)
4а-9а-3а= ; 4
)
0,8b+b+1,5b
= ;
![]()
2
)
10а-2а+73а= ;
5)
2,5с-2с+4с= ;
![]()
3) 6b+4b-2b = ; 6) 5,2d-3d+9d= ;
2.Жақшаны ашып, ұқсас қосылғыштарды біріктіріңдер:
1) (3а+1)-(2а-9b) =_________; 3) (8у+7)-(2у+3) =_________;
2) (4х-1)+(5-3х) = _________; 4) (9d-5)-(d-4) = _________.
3.Теңдеуді шешіңдер:
1) 14х-9х=4; 3) 0,3х+1,8х=18,9;
_____________ _____________
2) 2 х +8+3х=15; 4) 1,7х+3-0,8х=7,5.
_____________ _____________
V ТАРАУ. СЫЗЫҚТЫҚ ТЕҢДЕУ ЖӘНЕ СЫЗЫҚТЫҚ ТЕҢСІЗДІК
26-Сабақ.Бір айнымалысы бар сызықтық теңдеу
1.Кестедегі берілген алгоритм бойынша 16х+9=14х+15 теңдеуін шешіңдер.
|
Теңдеуді шешу алгоритмі |
Теңдеуді шешу |
|
Айнымалысы бар мүшелерді теңдеудің бір жағына, бос мүшелерді теңдеудің екінші жағына жинақтаймыз.
|
|
|
|
|
|
|
|
|
|
|
|
Ұқсас қосылғыштарды біріктіреміз.
|
|
|
|
|
|
|
|
|
|
|
|
Теңдеудің екі жағын да х-тің коэффициентіне бөлеміз.
|
|
|
|
|
|
|
|
|
|
2.Теңдеуді шешіңдер:
а) 3х-5=х+11; ә) 1,2х+7=0,8х+9;
_________________ _____________________
_________________ _____________________
_________________ _____________________
б) 5х-8=х+4; в) 4х-7=х+05;
_________________ _____________________
_________________ _____________________
_________________ _____________________
3.Екі кітап сөресінің біреуіндегі кітаптар саны екіншісіндегіден 20% артық. 3 кітапты бірінші сөреден алып, екінші сөреге қойғанда екі сөредегі кітаптар саны бірдей болды. Алғашқыда екінші кітап сөресінде неше кітап болды?
|
Ш |
е |
ш |
у |
і |
: |
|
|
|
|
|
|
|
|
|
|
|
|
|
|
|
|
|
|
|
|
|
|
|
|
|
|
|
|
|
|
|
|
|
|
|
|
|
|
|
|
|
|
|
|
|
|
|
|
|
|
|
|
|
|
|
|
|
|
|
|
|
|
|
|
|
|
|
|
|
|
|
|
|
|
|
|
|
|
|
|
|
|
|
|
|
|
|
|
|
27-сабақ.Санды теңсіздік
![]()
1.Сандарды салыстырып, орнына тиісті теңсіздік белгісін қойыңдар:
![]()
а) 2,3 1,9; б) -5 1; г) -7 0,7;
![]()
ә) 3,8 8,3; в) -8 -10; г) -9 3,9;
2.Салыстырып, теңсіздікпен жазыңдар:
а) х+5 және 8, мұндағы х=6;
ә) 3,9+у және 10, мұндағы у=-2;
б) 15 және х+6,7, мұндағы х=-9;
3.Координаталық түзуде D, Е және F нүктелері берілген.
1) D нүктесінен координатасы мен Е нүктесінің координатасын салыстырып, теңсіздік түрінде жазыңдар.
______________________________________________________________
2)Е нүктесінің координатасы мен F нүктесінің координатасын салыстырып, теңсіздік түрінде жазыңдар.
______________________________________________________________
|
|
|
|
|
|
|
|
|
|
|
|
|
|
|
|
|
|
|
|
|
|
|
|
|
|
|
|
|
|
|
|
|
|
|
|
|
|
|
|
|
|
|
|
|
|
|
|
|
|
|
|
|
|
|
|
|
|
|
|
|
|
|
|
|
|
|
|
|
|
|
|
|
|
|
|
|
|
|
|
|
|
|
|
|
|
|
|
|
|
|
|
|
|
|
|
|
|
|
|
|
|
|
|
|
|
|
|
|
|
|
|
|
|
|
|
|
|
|
|
|
|
|
|
|
|
|
|
28-сабақ. Санды теңсіздіктердің қасиеттері
1.Теңсіздік белгілерін қарама-қарсы белгіге өзгертіп, тура теңсіздікті жазыңдар.
Егер 3<5 болса, онда_______________________________________________
7,
2<9 болса,
онда_______________________________________________
болса, онда_______________________________________________
2. 9<15 теңсіздігінің екі жақ бөлігін де:
а) 7 санын; 4 санын қосыңдар;
_______________________________________________________________
ә) -6 санын; -4 санын қосыңдар.
_______________________________________________________________
3. 60>24 теңсіздігінің екі жақ бөлігін де:
а) 3-ке; 5-ке; 0,2-ге; -0,3-ке көбейтіңдер.
_______________________________________________________________
ә) 3-ке; 2-ге; -4-ке, -6-ға бөліңдер.
_______________________________________________________________
29-сабақ. Санды теңсіздіктерді қосу және азайту
1.Теңсіздіктерді мүшелеп қосыңдар:
а
) 3<7 және 8<8; ә)
2,8>1,5 және 4,3>2;
|
|
|
|
|
|
|
|
|
|
|
|
|
|
|
|
|
|
|
|
|
|
|
|
|
|
|
|
|
|
|
|
|
|
|
|
|
|
|
|
|
|
|
|
|
|
|
|
|
|
|
|
|
|
|
|
|
|
|
|
|
|
|
|
|
|
|
|
|
|
|
|
|
|
|
|
|
|
|
|
|
|
|
|
|
|
|
|
|
|
|
|
|
|
|
|
|
|
|
|
|
|
|
|
|
|
|
|
|
|
|
|
|
|
|
|
|
|
|
|
|
|
|
|
|
|
|
|
|
|
|
|
|
|
|
|
|
|
|
|
|
|
|
|
|
|
|
|
|
|
|
|
|
|
|
|
|
|
|
|
|
|
|
|
|
|
|
|
|
|
|
|
|
|
|
|
|
|
|
|
|
|
|
|
|
|
|
|
|
|
|
|
б) 5>3 және 7>4; в) 7<10 және 6<7.
|
|
|
|
|
|
|
|
|
|
|
|
|
|
|
|
|
|
|
|
|
|
|
|
|
|
|
|
|
|
|
|
|
|
|
|
|
|
|
|
|
|
|
|
|
|
|
|
|
|
|
|
|
|
|
|
|
|
|
|
|
|
|
|
|
|
|
|
|
|
|
|
|
|
|
|
|
|
|
|
|
|
|
|
|
|
|
|
|
|
|
|
|
|
|
|
|
|
|
|
|
|
|
|
|
|
|
|
|
|
|
|
|
|
|
|
|
|
|
|
|
|
|
|
|
|
|
|
2.Теңсіздіктерді мүшелеп азайтыңдар:
а) 8<10-нан 5>3; ә) 12>7-ден 4<6;
б) 5,2>3,7-ден 2,3>1,5; в) 8,3<10-нан 6,2<9;
|
|
|
|
|
|
|
|
|
|
|
|
|
|
|
|
|
|
|
|
|
|
|
|
|
|
|
|
|
|
|
|
|
|
|
|
|
|
|
|
|
|
|
|
|
|
|
|
|
|
|
|
|
|
|
|
|
|
|
|
|
|
|
|
|
|
|
|
|
|
|
|
|
|
|
|
|
|
|
|
|
|
|
|
|
|
|
|
|
|
|
|
|
|
|
|
|
|
|
|
|
|
|
|
|
|
|
|
|
|
|
|
|
|
|
|
|
|
|
|
|
|
|
|
|
|
|
|
|
|
|
|
|
|
|
|
|
|
|
|
|
|
|
|
|
|
|
|
|
|
|
|
|
|
|
|
|
|
|
|
|
|
|
|
|
|
|
|
|
|
|
|
|
|
|
|
|
|
|
|
|
|
|
|
|
|
|
|
|
|
|
|
3.Теңсіздіктерді мүшелеп азайтыңдар:
Бірінші астық қоймасына 180 т, ал екінші астық қоймасында 220 т астық болды. Астық қоймаларының әрқайсысынан 70 т астық тасылып әкетілді. Астық қоймаларының қайсысындағы астық көп, қайсысында аз?
___________________________________________________________________________________________________________________________________________________________________________________________________
30-сабақ. Санды теңсіздіктерді көбейту және бөлу
1.Бөлінді теңсіздікті бағалаңдар:
а) 6<9; 3<5; ә) 30>20; 10>6;
|
|
|
|
|
|
|
|
|
|
|
|
|
|
|
|
|
|
|
|
|
|
|
|
|
|
|
|
|
|
|
|
|
|
|
|
|
|
|
|
|
|
|
|
|
|
|
|
|
|
|
|
|
|
|
|
|
|
|
|
|
|
|
|
|
|
|
|
|
|
|
|
|
|
|
|
|
|
|
|
|
|
|
|
|
|
|
|
|
|
|
|
|
|
|
|
|
|
|
|
|
|
|
|
|
|
|
|
|
|
|
|
|
|
|
|
|
|
|
|
|
|
|
|
|
|
|
|
б) 129>8; 4<6; в) 28<32; 7>4;
|
|
|
|
|
|
|
|
|
|
|
|
|
|
|
|
|
|
|
|
|
|
|
|
|
|
|
|
|
|
|
|
|
|
|
|
|
|
|
|
|
|
|
|
|
|
|
|
|
|
|
|
|
|
|
|
|
|
|
|
|
|
|
|
|
|
|
|
|
|
|
|
|
|
|
|
|
|
|
|
|
|
|
|
|
|
|
|
|
|
|
|
|
|
|
|
|
|
|
|
|
|
|
|
|
|
|
|
|
|
|
|
|
|
|
|
|
|
|
|
|
|
|
|
|
|
|
|
2.ab көбейтіндісін бағалаңдар:
а) 11<a<15 және 4<b<9; ә) 0,25<a<1 және 6<b<10;
|
|
|
|
|
|
|
|
|
|
|
|
|
|
|
|
|
|
|
|
|
|
|
|
|
|
|
|
|
|
|
|
|
|
|
|
|
|
|
|
|
|
|
|
|
|
|
|
|
|
|
|
|
|
|
|
|
|
|
|
|
|
|
|
|
|
|
|
|
|
|
|
|
|
|
|
|
|
|
|
|
|
|
|
|
|
|
|
|
|
|
|
|
|
|
|
|
|
|
|
|
|
|
|
|
|
|
|
|
|
|
|
|
|
|
|
|
|
|
|
|
|
|
|
|
|
|
|
б) 0,4<a<3 және 7<b<9; в) 0,9<a<4 және 0,7<b<1.
|
|
|
|
|
|
|
|
|
|
|
|
|
|
|
|
|
|
|
|
|
|
|
|
|
|
|
|
|
|
|
|
|
|
|
|
|
|
|
|
|
|
|
|
|
|
|
|
|
|
|
|
|
|
|
|
|
|
|
|
|
|
|
|
|
|
|
|
|
|
|
|
|
|
|
|
|
|
|
|
|
|
|
|
|
|
|
|
|
|
|
|
|
|
|
|
|
|
|
|
|
|
|
|
|
|
|
|
|
|
|
|
|
|
|
|
|
|
|
|
|
|
|
|
|
|
|
|
|
|
|
|
|
|
|
|
|
|
|
|
|
|
|
|
|
|
|
|
|
|
|
|
|
|
|
|
|
|
|
|
![]()
3. бөліндісін бағалаңдар:
а) 27<a<56; 7<b<9; ә) 16<a<24; 3<b<8;
б) 12<a<44; 4<b<6; в) 28<a<35; 7<b<14;
|
|
|
|
|
|
|
|
|
|
|
|
|
|
|
|
|
|
|
|
|
|
|
|
|
|
|
|
|
|
|
|
|
|
|
|
|
|
|
|
|
|
|
|
|
|
|
|
|
|
|
|
|
|
|
|
|
|
|
|
|
|
|
|
|
|
|
|
|
|
|
|
|
|
|
|
|
|
|
|
|
|
|
|
|
|
|
|
|
|
|
|
|
|
|
|
|
|
|
|
|
|
|
|
|
|
|
|
|
|
|
|
|
|
|
|
|
|
|
|
|
|
|
|
|
|
|
|
|
|
|
|
|
|
|
|
|
|
|
|
|
|
|
|
|
|
|
|
|
|
|
|
|
|
|
|
|
|
|
|
31-сабақ. Сан аралықтары
1.Суретте кескінделген сан аралықтарының белгіленуін пайдаланып жазыңдар:
|
|
|
|
|
|
|
|
|
|
|
|
|
|
|
|
|
|
|
|
|
|
|
|
|
|
|
|
|
|
|
|
|
|
|
|
|
|
|
|
|
|
|
|
|
|
|
|
|
|
|
|
|
|
|
|
|
|
|
|
|
|
|
|
|
|
|
|
|
|
|
|
|
|
|
|
|
|
|
|
|
|
|
|
|
|
|
|
|
|
|
|
|
|
|
|
|
|
|
|
|
|
|
|
|
|
|
|
|
|
|
|
|
|
|
|
|
|
|
|
|
|
|
|
|
|
|
|
|
|
|
|
|
|
|
|
|
|
|
|
|
|
|
|
|
|
|
|
|
|
|
|
|
|
|
|
|
|
|
|
|
|
|
|
|
|
|
|
|
|
|
|
|
|
|
|
|
|
|
|
|
|
|
|
|
|
|
|
|
|
|
|
|
|
|
|
|
|
|
|
|
|
|
|
|
|
|
|
|
|
|
|
|
|
|
|
|
|
|
|
|
|
|
|
|
|
|
|
|
|
|
|
|
|
|
|
|
|
|
|
|
|
|
|
|
|
|
|
|
|
|
|
|
|
|
|
|
|
|
|
|
|
|
|
|
|
|
|
|
|
|
|
|
|
|
|
|
|
|
|
|
|
|
|
|
|
|
|
2.Сан аралығындағы бүтін сандарды жазыңдар:
|
|
|
|
|
|
|
|
|
|
|
|
|
|
|
|
|
|
|
|
|
|
|
|
|
|
|
|
|
|
|
|
|
|
|
|
|
|
|
|
|
|
|
|
|
|
|
|
|
|
|
|
|
|
|
|
|
|
|
|
|
|
|
|
|
|
|
|
|
|
|
|
|
|
|
|
|
|
|
|
|
|
|
|
|
|
|
|
|
|
|
|
|
|
|
|
|
|
|
|
|
|
|
|
|
|
|
|
|
|
|
|
|
|
|
|
|
|
|
|
|
|
|
|
|
|
|
|
|
|
|
|
|
|
|
|
|
|
|
|
|
|
|
|
|
|
|
|
|
|
|
|
|
|
|
|
|
|
|
|
|
|
|
|
|
|
|
|
|
|
|
|
|
|
|
|
|
|
|
|
|
|
|
|
|
|
|
|
|
|
|
|
|
|
|
|
|
|
|
|
|
|
|
|
|
|
|
|
|
|
|
|
|
|
|
|
|
|
|
|
|
|
|
|
3.Белгіленуімен жазыңдар:
а)1-ден 4-ке дейінгі кесінді – ________________________________________
ә)1-ден 4-ке дейінгі интервал – _______________________________________
б)1-ден 4-ке дейінгі 4 саны қоса алынған жартылай интервал–_________________________________________________________________
в
) -тен 5-ке дейінгі
сәуле________________________________________
32-сабақ.Бір айнымалысы бар сызықтық теңсіздікті шешу
1.Теңсіздіктерді шешіп, шешімдер жиынын сан аралығы арқылы көрсетіңдер:
|
|
|
|
|
|
|
|
|
|
|
|
|
|
|
|
|
|
|
|
|
|
|
|
|
|
|
|
|
|
|
|
|
|
|
|
|
|
|
|
|
|
|
|
|
|
|
|
|
|
|
|
|
|
|
|
|
|
|
|
|
|
|
|
|
|
|
|
|
|
|
|
|
|
|
|
|
|
|
|
|
|
|
|
|
|
|
|
|
|
|
|
|
|
|
|
|
|
|
|
|
|
|
|
|
|
|
|
|
|
|
|
|
|
|
|
|
|
|
|
|
|
|
|
|
|
|
|
|
|
|
|
|
|
|
|
|
|
|
|
|
|
|
|
|
|
|
|
|
|
|
|
|
|
|
|
|
|
|
|
|
|
|
|
|
|
|
|
|
|
|
|
|
|
|
|
|
|
|
|
|
|
|
|
|
|
|
|
|
|
|
|
|
|
|
|
|
|
|
|
|
|
|
|
|
|
|
|
|
|
|
|
|
|
|
|
|
|
|
|
|
|
|
|
2. Теңсіздіктерді шешіңдер:
|
|
|
|
|
|
|
|
|
|
|
|
|
|
|
|
|
|
|
|
|
|
|
|
|
|
|
|
|
|
|
|
|
|
|
|
|
|
|
|
|
|
|
|
|
|
|
|
|
|
|
|
|
|
|
|
|
|
|
|
|
|
|
|
|
|
|
|
|
|
|
|
|
|
|
|
|
|
|
|
|
|
|
|
|
|
|
|
|
|
|
|
|
|
|
|
|
|
|
|
|
|
|
|
|
|
|
|
|
|
|
|
|
|
|
|
|
|
|
|
|
|
|
|
|
|
|
|
|
|
|
|
|
|
|
|
|
|
|
|
|
|
|
|
|
|
|
|
|
|
|
|
|
|
|
|
|
|
|
|
|
|
|
|
|
|
|
|
|
|
|
|
|
|
|
|
|
|
|
|
|
|
|
|
|
|
|
|
|
|
|
|
|
|
|
|
|
|
|
|
|
|
|
|
|
|
|
|
|
|
|
|
|
|
|
|
|
|
|
|
|
|
|
|
|
|
|
|
|
|
|
|
|
|
|
|
|
|
|
|
|
|
|
|
|
|
|
|
|
|
|
|
|
|
|
|
|
|
|
|
|
|
|
|
|
|
|
|
|
|
|
|
|
|
|
|
|
|
|
|
|
|
|
|
|
|
|
|
|
|
|
|
|
|
|
|
|
|
|
|
|
|
|
|
|
|
|
|
|
|
|
|
|
|
|
|
|
|
|
|
|
|
|
|
|
|
|
|
|
|
|
|
|
|
|
|
|
|
|
|
|
|
|
|
|
|
|
|
|
|
|
|
|
|
|
|
|
|
|
|
|
|
|
|
|
|
|
|
|
|
|
|
|
|
|
|
|
|
|
|
|
|
|
|
3.Пойыз 2 сағ 30 мин-та 200 км-ден кем қашқытықты жүрді. Пойыздың жылдамдығын бағалаңдар.
|
|
|
|
|
|
|
|
|
|
|
|
|
|
|
|
|
|
|
|
|
|
|
|
|
|
|
|
|
|
|
|
|
|
|
|
|
|
|
|
|
|
|
|
|
|
|
|
|
|
|
|
|
|
|
|
|
|
|
|
|
|
|
|
|
|
|
|
|
|
|
|
|
|
|
|
|
|
|
|
|
|
|
|
|
|
|
|
|
|
|
|
|
|
|
|
|
|
|
|
|
|
|
|
|
|
|
|
|
|
|
|
|
|
|
|
|
|
|
|
|
|
|
|
|
|
|
|
|
|
|
|
|
|
|
|
|
|
|
|
|
|
|
|
|
|
|
|
|
|
|
|
|
|
|
|
|
|
|
|
|
|
|
|
|
|
|
|
|
|
|
|
|
|
|
|
|
|
|
|
|
|
|
|
|
|
|
|
|
|
|
|
|
|
|
|
|
|
|
|
|
|
|
|
|
|
|
|
|
|
|
|
|
|
|
|
|
|
|
|
|
|
|
|
|
|
|
|
|
|
|
|
|
|
|
|
|
|
|
|
|
|
|
|
|
|
|
|
|
|
|
|
|
|
|
|
|
|
|
|
|
|
|
|
|
|
|
|
|
|
|
|
|
|
|
|
|
|
|
|
|
|
|
|
|
|
|
|
VI ТАРАУ. ЖАЗЫҚТЫҚТАҒЫ КООРДИНАТАЛАР
33-сабақ. Қиылысатын түзулер
1.а,ә,б-суреттерде неше түзу кескінделген? Түзулерді әріптермен белгілеңдер. Олар неше нүктеде қиылысады?_________________________

|
|
|
|
|
|
|
|
|
|
|
|
|
|
|
|
|
|
|
|
|
|
|
|
|
|
|
|
|
|
|
|
|
|
|
|
|
|
|
|
|
|
|
|
|
|
|
|
|
|
|
|
|
|
|
|
|
|
|
|
|
|
|
|
|
|
|
|
|
|
|
|
|
|
|
|
|
|
|
|
|
|
|
|
|
|
|
|
|
|
|
|
|
|
|
|
|
|
|
|
|
|
|
|
|
|
|
|
|
|
|
|
|
|
|
|
|
|
|
|
|
|
|
|
|
|
|
|
|
|
|
|
|
|
|
|
|
|
|
|
|
|
|
|
|
|
|
|
|
|
|
|
|
|
|
|
|
|
|
|
|
|
|
|
|
|
|
|
|
|
|
|
|
|
|
|
|
|
|
|
|
|
|
|
|
|
|
|
|
|
|
|
|
|
|
|
|
|
|
|
|
|
|
|
|
|
|
|
|
|
|
|
|
|
|
|
|
|
|
|
|
|
|
|
|
|
|
|
|
|
|
|
|
|
|
|
|
|
|
|
|
|
|
|
|
|
|
|
|
|
|
|
|
|
|
|
|
|
|
|
|
|
|
|
|
|
|
|
|
|
|
|
|
|
|
|
|
|
|
|
|
|
|
|
|
|
|
|
|
|
|
|
|
|
|
|
|
|
|
|
|
|
|
|
|
|
|
|
|
|
|
|
|
|
|
|
|
|
|
|
Екі түзі неше нүктеде қиылысады?
__________________________________________________________________
2. 1-суреттен: а)вертикаль бұрыштарды жазыңдар.
________________________________________________________________

ә)Олардың әрқайсысының градустық
өлшемін транспортирмен өлшеп жазыңдар.
____________________________________
б)Барлық бұраштардың қосындысы неше
градус?
1-сурет ____________________________________
3
4-сабақ.Перпендикуляр
түзулер. Нүктеден түзуге дейінгі
қашықтық
1
. Түзуінде жатпайтын А
және В нүктелері
а
рқылы түзуіне
перпендикуляр жүргізіңдер.
Перпендикуляр түзулерді « » белгісімен
жазыңдар._____________________________
ә
)
түзуінде
жатқан С
нүктесі
арқылы
түзуіне перпендикуляр
жүргізіңдер. Перпендикуляр түзулерді « » белгісімен
жазыңдар.
_________________________________________________________________
|
|
|
|
|
|
|
|
|
|
|
|
|
|
|
|
|
|
|
|
|
|
|
|
|
|
|
|
|
|
|
|
|
|
|
|
|
|
|
|
|
|
|
|
|
|
|
|
|
|
|
|
|
|
|
|
|
|
|
|
|
|
|
|
|
|
|
|
|
|
|
|
|
|
|
|
|
|
|
|
|
|
|
|
|
|
|
|
|
|
|
|
|
|
|
|
|
|
|
|
|
|
|
|
|
|
|
|
|
|
|
|
|
|
|
|
|
|
|
|
|
|
|
|
|
|
|
|
|
|
|
|
|
|
|
|
|
|
|
|
|
|
|
|
2.Сүйір бұрыш сызып, оның ішкі
аймағындағы А нүктесінен
бұрыштың қабырғаларының
әрқайсысына перпендикуляр
жүргізіңдер.

3.АВС үшбұрышының а төбесінен
ВС қабырғасына, в төбесінен АС
қабырғасына, С төбесінен АВ қабырғасына
п
ерпендикуляр түзу
жүргізіңдер. Оларды
әріптермен белгілеп, « » белгісімен
жазыңдар:
__________________________________________________________________
________________________________________________________________
шағым қалдыра аласыз




































